Sandstorm-driven Particulate Matter Exposure and Elevated COPD Hospitalization Risk in Arid Regions of China: A Spatiotemporal Epidemiological Analysis

Hao Zhao Ce Liu Erkai Zhou Baofeng Zhou Sheng Li Li He Zhaoru Yang Jiabei Jian Huan Chen Huanhuan Wei Rongrong Cao Bin Luo

Hao Zhao, Ce Liu, Erkai Zhou, Baofeng Zhou, Sheng Li, Li He, Zhaoru Yang, Jiabei Jian, Huan Chen, Huanhuan Wei, Rongrong Cao, Bin Luo. Sandstorm-driven Particulate Matter Exposure and Elevated COPD Hospitalization Risk in Arid Regions of China: A Spatiotemporal Epidemiological Analysis[J]. Biomedical and Environmental Sciences, 2025, 38(11): 1404-1416. doi: 10.3967/bes2025.134
Citation: Hao Zhao, Ce Liu, Erkai Zhou, Baofeng Zhou, Sheng Li, Li He, Zhaoru Yang, Jiabei Jian, Huan Chen, Huanhuan Wei, Rongrong Cao, Bin Luo. Sandstorm-driven Particulate Matter Exposure and Elevated COPD Hospitalization Risk in Arid Regions of China: A Spatiotemporal Epidemiological Analysis[J]. Biomedical and Environmental Sciences, 2025, 38(11): 1404-1416. doi: 10.3967/bes2025.134

doi: 10.3967/bes2025.134

Sandstorm-driven Particulate Matter Exposure and Elevated COPD Hospitalization Risk in Arid Regions of China: A Spatiotemporal Epidemiological Analysis

Funds: This work was supported by the Innovative Talent Project of Lanzhou City, Lanzhou Science and Technology Bureau (2022-RC-42) and the Fundamental Research Funds for the Central Universities, Lanzhou University, China (lzujbky-2021-ey07, lzujbky-2024-it59, lzujbky-2025-it29), and the Gansu Province Postgraduate Innovation Star Program (2025CXZX-018).
More Information
    Author Bio:

    Hao Zhao, Master Candidate, majoring in environment and health, E-mail: zhaohao2023@lzu.edu.cn

    Ce Liu, Master Degree, majoring in environment and health, E-mail: liuc2017@lzu.edu.cn

    Corresponding author: Bin Luo, PhD, Tel: 86-13919783313, E-mail: luob@lzu.edu.cn
  • Conceptualization: Hao Zhao, Erkai Zhou, Baofeng Zhou, Bin Luo; Data curation: Hao Zhao, Ce Liu, Erkai Zhou, Baofeng Zhou, Sheng Li, Li He, Jiabei Jian, Huan Chen, Huanhuan Wei, Rongrong Cao; Methodology: Ce Liu, Baofeng Zhou, Zhaoru Yang; Project administration: Bin Luo; Supervision: Sheng Li, Li He, Zhaoru Yang, Jiabei Jian, Huan Chen, Huanhuan Wei, Rongrong Cao, Bin Luo; Validation: Erkai Zhou, Jiabei Jian; Visualization: Hao Zhao, Ce Liu, Erkai Zhou; Writing of the original draft: Hao Zhao, Ce Liu; Writing, review, and editing: Bin Luo.
  • The authors declare that they have no competing interests.
  • All data used in this study were aggregated with no identifiable individual information and were processed by designated professionals from the Health Commission of Gansu Province before being authorized for use in the study. Ethical approval was obtained from the Medical Research Ethics Review Committee of the School of Public Health, Lanzhou University, China (No. IRB25011401).
  • Data will be made available on request. The supplementary materials will be available in www.besjournal.com.
  • &These authors contributed equally to this work.
    • 关键词:
    •  / 
    •  / 
    •  / 
    •  / 
    •  
    Conceptualization: Hao Zhao, Erkai Zhou, Baofeng Zhou, Bin Luo; Data curation: Hao Zhao, Ce Liu, Erkai Zhou, Baofeng Zhou, Sheng Li, Li He, Jiabei Jian, Huan Chen, Huanhuan Wei, Rongrong Cao; Methodology: Ce Liu, Baofeng Zhou, Zhaoru Yang; Project administration: Bin Luo; Supervision: Sheng Li, Li He, Zhaoru Yang, Jiabei Jian, Huan Chen, Huanhuan Wei, Rongrong Cao, Bin Luo; Validation: Erkai Zhou, Jiabei Jian; Visualization: Hao Zhao, Ce Liu, Erkai Zhou; Writing of the original draft: Hao Zhao, Ce Liu; Writing, review, and editing: Bin Luo.
    The authors declare that they have no competing interests.
    All data used in this study were aggregated with no identifiable individual information and were processed by designated professionals from the Health Commission of Gansu Province before being authorized for use in the study. Ethical approval was obtained from the Medical Research Ethics Review Committee of the School of Public Health, Lanzhou University, China (No. IRB25011401).
    Data will be made available on request. The supplementary materials will be available in www.besjournal.com.
    &These authors contributed equally to this work.
    注释:
    1) Authors’ Contributions: 2) Competing Interests: 3) Ethics: 4) Data Sharing:
  • Figure  1.  Spatial distribution of chronic obstructive pulmonary disease hospitalizations in Gansu Province, China, showing absolute case numbers (A) and incidence rates per 100,000 population (B). Hospital locations are indicated by green triangles. COPD, chronic obstructive pulmonary disease. Map approval number: GS(2024)1158.

    Figure  2.  Relative risks of chronic obstructive pulmonary disease hospitalization associated with every 10 μg/m3 increase in PM2.5, PM2.5–10, and PM10 at different lag days. CI, confidence intervals.

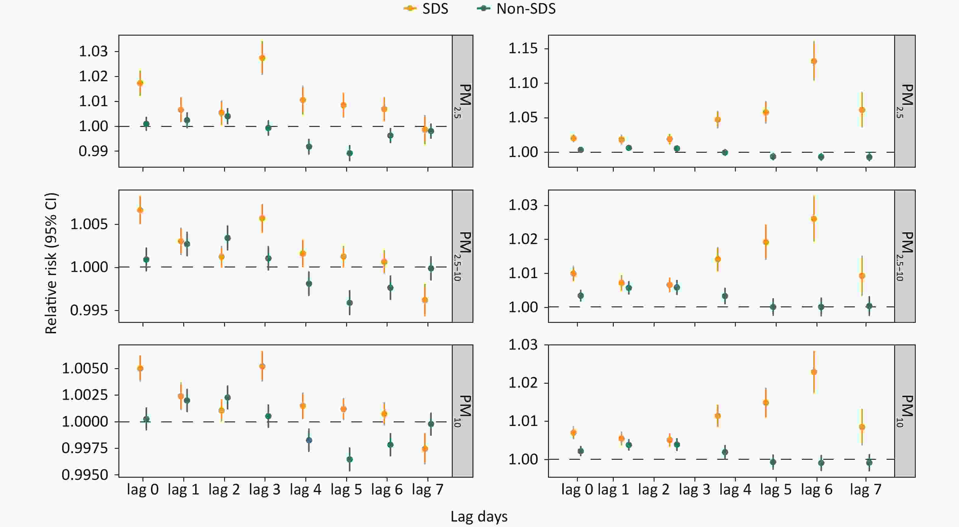
    Figure  3.  Relative risks of daily hospitalizations for chronic obstructive pulmonary disease associated with PM2.5, PM2.5–10, and PM10 during sand-dust storm (SDS) and non-SDS days on single-day lags (from current day to 7 days before: lag 0–lag 7) and multi-day moving average lags (from lag 01 to lag 07). SDS, sand-dust storm; CI, confidence intervals.

    Figure  4.  The effect (lag 0 day) of PM2.5, PM2.5–10, and PM10 during sand-dust storm (SDS) days on chronic obstructive pulmonary disease hospitalization across gender, age, season and region. Due to the limited number of SDS events in humid and semi-humid region during the study period, the relative risk (RR) value could not be reliably estimated in these areas. CI, confidence intervals.

    Table  1.   Demographic characteristics of COPD hospitalization cases in Gansu Province during 2018–2022

    Variables Cases (%) Total expenses per hospitalization (Mean ± SD)*
    Total 265,379 6,029.41 ± 4,895.61
    Gender
    Male 153,527 (57.85) 6,184.91 ± 5,184.71
    Female 111,852 (42.15) 5,814.34 ± 4,456.08
    Age (year)
    0– 8,903 (3.35) 5,291.93 ± 4,257.34
    50– 33,535 (12.64) 5,676.91 ± 4,979.53
    60– 79,710 (30.04) 5,828.90 ± 4,615.70
    70– 103,715 (39.08) 6,090.99 ± 4,851.16
    ≥ 80 39,516 (14.89) 6,747.94 ± 5,503.44
    Season
    Cold 143,999 (54.26) 5,986.62 ± 4,778.77
    Warm 121,380 (45.74) 6,080.19 ± 5,030.27
    Region
    Arid region 39,797 (15.00) 5,927.93 ± 4,258.96
    Semi-arid region 112,914 (42.55) 6,399.18 ± 5,632.52
    Humid and semi-humid region 112,668 (42.45) 5,745.37 ± 4,298.26
    City (Prefecture)
    Lanzhou 28,315 (10.67) 8,853.81 ± 8,251.58
    Tianshui 13,000 (4.90) 5,971.46 ± 4,396.31
    Dingxi 20,328 (7.66) 5,560.75 ± 2,951.48
    Longnan 7,941 (2.99) 5,549.28 ± 3,179.02
    Qingyang 20,336 (7.66) 5,776.54 ± 6,480.11
    Linxia 24,965 (9.41) 6,272.48 ± 3,652.98
    Pingliang 21,502 (8.10) 5,517.85 ± 4,038.58
    Baiyin 16,127 (6.08) 6,102.87 ± 4,797.78
    Wuwei 27,996 (10.55) 5,780.47 ± 4,319.56
    Zhangye 40,476 (15.25) 5,228.05 ± 3,593.20
    Jiuquan 28,054 (10.57) 5,908.04 ± 4,342.23
    Gannan 4,596 (1.73) 4,324.60 ± 1,881.32
    Jinchang 5,601 (2.11) 4,812.50 ± 2,856.81
    Jiayuguan 6,142 (2.31) 7,035.93 ± 4,648.62
      Note. COPD, chronic obstructive pulmonary disease; SD, standard deviation; *unit, Chinese Yuan (CNY).
    下载: 导出CSV

    Table  2.   Descriptive statistics of particulate matter pollutants over 2018−2022 in Gansu Province

    Air Pollutants Mean ± SD Minimum P25 Median P75 Maximum
    PM2.5 (μg/m3) 29.33 ± 19.55 8.43 17.41 25.29 36.29 369.71
    PM2.5−10 (μg/m3) 47.74 ± 64.40 3.00 24.73 33.79 48.64 1,532.29
    PM10 (μg/m3) 77.07 ± 80.98 13.43 43.79 61.86 84.00 1,902.00
    SDS PM2.5 (μg/m3) 84.07 ± 72.23 13.00 51.67 68.00 93.20 649.40
    SDS PM2.5−10 (μg/m3) 265.73 ± 231.23 10.33 163.00 206.33 310.50 2,101.90
    SDS PM10 (μg/m3) 349.80 ± 295.94 35.00 220.50 271.67 400.67 2,596.50
      Note. SD, standard deviance; P25, 25th percentile; P75, 75th percentile.
    下载: 导出CSV

    Table  3.   The attributable fraction and attributable number of COPD hospitalization related to SDS-PM pollution in Gansu Province during 2018−2022

    Variables SDS PM2.5 SDS PM2.5−10 SDS PM10
    Attributable fraction in %
    (95% CI)
    Attributable number
    (95% CI)
    Attributable fraction in %
    (95% CI)
    Attributable number
    (95% CI)
    Attributable fraction in %
    (95% CI)
    Attributable number
    (95% CI)
    Total 14.88
    (13.67 to 16.05)
    1,487
    (1,366 to 1,604)
    12.63
    (11.43 to 13.7)
    1,262
    (1,143 to 1,378)
    13.74
    (12.50 to 14.94)
    1,373
    (1,249 to 1,493)
    Sex
    Male 18.29
    (16.74 to 19.78)
    1,040
    (952 to 1,125)
    14.68
    (13.25 to 16.05)
    835
    (754 to 913)
    16.17
    (14.66 to 17.61)
    919
    (834 to 1,002)
    Female 9.31
    (8.61 to 10.00)
    401
    (371 to 431)
    9.29
    (8.46 to 10.11)
    400
    (364 to 435)
    9.80
    (8.98 to 10.61)
    422
    (386 to 457)
    Age (years)
    0− −1.57
    (−1.68 to −1.47)
    −4.86
    (−5.18 to −4.53)
    1.14
    (1.05 to 1.22)
    3.51
    (3.25 to 3.76)
    0.67
    (0.62 to 0.71)
    2.06
    (2.92 to 2.20)
    50− 9.35
    (8.66 to 10.04)
    107
    (99 to 114)
    9.49
    (8.65 to 10.32)
    108
    (99 to 118)
    9.99
    (9.16 to 10.81)
    114
    (104 to 123)
    60− 13.77
    (12.68 to 14.83)
    425
    (392 to 458)
    12.10
    (10.98 to 13.18)
    374
    (339 to 407)
    13.08
    (11.94 to 14.19)
    404
    (369 to 439)
    70− 17.39
    (15.90 to 18.83)
    701
    (641 to 759)
    13.58
    (12.24 to 14.88)
    548
    (494 to 600)
    15.06
    (13.64 to 16.43)
    607
    (550 to 663)
    ≥ 80 17.34
    (15.83 to 18.79)
    253
    (231 to 274)
    16.15
    (14.44 to 17.79)
    236
    (211 to 260)
    17.15
    (15.44 to 18.79)
    250
    (2,254 to 274)
    Season
    Cold 16.64
    (14.78 to 18.41)
    885
    (786 to 979)
    10.76
    (9.67 to 11.83)
    572
    (514 to 629)
    12.31
    (11.07 to 13.52)
    655
    (589 to 719)
    Warm 4.15
    (3.77 to 4.52)
    194
    (176 to 211)
    2.83
    (2.61 to 3.05)
    132
    (122 to 143)
    3.59
    (3.31 to 3.86)
    168
    (155 to 181)
    Region
    Arid region 3.03
    (2.69 to 3.37)
    93
    (82 to 103)
    7.13
    (6.35 to 7.90)
    218
    (195 to 242)
    6.68
    (5.98 to 7.37)
    205
    (183 to 226)
    Semi-arid region 17.90
    (15.44 to 20.22)
    917
    (791 to 1 036)
    12.06
    (9.93 to 14.09)
    618
    (509 to 722)
    13.73
    (11.44 to 15.90)
    704
    (586 to 815)
    Humid and semi-humid region
      Note. COPD, chronic obstructive pulmonary disease; PM, particulate matter; SDS, sand-dust storm; CI, confidence intervals; Due to the limited number of SDS events in humid and semi-humid region during the study period, the attributable fraction and attributable number could not be reliably estimated in these areas.
    下载: 导出CSV
  • [1] Mathers CD, Loncar D. Projections of global mortality and burden of disease from 2002 to 2030. PLoS Med, 2006; 3, e442. doi:  10.1371/journal.pmed.0030442
    [2] Boers E, Barrett M, Su JG, et al. Global burden of chronic obstructive pulmonary disease through 2050. JAMA Netw Open, 2023; 6, e2346598. doi:  10.1001/jamanetworkopen.2023.46598
    [3] Safiri S, Carson-Chahhoud K, Noori M, et al. Burden of chronic obstructive pulmonary disease and its attributable risk factors in 204 countries and territories, 1990-2019: results from the Global Burden of Disease Study 2019. BMJ, 2022; 378, e069679.
    [4] Wang C, Xu JY, Yang L, et al. Prevalence and risk factors of chronic obstructive pulmonary disease in China (the China Pulmonary Health [CPH] study): a national cross-sectional study. Lancet, 2018; 391, 1706-17.
    [5] Yin P, Wu JY, Wang LJ, et al. The burden of COPD in China and its provinces: findings from the global burden of disease study 2019. Front Public Health, 2022; 10, 859499. doi:  10.3389/fpubh.2022.859499
    [6] Ma J, Mi H. Disease burden and trends of COPD in the Asia-Pacific region (1990–2019) and predictions to 2034. Biomed Environ Sci, 2025; 38, 557−70.
    [7] Hu W, Fang L, Zhang H, et al. Global disease burden of COPD from 1990 to 2019 and prediction of future disease burden trend in China. Public Health, 2022; 208, 89−97. doi:  10.1016/j.puhe.2022.04.015
    [8] Li M, Chen HX, Zhou N, et al. Burden of COPD in China and the global from 1990 to 2019: a systematic analysis for the Global Burden of Disease Study 2019. BMJ Open Respir Res, 2023; 10, e001698. doi:  10.1136/bmjresp-2023-001698
    [9] Wu Y, Wen B, Li SS, et al. Sand and dust storms in Asia: a call for global cooperation on climate change. Lancet Planet Health, 2021; 5, e329−e30. doi:  10.1016/S2542-5196(21)00082-6
    [10] Asian and Pacific Centre for the Development of Disaster Information Management; Economic and Social Commission for Asia and the Pacific. Sand and Dust Storms in Asia and the Pacific: opportunities for regional cooperation and action. https://apdim.unescap.org/knowledge-hub/sand-and-dust-storms-asia-and-pacific-opportunities-regional-cooperation-and-action. [2025-01-20]
    [11] Hashizume M, Kim Y, Ng CFS, et al. Health effects of Asian dust: A systematic review and meta-analysis. Environ Health Perspect, 2020; 128, 66001. doi:  10.1289/EHP5312
    [12] Zhou EK, Zhou BF, Zhang L, et al. The effect and burden of sand-dust storms on asthma hospitalization: Evidence from cities with arid climate in China. Environ Res, 2025; 264, 120345. doi:  10.1016/j.envres.2024.120345
    [13] Zhang XL, Zhao LJ, Tong DQ, et al. A systematic review of global desert dust and associated human health effects. Atmosphere, 2016; 7, 158. doi:  10.3390/atmos7120158
    [14] Zhang C, Yan ML, Du H, et al. Mortality risks from a spectrum of causes associated with sand and dust storms in China. Nat Commun, 2023; 14, 6867. doi:  10.1038/s41467-023-42530-w
    [15] WHO. New sand and dust forecast website launched. https://wmo.int/media/news/new-sand-and-dust-forecast-website-launched. [2024-10-12]
    [16] WHO. WHO global air quality guidelines: particulate matter (PM2.5 and PM10), ozone, nitrogen dioxide, sulfur dioxide and carbon monoxide. https://www.who.int/publications/i/item/9789240034228/. [2024-10-17]
    [17] Cheng XF, Min SH, Guo RQ, et al. Disease burden of COPD attributable to PM2.5 in China, Japan and South Korea from 1990 to 2019: a comparative study based on Global Burden of Disease Study 2019. BMJ Open, 2024; 14, e078887. doi:  10.1136/bmjopen-2023-078887
    [18] Wang JY, Wang Y, Liang XH, et al. Changes on stroke burden attributable to ambient fine particulate matter in China. Biomed Environ Sci, 2024; 37, 823−33.
    [19] Cai JF, Peng CQ, Yu SY, et al. Association between PM2.5 exposure and all-cause, non-accidental, accidental, different respiratory diseases, sex and age mortality in Shenzhen, China. Int J Environ Res Public Health, 2019; 16, 401. doi:  10.3390/ijerph16030401
    [20] Dominici F, Peng RD, Bell ML, et al. Fine particulate air pollution and hospital admission for cardiovascular and respiratory diseases. JAMA, 2006; 295, 1127−34. doi:  10.1001/jama.295.10.1127
    [21] Gao NN, Li CH, Ji JD, et al. Short-term effects of ambient air pollution on chronic obstructive pulmonary disease admissions in Beijing, China (2013–2017). Int J Chron Obstruct Pulmon Dis, 2019; 14, 297−309. doi:  10.2147/COPD.S188900
    [22] Chen QC, Wang MM, Sun HY, et al. Enhanced health risks from exposure to environmentally persistent free radicals and the oxidative stress of PM2.5 from Asian dust storms in Erenhot, Zhangbei and Jinan, China. Environ Int, 2018; 121, 260−8. doi:  10.1016/j.envint.2018.09.012
    [23] Liao Q, Jin WQ, Tao Y, et al. Health and economic loss assessment of PM2.5 pollution during 2015–2017 in Gansu Province, China. Int J Environ Res Public Health, 2020; 17, 3253. doi:  10.3390/ijerph17093253
    [24] Li XH, Cai H, Ren XL, et al. Sandstorm weather is a risk factor for mortality in ischemic heart disease patients in the Hexi Corridor, northwestern China. Environ Sci Pollut Res Int, 2020; 27, 34099−106. doi:  10.1007/s11356-020-09616-0
    [25] Cheng BW, Ma YX, Qin PP, et al. Characterization of air pollution and associated health risks in Gansu Province, China from 2015 to 2022. Sci Rep, 2024; 14, 14751. doi:  10.1038/s41598-024-65584-2
    [26] Cao H, Fu C, Zhang WF, et al. Characterizing sand and dust storms (SDS) intensity in China based on meteorological data. Sustainability, 2018; 10, 2372. doi:  10.3390/su10072372
    [27] Tao Y, An XQ, Sun ZB, et al. Association between dust weather and number of admissions for patients with respiratory diseases in spring in Lanzhou. Sci Total Environ, 2012; 423, 8−11. doi:  10.1016/j.scitotenv.2012.01.064
    [28] Li GP, Yu ZB, Li YP, et al. The evolution of precipitation and its physical mechanisms in arid and humid regions of the Tibetan Plateau. Atmos Res, 2023; 285, 106638. doi:  10.1016/j.atmosres.2023.106638
    [29] Ma YD, Wang ZS, Tan YF, et al. Comparison of inorganic chemical compositions of atmospheric TSP, PM10 and PM2.5 in northern and southern Chinese coastal cities. J Environ Sci, 2017; 55, 339−53. doi:  10.1016/j.jes.2016.05.045
    [30] Xu RB, Xiong XQ, Abramson MJ, et al. Ambient temperature and intentional homicide: A multi-city case-crossover study in the US. Environ Int, 2020; 143, 105992. doi:  10.1016/j.envint.2020.105992
    [31] Wu Y, Li SS, Guo YM. Space-time-stratified case-crossover design in environmental epidemiology study. Health Data Sci, 2021; 2021, 9870798. doi:  10.34133/2021/9870798
    [32] Liu YC, Han XL, Cui XD, et al. Association between air pollutants and acute exacerbation of chronic obstructive pulmonary disease: a time stratified case‐crossover design with a distributed lag nonlinear model. GeoHealth, 2022; 6, e2021GH000529. doi:  10.1029/2021GH000529
    [33] Yang JL, Liu MY, Cheng Q, et al. Investigating the impact of air pollution on AMI and COPD hospital admissions in the coastal city of Qingdao, China. Front Environ Sci Eng, 2022; 16, 56. doi:  10.1007/s11783-021-1490-7
    [34] Wu ZT, Chen X, Li GX, et al. Attributable risk and economic cost of hospital admissions for mental disorders due to PM2.5 in Beijing. Sci Total Environ, 2020; 718, 137274. doi:  10.1016/j.scitotenv.2020.137274
    [35] Zhang YQ, Xiang QQ, Yu CH, et al. Mortality risk and burden associated with temperature variability in China, United Kingdom and United States: comparative analysis of daily and hourly exposure metrics. Environ Res, 2019; 179, 108771. doi:  10.1016/j.envres.2019.108771
    [36] Lwin KS, Tobias A, Chua PL, et al. Effects of desert dust and sandstorms on human health: a scoping review. Geohealth, 2023; 7, e2022GH000728. doi:  10.1029/2022GH000728
    [37] Lorentzou C, Kouvarakis G, Kozyrakis GV, et al. Extreme desert dust storms and COPD morbidity on the island of Crete. Int J Chronic Obstr Pulm Dis, 2019; 14, 1763−8. doi:  10.2147/COPD.S208108
    [38] Vodonos A, Friger M, Katra I, et al. The impact of desert dust exposures on hospitalizations due to exacerbation of chronic obstructive pulmonary disease. Air Qual Atmos Health, 2014; 7, 433−9. doi:  10.1007/s11869-014-0253-z
    [39] Gutierrez MP, Zuidema P, Mirsaeidi M, et al. Association between African dust transport and acute exacerbations of COPD in Miami. J Clin Med, 2020; 9, 2496. doi:  10.3390/jcm9082496
    [40] Chan CC, Chuang KJ, Chen WJ, et al. Increasing cardiopulmonary emergency visits by long-range transported Asian dust storms in Taiwan. Environ Res, 2008; 106, 393−400. doi:  10.1016/j.envres.2007.09.006
    [41] Schweitzer MD, Calzadilla AS, Salamo O, et al. Lung health in era of climate change and dust storms. Environ Res, 2018; 163, 36−42. doi:  10.1016/j.envres.2018.02.001
    [42] Huang QY, Zhang J, Peng SY, et al. Effects of water soluble PM2.5 extracts exposure on human lung epithelial cells (A549): a proteomic study. J Appl Toxicol, 2014; 34, 675−87. doi:  10.1002/jat.2910
    [43] Sandstrom T, Forsberg B. Desert dust: an unrecognized source of dangerous air pollution?. Epidemiology, 2008; 19, 808−9. doi:  10.1097/EDE.0b013e31818809e0
    [44] Polichetti G, Cocco S, Spinali A, et al. Effects of particulate matter (PM10, PM2.5 and PM1) on the cardiovascular system. Toxicology, 2009; 261, 1−8. doi:  10.1016/j.tox.2009.04.035
    [45] Gualtieri M, Øvrevik J, Mollerup S, et al. Airborne urban particles (Milan winter-PM2.5) cause mitotic arrest and cell death: Effects on DNA, mitochondria, AhR binding and spindle organization. Mutat Res/Fund Mol Mech Mutagen, 2011; 713, 18−31. doi:  10.1016/j.mrfmmm.2011.05.011
    [46] Jasim SA, Mohammadi MJ, Patra I, et al. The effect of microorganisms (bacteria and fungi) in dust storm on human health. Rev Environ Health, 2024; 39, 65−75. doi:  10.1515/reveh-2022-0162
    [47] Tamamura S, Sato T, Ota Y, et al. Long-range transport of polycyclic aromatic hydrocarbons (PAHs) from the eastern Asian continent to Kanazawa, Japan with Asian dust. Atmos Environ, 2007; 41, 2580−93. doi:  10.1016/j.atmosenv.2006.11.021
    [48] Fussell JC, Kelly FJ. Mechanisms underlying the health effects of desert sand dust. Environ Int, 2021; 157, 106790. doi:  10.1016/j.envint.2021.106790
    [49] Meng ZQ, Zhang QX. Oxidative damage of dust storm fine particles instillation on lungs, hearts and livers of rats. Environ Toxicol Pharmacol, 2006; 22, 277−82. doi:  10.1016/j.etap.2006.04.005
    [50] Honda A, Matsuda Y, Murayama R, et al. Effects of Asian sand dust particles on the respiratory and immune system. J Appl Toxicol, 2014; 34, 250−7. doi:  10.1002/jat.2871
    [51] Sunyer J, Schwartz J, Tobías A, et al. Patients with chronic obstructive pulmonary disease are at increased risk of death associated with urban particle air pollution: a case-crossover analysis. Am J Epidemiol, 2000; 151, 50−6. doi:  10.1093/oxfordjournals.aje.a010121
    [52] Pouri N, Karimi B, Kolivand A, et al. Ambient dust pollution with all-cause, cardiovascular and respiratory mortality: A systematic review and meta-analysis. Sci Total Environ, 2024; 912, 168945. doi:  10.1016/j.scitotenv.2023.168945
    [53] Zhang YQ, Peng MJ, Yu CH, et al. Burden of mortality and years of life lost due to ambient PM10 pollution in Wuhan, China. Environ Pollut, 2017; 230, 1073−80. doi:  10.1016/j.envpol.2017.07.053
    [54] Pavord ID, Jones PW, Burgel PR, et al. Exacerbations of COPD. Int J Chronic Obstr Pulm Dis, 2016; 11, 21−30.
    [55] Cheng MH, Chiu HF, Yang CY. Coarse particulate air pollution associated with increased risk of hospital admissions for respiratory diseases in a tropical city, Kaohsiung, Taiwan. Int J Environ Res Public Health, 2015; 12, 13053−68. doi:  10.3390/ijerph121013053
    [56] Cheng CL, Han C, Fang QD, et al. Associations between air pollutants and hospital admissions for chronic obstructive pulmonary disease in Jinan: Potential benefits from air quality improvements. Environ Sci Pollut Res Int, 2023; 30, 46435−45. doi:  10.1007/s11356-023-25567-8
    [57] Qiu H, Yu ITS, Wang XR, et al. Season and humidity dependence of the effects of air pollution on COPD hospitalizations in Hong Kong. Atmos Environ, 2013; 76, 74−80. doi:  10.1016/j.atmosenv.2012.07.026
    [58] Ko FWS, Tam W, Wong TW, et al. Temporal relationship between air pollutants and hospital admissions for chronic obstructive pulmonary disease in Hong Kong. Thorax, 2007; 62, 780−5. doi:  10.1136/thx.2006.076166
    [59] Luo B, Shi HX, Zhang K, et al. Cold stress provokes lung injury in rats co-exposed to fine particulate matter and lipopolysaccharide. Ecotoxicol Environ Saf, 2019; 168, 9−16. doi:  10.1016/j.ecoenv.2018.10.064
    [60] Zhang K, Guo L, Wei QZ, et al. COPD rat model is more susceptible to cold stress and PM2.5 exposure and the underlying mechanism. Environ Pollut, 2018; 241, 26−34. doi:  10.1016/j.envpol.2018.05.034
    [61] Ma XY, Xia DS, Liu XY, et al. Application of magnetic susceptibility and heavy metal bioaccessibility to assessments of urban sandstorm contamination and health risks: Case studies from Dunhuang and Lanzhou, Northwest China. Sci Total Environ, 2022; 830, 154801. doi:  10.1016/j.scitotenv.2022.154801
    [62] Ma HR, Qu FR, Dong JY, et al. Associations between traffic-related air pollution and allergic rhinitis outpatient visits in three cities of Gansu Province. Environ Sci Process Impacts, 2024; 26, 1618−28. doi:  10.1039/D4EM00234B
  • [1] Xin He, Ailin Yang, Yue Yu, Ganggang Yu, Bo Wu, Yunxiao Li, Yanjun Wu, Haoyan Wang, Bo Xu.  Ephx2 Deficiency Suppresses Chronic Obstructive Pulmonary Disease by Inhibiting Ferroptosis Caused by Cigarette Smoke via Regulation of the System Xc-/GSH/GPX4 Axis In Vivo . Biomedical and Environmental Sciences, 2026, 39(3): 342-355. doi: 10.3967/bes2026.012
    [2] Jingwei Zhang, Jian Zhang, Pengfei Li, Yandan Xu, Xuesong Zhou, Xiuli Tang, Jia Qiu, Zhongao Ding, Mingjia Xu, Chongjian Wang.  Short-term Effects of Fine Particulate Matter and its Constituents on Acute Exacerbations of Chronic Bronchitis: A Time-stratified Case-crossover Study . Biomedical and Environmental Sciences, 2025, 38(3): 389-393. doi: 10.3967/bes2025.026
    [3] Xu Zhang, Zhimeng Wu, Lu Zhang, Binglong Xin, Xiangrui Wang, Xinlan Lu, Guifang Lu, Mudan Ren, Shuixiang He, Yarui Li.  Causal Associations between Particulate Matter 2.5 (PM2.5), PM2.5 Absorbance, and Inflammatory Bowel Disease Risk: Evidence from a Two-Sample Mendelian Randomization Study . Biomedical and Environmental Sciences, 2025, 38(2): 167-177. doi: 10.3967/bes2024.142
    [4] Yijia Chen, Fan Zhao, Qingyang Wu, Yukitaka Ohashi, Tomohiko Ihara.  Short-Term Lag Effects of Climate-Pollution Interactions on Cardiopulmonary Hospitalizations: A Multi-City Predictive Study Using the AE+LSTM Hybrid Model in Japan . Biomedical and Environmental Sciences, 2025, 38(11): 1378-1387. doi: 10.3967/bes2025.137
    [5] Jin Yang, Xiaolin Wang, Wenfang Zhong, Jian Gao, Huan Chen, Peiliang Chen, Qingmei Huang, Yixin Zhang, Fangfei You, Chuan Li, Weiqi Song, Dong Shen, Jiaojiao Ren, Dan Liu, Zhihao Li, Chen Mao.  Associations of Genetic Risk and Physical Activity with Incident Chronic Obstructive Pulmonary Disease: A Large Prospective Cohort Study . Biomedical and Environmental Sciences, 2025, 38(10): 1194-1204. doi: 10.3967/bes2025.112
    [6] Jingyu Wang, Yan Wang, Xiaohua Liang, Keyong Huang, Fangchao Liu, Shufeng Chen, Xiangfeng Lu, Jianxin Li.  Changes on Stroke Burden Attributable to Ambient Fine Particulate Matter in China . Biomedical and Environmental Sciences, 2024, 37(8): 823-833. doi: 10.3967/bes2024.083
    [7] XIAO Bin, ZHANG You Miao, ZHOU Jing, XU Cheng Dong, HU Wei, WEN Wei, CHEN Jia Bin, SUN Cheng Ye.  Spatiotemporal Distribution and Epidemiological Characteristics of Hospital Admissions for Carbon Monoxide Poisoning in Guangdong, China, 2013–2020 . Biomedical and Environmental Sciences, 2022, 35(10): 943-953. doi: 10.3967/bes2022.053
    [8] LI Yun Xiao, WANG Jun, WU Bo, LIN Fang, TAN Chun Ting, YU Gang Gang, NIE Shan, ZHAO Ran Ran, XU Bo.  Effect of Maximal Oxygen Pulse on Patients with Chronic Obstructive Pulmonary Disease . Biomedical and Environmental Sciences, 2022, 35(9): 830-841. doi: 10.3967/bes2022.107
    [9] LI Man, WANG Zhuo Qun, ZHANG Lu, ZHENG Hao, LIU Dian Wu, ZHOU Mai Geng.  Burden of Cirrhosis and Other Chronic Liver Diseases Caused by Specific Etiologies in China, 1990−2016: Findings from the Global Burden of Disease Study 2016 . Biomedical and Environmental Sciences, 2020, 33(1): 1-10. doi: 10.3967/bes2020.001
    [10] CHE Chun Li, DONG Fu Shi, LI Jia Lin, ZHANG Chun Ling, LIU Lu, WU Yu Han, WANG Kun, QI Hong.  Retrospective Study of Effect of Fine Particulate Matter on Acute Exacerbation of Patients with Idiopathic Pulmonary Fibrosis . Biomedical and Environmental Sciences, 2020, 33(2): 138-140. doi: 10.3967/bes2020.018
    [11] YANG Xiao Yan, WEN Bo, HAN Feng, WANG Chong, ZHANG Shao Ping, WANG Jun, XU Dong Qun, WANG Qin.  Acute Effects of Individual Exposure to Fine Particulate Matter on Pulmonary Function in Schoolchildren . Biomedical and Environmental Sciences, 2020, 33(9): 647-659. doi: 10.3967/bes2020.086
    [12] LIANG Ying, GAI Xiao Yan, CHANG Chun, ZHANG Xu, WANG Juan, LI Ting Ting.  Metabolomic Profiling Differences among Asthma, COPD, and Healthy Subjects: A LC-MS-based Metabolomic Analysis . Biomedical and Environmental Sciences, 2019, 32(9): 659-672. doi: 10.3967/bes2019.085
    [13] LIAO Yu, XU Lin, LIN Xiao, HAO Yuan Tao.  Temporal Trend in Lung Cancer Burden Attributed to Ambient Fine Particulate Matter in Guangzhou, China . Biomedical and Environmental Sciences, 2017, 30(10): 708-717. doi: 10.3967/bes2017.096
    [14] JIA Bing Bing, YANG Zhou Xin, MAO Gen Xiang, LYU Yuan Dong, WEN Xiao Lin, XU Wei Hong, LYU XIAO Ling.  Health Effect of Forest Bathing Trip on Elderly Patients with Chronic Obstructive Pulmonary Disease . Biomedical and Environmental Sciences, 2016, 29(3): 212-218. doi: 10.3967/bes2016.026
    [15] HAI-DONG KAN, BING-HENG CHEN, CHANG-HONG CHEN, BING-YAN WANG, QING-YAN FU.  Establishment of Exposure-response Functions of Air Particulate Matter and Adverse Health Outcomes in China and Worldwide . Biomedical and Environmental Sciences, 2005, 18(3): 159-163.
    [16] XIANG GAO, QI YU, LI-MIN CHEN.  Health Effects of Airborne Particulate Matter Trace Elements . Biomedical and Environmental Sciences, 2005, 18(5): 349-355.
    [17] LI-PING LI, SHENG WANG.  Trends in Injury-related Incidence and Mortality Among Inpatients in Guangdong Province in 1997-2001 . Biomedical and Environmental Sciences, 2004, 17(3): 333-340.
    [18] KAN HAI-DONG, CHEN BING-HENG.  Impact of Long-term Exposure to Air Particulate Matter on Life Expectancy and Survival Rate of Shanghai Residents . Biomedical and Environmental Sciences, 2002, 15(3): 209-214.
    [19] XU QUN, JIN SHUI-GAO, ZHANG LI-XING.  Estimation of Burden of Disease for Smear-Positive Pulmonary TB and its Infectivity . Biomedical and Environmental Sciences, 2000, 13(2): 140-147.
    [20] PANG LIN, JIN SHUI-GAO, SONG GUI-DE, GUO ZE-YU.  Study on Measuring Burden of Disease . Biomedical and Environmental Sciences, 2000, 13(1): 1-6.
  • 25379+Supplementary Materials.docx
  • 加载中
图(4) / 表ll (3)
计量
  • 文章访问数:  733
  • HTML全文浏览量:  322
  • PDF下载量:  36
  • 被引次数: 0
出版历程
  • 收稿日期:  2025-06-28
  • 录用日期:  2025-09-11
  • 网络出版日期:  2025-11-13
  • 刊出日期:  2025-11-20

Sandstorm-driven Particulate Matter Exposure and Elevated COPD Hospitalization Risk in Arid Regions of China: A Spatiotemporal Epidemiological Analysis

doi: 10.3967/bes2025.134
    基金项目:  This work was supported by the Innovative Talent Project of Lanzhou City, Lanzhou Science and Technology Bureau (2022-RC-42) and the Fundamental Research Funds for the Central Universities, Lanzhou University, China (lzujbky-2021-ey07, lzujbky-2024-it59, lzujbky-2025-it29), and the Gansu Province Postgraduate Innovation Star Program (2025CXZX-018).
    作者简介:

    Hao Zhao, Master Candidate, majoring in environment and health, E-mail: zhaohao2023@lzu.edu.cn

    Ce Liu, Master Degree, majoring in environment and health, E-mail: liuc2017@lzu.edu.cn

    通讯作者: Bin Luo, PhD, Tel: 86-13919783313, E-mail: luob@lzu.edu.cn
注释:
1) Authors’ Contributions: 2) Competing Interests: 3) Ethics: 4) Data Sharing:

English Abstract

Hao Zhao, Ce Liu, Erkai Zhou, Baofeng Zhou, Sheng Li, Li He, Zhaoru Yang, Jiabei Jian, Huan Chen, Huanhuan Wei, Rongrong Cao, Bin Luo. Sandstorm-driven Particulate Matter Exposure and Elevated COPD Hospitalization Risk in Arid Regions of China: A Spatiotemporal Epidemiological Analysis[J]. Biomedical and Environmental Sciences, 2025, 38(11): 1404-1416. doi: 10.3967/bes2025.134
Citation: Hao Zhao, Ce Liu, Erkai Zhou, Baofeng Zhou, Sheng Li, Li He, Zhaoru Yang, Jiabei Jian, Huan Chen, Huanhuan Wei, Rongrong Cao, Bin Luo. Sandstorm-driven Particulate Matter Exposure and Elevated COPD Hospitalization Risk in Arid Regions of China: A Spatiotemporal Epidemiological Analysis[J]. Biomedical and Environmental Sciences, 2025, 38(11): 1404-1416. doi: 10.3967/bes2025.134
    • Chronic obstructive pulmonary disease (COPD) is a major global health concern, and its burden is projected to increase as the population ages[1,2]. According to the 2019 Global Burden of Disease Study, approximately 212.3 million individuals worldwide were affected by COPD, which was associated with 3.3 million fatalities and a loss of 74.4 million disability-adjusted life years[3]. In China, COPD prevalence among individuals aged 40 years and over is 13.7%[4], with Gansu Province experiencing the highest burden (age-standardized incidence rate: 257.33 per 100,000)[5]. Although the incidence, prevalence, mortality, and disease burden of COPD have been decreasing and are projected to remain stable or decline in the Asia-Pacific Region until 2034, significant challenges remain in certain regions[6]. Projections suggest a 1.5-fold increase in COPD cases and deaths in China over the next 25 years[7,8], highlighting the urgent need for targeted interventions.

      Sand-dust storms (SDS) are recognized as critical global public health issues. In the context of climate change, the world is projected to face more severe droughts, heightened wind erosion, and extreme weather events, all of which are expected to increase the intensity and frequency of SDS, leading to significant health impacts[9,10]. Numerous studies have shown a strong link between dust storms and higher rates of respiratory-related deaths and hospitalizations, particularly for conditions such as asthma, pneumonia, and COPD[11-13]. A multicenter time-series study conducted in China demonstrated that exposure to SDS events significantly increased COPD mortality, with an excess mortality risk of 11.55% (5.55%–17.89%)[14].

      SDS is a prevalent meteorological hazard in arid and semi-arid regions, resulting in the release of substantial quantities of atmospheric mineral dust particles[15]. Inhalable particulate matter (PM10), which comprises both fine particulate matter (PM2.5) and coarse particulate matter (PM2.5–10), is well established as the principal constituent of SDS and poses significant risks to human health[9,14]. SDS events are frequently correlated with significant increases in the measured concentrations of both PM2.5 and PM10[16]. Particulate matter (PM) exposure is a leading environmental risk factor for public health, and the disease burden associated with it remains substantial in China[17,18]. Previous studies have demonstrated a strong association between ambient PM exposure and COPD development[19-21]. However, SDS events may increase the risk of exposure to environmentally persistent free radicals in atmospheric particles, boosting the oxidizing capacity of PM2.5 and leading to a higher prevalence of lung diseases and elevated health risks[22]. Although most studies have focused on the effects of air pollution in isolation, the implications of dramatic PM concentration spikes during SDS events on respiratory health and patients with COPD remain poorly understood, particularly within climatically diverse regions.

      Given its arid and semiarid climatic conditions, Gansu Province frequently experiences severe air pollution stemming from both anthropogenic and natural factors[23]. The northwestern region exhibits a significantly higher SDS frequency than the southeastern region, primarily because of its proximity to desert areas and low vegetation coverage[24,25]. In China, more than 90% of SDS events that lasted over two hours occurred in the northwestern provinces, particularly Gansu[26]. Gansu Province, which is highly prone to SDS events, has experienced significant SDS-related respiratory hospitalizations[27]. The formation and propagation of SDS are strongly influenced by key meteorological factors, including temperature, precipitation, and soil moisture. With diverse climatic conditions and arid/semi-arid zones encompassing 75% of its land area, Gansu Province serves as an ideal natural laboratory for quantifying the respiratory health impacts of SDS-PM exposure.

      To address these research gaps, this study employed an advanced space-time-stratified case-crossover design to systematically examine the differential impacts of PM exposure on COPD hospitalization during both SDS and non-SDS periods in Gansu Province. Concurrently, we assessed the burden of hospitalization for COPD associated with PM exposure on SDS days. This study sought to establish a critical scientific foundation for developing tailored prevention strategies and refined intervention protocols to improve COPD management in Gansu Province, with particular emphasis on addressing the health challenges associated with SDS events.

    • Gansu Province, situated in northwest China, comprises six distinct geographical regions, including the Loess Plateau in Longzhong, the Gannan Plateau, and the Hexi Corridor. The province exhibits diverse climatic conditions, ranging from arid to humid, spanning four wet and dry regions. Comprising 14 cities (prefectures), Gansu Province is categorized into three distinct climatic zones according to annual precipitation levels[28]: the arid region, with less than 200 mm of precipitation (Jinchang, Jiayuguan, and Jiuquan), the semi-arid region, with 200 mm to 400 mm of precipitation (Lanzhou, Zhangye, Wuwei, and Baiyin), and the humid and semi-humid region, with over 400 mm of precipitation (Dingxi, Linxia Hui Autonomous Prefecture, Tianshui, Longnan, Gannan Tibetan Autonomous Prefecture, Qingyang, and Pingliang) (Figure 1).

      Figure 1.  Spatial distribution of chronic obstructive pulmonary disease hospitalizations in Gansu Province, China, showing absolute case numbers (A) and incidence rates per 100,000 population (B). Hospital locations are indicated by green triangles. COPD, chronic obstructive pulmonary disease. Map approval number: GS(2024)1158.

      This study analyzed data from 324 hospitals in Gansu Province collected from the Medical Information Management System in Gansu between January 1, 2018, and December 31, 2022. The dataset included information on sex, age, admission and discharge dates, total inpatient costs, disease diagnosis, and diagnosis codes for all COPD hospitalization cases. The International Classification of Diseases, Tenth Revision code relevant to this research was J44 (COPD).

    • We collected pollutant data for each hospital location from the China National Environmental Monitoring Centre (https://www.cnemc.cn/sssj/) for the study period January 1, 2018, to December 31, 2022. These data included the daily maximum 8-hour concentration of ozone and daily average concentrations of PM2.5, PM10, nitrogen dioxide, sulfur dioxide, and carbon monoxide. In addition, we obtained daily meteorological data from the Gansu Provincial Meteorological Bureau, including the daily average air temperature (Tmean) and relative humidity (RH) for each city in Gansu Province throughout the study period.

    • In the absence of official city-level records for SDS, we established SDS event criteria based on PM10 concentrations and the PM2.5/PM10 ratio, following methods from previous studies[12,14]. The regional background PM10 concentrations for the target dates were determined by calculating the median PM10 values within a 15-day moving window centered on each target date, encompassing 7 days before and 7 days after the measurement day. For each city, SDS events were defined as days when both of the following criteria were met: (1) the mean PM10 concentration difference from the regional background value was greater than 150 μg/m3 (aligned with the threshold set by the China National Air Environment Quality Grade II Standard); and (2) the daily PM2.5/PM10 concentration ratio was less than 0.4. The reduced PM2.5/PM10 concentration ratio demonstrates a significant correlation with long-range transported dust particles, serving as a critical diagnostic parameter for differentiating dust storm events from non-dust weather[14,29]. In China, the PM2.5/PM10 concentration ratio has typically been observed to be less than 0.4 during SDS events. Therefore, our definition of an SDS event is based on the PM2.5/PM10 concentration ratio, which is consistent with the methodology used by Zhang et al. and Zhou et al.[12,14].

    • A space-time-stratified case-crossover analysis was performed to assess the associations between ambient air pollutants, meteorological factors, and daily COPD hospitalization. Unlike conventional case-control studies, the case-crossover design inherently controls for time-invariant confounders because each participant serves as their own control. Specifically, the case and control periods were matched through a stratified approach, selecting reference days on the same calendar day within the same month and year or from adjacent weeks within the study region. Each case period was matched with three to four control days selected from adjacent weeks within the same calendar month, a strategy that controlled for the day of the week, seasonality, long-term trends, and spatial variation bias. This methodological approach effectively controls for both time-varying and time-invariant individual characteristics[30]. Air pollution and meteorological data for each patient location were represented as city-level values[31].

      Previous studies have shown that PM exposure can have a lag effect on COPD, with the largest effects typically occurring within seven days[21,32,33]. Based on an initial analysis (Supplementary Figure S1) and previous research, we quantified the lag-specific effects of PM exposure (lag 0–7 days) using multi-pollutant modeling frameworks that accounted for the temporal dynamics between pollutant concentrations and COPD hospitalization risks. The formula used is as follows:

      $$ \begin{aligned} & Log\left[E\right({Y}_{t}\left)\right]=\alpha +{\beta }_{t}{PM}_{t}+ ns(Tmean,df=6)+\\ &ns(R{H}_{t}, df=3)+factor(stratum)+v({Holiday}_{t}) \end{aligned} $$ (1)

      t is the day of observation; E(Yt) represents the number of daily COPD hospitalizations on day t; α is the intercept; PMt is the air pollutant concentration on day t with its coefficient βt; ns is the natural cubic spline for nonlinear variables; Tmean and RH are the average temperature and average relative humidity on day t, with the degrees of freedom (df) of 6 and 3, respectively; stratum is time strata; Holiday is a binary variable representing public holidays, with its coefficient v; the choice of df for the variable terms is based on Akaike Information Criterion for the minimization model. The relationship between PM exposure and hospitalization for COPD in Gansu Province was measured using the relative risk (RR) and corresponding 95% confidence intervals (CI).

    • The attributable fraction (AF) and attributable number (AN) are epidemiological measures that quantify the disease burden attributable to specific exposures, including environmental pollutants or behavioral risk factors within a defined population[34]. Specifically, AN represents the number of increased COPD hospitalizations attributable to PM exposure, while AF quantifies both the proportion of COPD hospitalizations in Gansu Province attributable to PM exposure and the potential reduction achievable when PM levels remain below health-based thresholds[35]. The formula used is as follows:

      $$ A{N}_{t}={N}_{t}\times ({RR}_{t}-1)/{RR}_{t} $$ (2)
      $$ {AF}_{t}=\frac{\sum _{t}{AN}_{t}}{\sum _{t}{N}_{t}} _{ } $$ (3)

      t is the day of observation; ANt is the number of attributable hospitalizations on day t; Nt is the number of COPD hospitalizations observed on day t; and RRt is the risk of hospitalization associated with PM exposure on day t.

    • To assess model robustness, we conducted sensitivity analyses using two approaches: (1) constructing two-pollutant models with PM2.5, PM2.5–10, and PM10 as primary predictors and (2) evaluating the stability of PM exposure effects on COPD hospitalizations by varying degrees of freedom (df = 3–6 per year) for temporal control.

      We conducted several stratified analyses according to sex (male and female), age (0–49, 50–59, 60–69, 70–79, and ≥ 80 years), region (arid, semi-arid, humid, and semi-humid regions), and season (warm season from April to September and cold season from October to March of the following year). All analyses and plotting were performed using the R software (version 4.3.3; https://cran.r-project.org). A P value < 0.05 was considered statistically significant.

    • From January 1, 2018, to December 31, 2022, Gansu Province recorded 265,379 COPD hospitalizations, with men accounting for 153,527 cases (57.85%) and women accounting for 111,852 cases (42.15%). The majority of patients were over 60 years of age (84.01%). Hospitalizations were more frequent during the cold season and in the semiarid region of Gansu Province. Zhangye (3,462.45 per 100,000 people), Jiuquan (2,587.29 per 100,000 people), and Jiayuguan (2,118.66 per 100,000 people) reported the highest number of COPD cases per 100,000 people; these cities are primarily located in arid regions. The total expenses per hospitalization were higher for patients aged ≥ 80 years, in arid regions, and in Lanzhou and Jiayuguan (Table 1 and Figure 1).

      Table 1.  Demographic characteristics of COPD hospitalization cases in Gansu Province during 2018–2022

      Variables Cases (%) Total expenses per hospitalization (Mean ± SD)*
      Total 265,379 6,029.41 ± 4,895.61
      Gender
      Male 153,527 (57.85) 6,184.91 ± 5,184.71
      Female 111,852 (42.15) 5,814.34 ± 4,456.08
      Age (year)
      0– 8,903 (3.35) 5,291.93 ± 4,257.34
      50– 33,535 (12.64) 5,676.91 ± 4,979.53
      60– 79,710 (30.04) 5,828.90 ± 4,615.70
      70– 103,715 (39.08) 6,090.99 ± 4,851.16
      ≥ 80 39,516 (14.89) 6,747.94 ± 5,503.44
      Season
      Cold 143,999 (54.26) 5,986.62 ± 4,778.77
      Warm 121,380 (45.74) 6,080.19 ± 5,030.27
      Region
      Arid region 39,797 (15.00) 5,927.93 ± 4,258.96
      Semi-arid region 112,914 (42.55) 6,399.18 ± 5,632.52
      Humid and semi-humid region 112,668 (42.45) 5,745.37 ± 4,298.26
      City (Prefecture)
      Lanzhou 28,315 (10.67) 8,853.81 ± 8,251.58
      Tianshui 13,000 (4.90) 5,971.46 ± 4,396.31
      Dingxi 20,328 (7.66) 5,560.75 ± 2,951.48
      Longnan 7,941 (2.99) 5,549.28 ± 3,179.02
      Qingyang 20,336 (7.66) 5,776.54 ± 6,480.11
      Linxia 24,965 (9.41) 6,272.48 ± 3,652.98
      Pingliang 21,502 (8.10) 5,517.85 ± 4,038.58
      Baiyin 16,127 (6.08) 6,102.87 ± 4,797.78
      Wuwei 27,996 (10.55) 5,780.47 ± 4,319.56
      Zhangye 40,476 (15.25) 5,228.05 ± 3,593.20
      Jiuquan 28,054 (10.57) 5,908.04 ± 4,342.23
      Gannan 4,596 (1.73) 4,324.60 ± 1,881.32
      Jinchang 5,601 (2.11) 4,812.50 ± 2,856.81
      Jiayuguan 6,142 (2.31) 7,035.93 ± 4,648.62
        Note. COPD, chronic obstructive pulmonary disease; SD, standard deviation; *unit, Chinese Yuan (CNY).

      During the study period, Gansu Province experienced 791 sand and dust events, predominantly in winter and spring (Supplementary Figure S2). The arid region of northwestern Gansu Province exhibited a significantly higher SDS event frequency than the humid and semi-humid areas, with Jiuquan recording the highest incidence at 128 events (Supplementary Figure S3). Notably, PM concentrations during SDS days showed substantial increases, reaching levels three to six times higher than the 5-year average (Table 2). The increase in concentrations of PM10 (349.80 ± 295.94 μg/m3) and PM2.5–10 (265.73 ± 231.23 μg/m3) was more pronounced compared to that of PM2.5. Temporal variations in air pollutant concentrations, meteorological parameters, and COPD hospitalization records in Gansu Province (2018–2022) were systematically analyzed (Supplementary Figures S4–S5).

      Table 2.  Descriptive statistics of particulate matter pollutants over 2018−2022 in Gansu Province

      Air Pollutants Mean ± SD Minimum P25 Median P75 Maximum
      PM2.5 (μg/m3) 29.33 ± 19.55 8.43 17.41 25.29 36.29 369.71
      PM2.5−10 (μg/m3) 47.74 ± 64.40 3.00 24.73 33.79 48.64 1,532.29
      PM10 (μg/m3) 77.07 ± 80.98 13.43 43.79 61.86 84.00 1,902.00
      SDS PM2.5 (μg/m3) 84.07 ± 72.23 13.00 51.67 68.00 93.20 649.40
      SDS PM2.5−10 (μg/m3) 265.73 ± 231.23 10.33 163.00 206.33 310.50 2,101.90
      SDS PM10 (μg/m3) 349.80 ± 295.94 35.00 220.50 271.67 400.67 2,596.50
        Note. SD, standard deviance; P25, 25th percentile; P75, 75th percentile.
    • Figure 2 demonstrates that each 10 μg/m3 increase in PM2.5, PM2.5–10 and PM10 significantly raised the risk of hospitalization for COPD in Gansu Province from lag 0 to 7 days. In single-day lag analyses, PM2.5 and PM2.5–10 exhibited peak associations with COPD hospitalization risk at lag 0, whereas PM10 demonstrated maximum significant effects at lag 4. The cumulative effect of PM exposure intensified with an increasing number of cumulative days, peaking at lag 07 with RRs of 1.015 (95% CI: 1.012–1.017) for PM2.5, 1.005 (95% CI: 1.004–1.006) for PM2.5–10 and 1.004 (95% CI: 1.003–1.004) for PM10.

      Figure 2.  Relative risks of chronic obstructive pulmonary disease hospitalization associated with every 10 μg/m3 increase in PM2.5, PM2.5–10, and PM10 at different lag days. CI, confidence intervals.

      Figure 3 illustrates the differential impact of PM exposure on COPD hospitalization during the SDS and non-SDS periods. Our analysis revealed a markedly elevated COPD hospitalization risk associated with all three PM types during SDS days compared to non-SDS periods, with PM2.5 demonstrating the strongest association. In the single-day lag model, the risk of COPD associated with PM2.5 and PM10 on SDS event days was the highest at a lag of 3 days, with RRs of 1.028 (95% CI: 1.021–1.034) and 1.005 (95% CI: 1.004–1.007), respectively. In contrast, the lagged effect of PM2.5–10 was most pronounced at a lag of 0 days, with RR of 1.007 (95% CI: 1.005–1.008). On non-SDS days, the effects of PM exposure were primarily concentrated at lags of 1–2 days. During the SDS period, the cumulative effect of the three PM types increased with longer cumulative days, beginning with a significant increase at lag 03 and peaking at lag 06, after which the effect gradually diminished.

      Figure 3.  Relative risks of daily hospitalizations for chronic obstructive pulmonary disease associated with PM2.5, PM2.5–10, and PM10 during sand-dust storm (SDS) and non-SDS days on single-day lags (from current day to 7 days before: lag 0–lag 7) and multi-day moving average lags (from lag 01 to lag 07). SDS, sand-dust storm; CI, confidence intervals.

      Figure 4 presents the results of subgroup analyses according to sex, age, season, and region. In analyzing of PM-related hospitalization risk on SDS event days stratified by sex, we found that the risk was more pronounced in men (RR = 1.024, 95% CI: 1.017–1.030 for PM2.5; RR = 1.008, 95% CI: 1.006–1.010 for PM2.5–10; RR = 1.006, 95% CI: 1.005–1.008 for PM10) than in women (RR = 1.009, 95% CI: 1.001–1.018 for PM2.5; RR = 1.005, 95% CI: 1.002–1.007 for PM2.5–10; RR = 1.004, 95% CI: 1.002–1.005 for PM10). Exposure to PM2.5, PM2.5–10 and PM10 increased the risk of hospitalization for COPD among individuals over 60 years of age, and this risk progressively increased with advancing age. We found that PM exposure during SDS events had a significantly greater impact on COPD hospitalization in the cold season than in the warm season. The strength of the association between PM exposure and hospitalization for COPD varied between regions. Overall, the association was more robust in arid regions, whereas it was not statistically significant in humid and semi-humid regions, likely because of the lower occurrence of SDS events.

      Figure 4.  The effect (lag 0 day) of PM2.5, PM2.5–10, and PM10 during sand-dust storm (SDS) days on chronic obstructive pulmonary disease hospitalization across gender, age, season and region. Due to the limited number of SDS events in humid and semi-humid region during the study period, the relative risk (RR) value could not be reliably estimated in these areas. CI, confidence intervals.

    • The occurrence of SDS events significantly contributed to an increased burden of PM-related hospitalization, with 14.88% (95% CI: 13.67%–16.05%), 12.63% (95% CI: 11.43%–13.70%), and 13.74% (95% CI: 12.50%–14.94%) of COPD hospitalization attributed to PM2.5, PM2.5–10 and PM10 during SDS days. The corresponding attributable case numbers were 1,487 (95% CI: 1,366–1,604), 1,262 (95% CI: 1,143–1,378) and 1,373 (95% CI: 1,249–1,493), respectively (Table 3). Subgroup analyses revealed that the attributable fraction of COPD hospitalizations associated with SDS PM2.5 exposure was significantly higher among males, patients aged over 80 years, and during the cold season, particularly for inpatients with COPD in semi-arid regions. Similar patterns were observed for PM2.5–10 and PM10 exposures. At the city level, the burden of coarse particulate matter was predominantly concentrated in cities situated in arid and semiarid regions, such as Zhangye and Lanzhou, which displayed higher attributable numbers (Supplementary Tables S1–S2). Additionally, the Longnan and Tianshui regions exhibited significantly elevated attribution values for PM2.5 exposure. However, the comprehensive assessment of the PM-related disease burden during SDS events in these southern regions was constrained by the relatively low frequency of SDS occurrence, preventing definitive conclusions from being drawn.

      Table 3.  The attributable fraction and attributable number of COPD hospitalization related to SDS-PM pollution in Gansu Province during 2018−2022

      Variables SDS PM2.5 SDS PM2.5−10 SDS PM10
      Attributable fraction in %
      (95% CI)
      Attributable number
      (95% CI)
      Attributable fraction in %
      (95% CI)
      Attributable number
      (95% CI)
      Attributable fraction in %
      (95% CI)
      Attributable number
      (95% CI)
      Total 14.88
      (13.67 to 16.05)
      1,487
      (1,366 to 1,604)
      12.63
      (11.43 to 13.7)
      1,262
      (1,143 to 1,378)
      13.74
      (12.50 to 14.94)
      1,373
      (1,249 to 1,493)
      Sex
      Male 18.29
      (16.74 to 19.78)
      1,040
      (952 to 1,125)
      14.68
      (13.25 to 16.05)
      835
      (754 to 913)
      16.17
      (14.66 to 17.61)
      919
      (834 to 1,002)
      Female 9.31
      (8.61 to 10.00)
      401
      (371 to 431)
      9.29
      (8.46 to 10.11)
      400
      (364 to 435)
      9.80
      (8.98 to 10.61)
      422
      (386 to 457)
      Age (years)
      0− −1.57
      (−1.68 to −1.47)
      −4.86
      (−5.18 to −4.53)
      1.14
      (1.05 to 1.22)
      3.51
      (3.25 to 3.76)
      0.67
      (0.62 to 0.71)
      2.06
      (2.92 to 2.20)
      50− 9.35
      (8.66 to 10.04)
      107
      (99 to 114)
      9.49
      (8.65 to 10.32)
      108
      (99 to 118)
      9.99
      (9.16 to 10.81)
      114
      (104 to 123)
      60− 13.77
      (12.68 to 14.83)
      425
      (392 to 458)
      12.10
      (10.98 to 13.18)
      374
      (339 to 407)
      13.08
      (11.94 to 14.19)
      404
      (369 to 439)
      70− 17.39
      (15.90 to 18.83)
      701
      (641 to 759)
      13.58
      (12.24 to 14.88)
      548
      (494 to 600)
      15.06
      (13.64 to 16.43)
      607
      (550 to 663)
      ≥ 80 17.34
      (15.83 to 18.79)
      253
      (231 to 274)
      16.15
      (14.44 to 17.79)
      236
      (211 to 260)
      17.15
      (15.44 to 18.79)
      250
      (2,254 to 274)
      Season
      Cold 16.64
      (14.78 to 18.41)
      885
      (786 to 979)
      10.76
      (9.67 to 11.83)
      572
      (514 to 629)
      12.31
      (11.07 to 13.52)
      655
      (589 to 719)
      Warm 4.15
      (3.77 to 4.52)
      194
      (176 to 211)
      2.83
      (2.61 to 3.05)
      132
      (122 to 143)
      3.59
      (3.31 to 3.86)
      168
      (155 to 181)
      Region
      Arid region 3.03
      (2.69 to 3.37)
      93
      (82 to 103)
      7.13
      (6.35 to 7.90)
      218
      (195 to 242)
      6.68
      (5.98 to 7.37)
      205
      (183 to 226)
      Semi-arid region 17.90
      (15.44 to 20.22)
      917
      (791 to 1 036)
      12.06
      (9.93 to 14.09)
      618
      (509 to 722)
      13.73
      (11.44 to 15.90)
      704
      (586 to 815)
      Humid and semi-humid region
        Note. COPD, chronic obstructive pulmonary disease; PM, particulate matter; SDS, sand-dust storm; CI, confidence intervals; Due to the limited number of SDS events in humid and semi-humid region during the study period, the attributable fraction and attributable number could not be reliably estimated in these areas.
    • We selected the lag time corresponding to the maximum RR of the hazardous effect of each PM pollutant (lag 07) and adjusted the corresponding time variables (df = 3–6). After validating the two-pollution model and adjusting for df, no significant change was observed in the relative risk of PM's effect on COPD hospitalization. The results of the model chosen for this study remained relatively robust (Supplementary Figures S6–S7).

    • This space-time-stratified case-crossover analysis, which utilized daily COPD hospitalization records from Gansu Province, provided a comprehensive assessment of the attributable risk and associated burden on patients with COPD from ambient PM exposure, particularly during SDS days. PM exposure significantly increased the risk of COPD hospitalization during SDS days compared with non-SDS days, with PM2.5 specifically contributing to a larger attributable burden. Our findings offer new evidence relating to the importance of control and health protection during SDS weather.

      Numerous studies have confirmed the significant health effects of PM exposure on SDS days, particularly the risks associated with respiratory diseases[9,11,36]. A study conducted in Greece found that the number of patients with COPD during SDS weather was 3.6 times higher than on non-SDS days[37]. A time-series analysis in southern Israel demonstrated that short-term exposure to elevated PM10 during dust storms was significantly associated with increased hospital admissions for COPD exacerbations (incidence rate ratio = 1.16; 95% CI: 1.08–1.24)[38]. While accumulating evidence highlights the escalating health impacts associated with PM exposure during SDS events, achieving precise quantification of exposure-response relationships remains methodologically challenging. In this study, PM exposure during SDS days significantly increased the risk of COPD hospitalization compared to non-SDS days, with the cumulative lag effect intensifying as the lag time increased. These findings are consistent with previous related studies[37,39,40].

      Our findings indicate that PM exposure during SDS events may have a more severe impact on COPD than during conventional PM pollution events. This is likely attributable to the unique characteristics of dust-storm particles, whose underlying mechanisms can be discussed at several levels. Particle size distribution is the primary factor that directly influences the respiratory deposition patterns[41,42]. During SDS weather, dust and particles inhaled by the body first enter the respiratory system. It is well-documented that larger particles are predominantly trapped in the nasal and pharyngeal regions and are efficiently cleared by the mucociliary system, whereas particles smaller than PM10 penetrate deeper into the fine bronchioles and alveoli[43]. Approximately 50% of PM2.5 is retained in the lung parenchyma, where it triggers apoptosis, autophagy, and oxidative stress, which can lead to airway damage[42,44,45]. The complex composition of the SDS particles provides a complementary mechanistic explanation supported by the established literature. Throughout long-range atmospheric transport, dust particles often adsorb a variety of chemical and biological substances, including sulfates, nitrates, polycyclic aromatic hydrocarbons, pollen, bacteria, and fungi[46-48]. Although our study did not assess changes at the cellular level, the results of previous experimental studies support our findings. In rat experiments, dust storm PM2.5 decreased superoxide dismutase activity and glutathione levels in lung tissues and increased thiobarbituric acid reactive substance levels, resulting in an imbalance between pro-oxidants and antioxidants, leading to oxidative damage[49]. In vitro studies have demonstrated that exposure of airway epithelial cells to sand and dust particles decreases cell viability and triggers a proinflammatory response[50]. Thus, it is plausible that the effect of SDS-PM exposure on COPD exacerbation is driven by a cascade of cellular processes, predominantly oxidative stress and the inflammatory response. Elucidating the specific contributions of these pathways warrants further mechanistic investigation.

      Our study revealed a more pronounced impact of PM exposure during SDS days on hospitalization for COPD in men than in women. This finding aligns with that of previous research[27], possibly due to the higher smoking prevalence in men and sex differences in airway deposition patterns[51]. Furthermore, men spend more time working outdoors and are more likely to be exposed to air pollution, placing them at greater risk. Notably, our results demonstrated that exposure to air pollution substantially elevated the risk of COPD hospitalization in individuals aged 60 years and older, consistent with previous research findings[52]. Evidence has shown that older individuals are more susceptible to air pollution owing to reduced immune function, a higher likelihood of comorbidity, and a longer duration of illness[53,54].

      The results demonstrate an elevated risk during cold seasons relative to warm periods, consistent with the findings of multiple studies[55]. Supplementary Figure S2 indicates that SDS weather in Gansu Province primarily occurred in winter and spring, leading to a significant increase in the health threat posed by COPD during the cold season. Numerous studies have confirmed that the impact of air pollution on hospitalization for COPD is greater during the cold season than during the warm season[5658]. Our previous findings also demonstrated that combined cold stress and PM2.5 exposure significantly amplified inflammatory responses and oxidative stress in COPD rats, mediated through Ang-II/NF-κB pathway activation and Nrf2 signaling suppression[59,60]. However, further studies are needed to confirm the seasonal association between SDS events and hospitalization for COPD.

      This study revealed the spatiotemporal heterogeneity of the risk and burden of PM-related COPD hospitalizations in the arid and semi-arid regions of China. In the northwestern and central parts of Gansu Province, the combination of dry climate, low precipitation, high wind speeds, and sparse vegetation has resulted in a particularly high frequency of SDS and subsequent COPD hospitalization. Dunhuang and Lanzhou are two of the cities most affected by air pollution in Northwest China, primarily because of spring dust storms that lead to exceedances in PM10 levels[25,61]. Moreover, the diverse atmospheric transport mechanisms of SDS result in significant spatial variations in both the chemical composition and particle size distribution of airborne dust. The regional heterogeneity in dust occurrence aligns with inherent climatological characteristics, where humid regions naturally experience fewer dust events. Such spatial variations reflect distinct patterns of dust storms across different climatic zones. Although the limited number of dust events in humid regions poses methodological challenges for risk assessment, these areas remain vulnerable to exposure to other forms of PM exposure[23]. The southern part of Gansu Province is predominantly mountainous and features plateaus, making it susceptible to localized pollutant accumulation because of weak winds and limited dispersion[62]. Simultaneously, biomass burning for heating worsens indoor air pollution and poses a significant threat to respiratory health. Differences in risk across various regions and cities in Gansu Province may be related to many unmeasured factors, including varying meteorological and medical conditions, socioeconomic status, industrial development, and living habits.

      The main strength of our study is the comprehensive and detailed statistics of all COPD hospitalizations over 5 years. The substantial sample size significantly enhanced the reliability and representativeness of our research findings. Second, we utilized a space-time-stratified case-crossover design to quantify the acute association between PM exposure on SDS days and COPD hospitalization at the provincial and regional levels, which strengthened the validity of the study’s conclusions. Third, this study evaluated the attribution burden of PM exposure in SDS weather conditions, offering policymakers key insights for resource allocation in pollution control and a scientific basis for policymaking. The vast territory and diverse, predominantly arid climate of Gansu provide unique research opportunities. This study fills a crucial gap by examining arid northern regions. Moreover, the climatic diversity within Gansu offers unique supplementary evidence.

      This study has several limitations. First, this study is ecological, and therefore, may be subject to ecological fallacies owing to the inherent limitations of the methodology. Second, we used city-level air pollution data, which may not accurately reflect individual exposure levels. Additionally, the lack of a precise definition of SDS events can lead to misclassification. Finally, despite conducting sensitivity analyses to ascertain the robustness of our findings and employing a case-crossover design to mitigate the impact of time-invariant confounders, it remains possible that certain time-varying factors such as influenza outbreaks and fluctuating pollen counts were not adequately addressed. Moreover, individual-level factors, such as comorbid conditions or treatment use, were not included, which could have influenced the observed associations.

      The results of this study have significant implications for managing dusty weather and its associated health risks in the Gansu Province. First, as climate change intensifies, SDS weather is expected to increase, highlighting the urgent need for effective early warning systems for SDS events and the establishment of appropriate air quality standards. Second, this study found that SDS events significantly increased the COPD hospitalization burden associated with PM exposure. This underscores the need for the healthcare sector to optimize the allocation of healthcare resources in response to SDS weather warnings, particularly for sensitive and high-risk populations. Finally, public health education on SDS events should be enhanced to raise awareness of the health threats posed by SDS weather and to promote protective measures such as wearing masks and minimizing outdoor activities.

    • This province-specific study, performed in the arid and semi-arid regions of China, provides additional evidence linking short-term PM exposure on SDS days with an elevated risk of COPD hospitalization. This association was particularly pronounced among men and individuals over 60 years of age, during the cold season, and in arid and semiarid regions. Our study highlights the significant health impacts of SDS events in the Gansu Province and emphasizes the need to develop policies aimed at environmental improvement, particularly in arid and semiarid regions. Urgent action is needed to mitigate the growing burden of SDS events and develop effective preventive strategies to reduce their harmful effects.

参考文献 (62)
补充材料:
25379+Supplementary Materials.docx

目录

    /

    返回文章
    返回