2025 Vol. 38, No. 11

Cover
2025-11 Cover
2025, 38(11)
Contents
2025-11 Contents
2025, 38(11): 1-2.
Editorial
Decoding the Environmental Etiology of Non-communicable Diseases
Yuebin Lyu
2025, 38(11): 1327-1328. doi: 10.3967/bes2025.171
Commentary
Bottlenecks and Innovative Breakthroughs in the Construction of China’s Environmental Health Risk Assessment Technological System
Xiaoyan Yang, Xu Han, Jiaxin Lyu, Qin Wang, Dongqun Xu
2025, 38(11): 1329-1350. doi: 10.3967/bes2025.135
Climate Change and Health Adaptation: Tailored Interventions are Needed
Peng Bi, Tiantian Li, Yonghong Li, Jie Ban, Xiaoyuan Yao, Xiaoming Shi
2025, 38(11): 1351-1353. doi: 10.3967/bes2025.114
Perspective
Progress on Wastewater-based Epidemiology in China: Implementation Challenges and Opportunities in Public Health
Qiuda Zheng, Xialu Lin, Yingsheng He, Zhe Wang, Peng Du, Xiqing Li, Yuan Ren, Degao Wang, Luhong Wen, Zeyang Zhao, Jianfa Gao, Phong K. Thai
2025, 38(11): 1354-1358. doi: 10.3967/bes2025.133
Wastewater-based epidemiology has emerged as a transformative surveillance tool for estimating substance consumption and monitoring disease prevalence, particularly during the COVID-19 pandemic. It enables the population-level monitoring of illicit drug use, pathogen prevalence, and environmental pollutant exposure. In this perspective, we summarize the key challenges specific to the Chinese context: (1) Sampling inconsistencies, necessitating standardized 24-hour composite protocols with high-frequency autosamplers (≤ 15 min/event) to improve the representativeness of samples; (2) Biomarker validation, requiring rigorous assessment of excretion profiles and in-sewer stability; (3) Analytical method disparities, demanding inter-laboratory proficiency testing and the development of automated pretreatment instruments; (4) Catchment population dynamics, reducing estimation uncertainties through mobile phone data, flow-based models, or hydrochemical parameters; and (5) Ethical and data management concerns, including privacy risks for small communities, mitigated through data de-identification and tiered reporting platforms. To address these challenges, we propose an integrated framework that features adaptive sampling networks, multi-scale wastewater sample banks, biomarker databases with multidimensional metadata, and intelligent data dashboards. In summary, wastewater-based epidemiology offers unparalleled scalability for equitable health surveillance and can improve the health of the entire population by providing timely and objective information to guide the development of targeted policies.
Original Article
Overweight Modified the Associations between Long-Term Exposure to Ambient Fine Particulate Matter and Its Constituent and the Risk of Type 2 Diabetes in Rural China
Donghui Yang, Yun Chen, Xia Meng, Xiaolian Dong, Haidong Kan, Chaowei Fu
2025, 38(11): 1359-1368. doi: 10.3967/bes2025.136
  Objective  To investigate the association between long-term exposure to ambient fine particulate matter (PM2.5) and its constituents and the risk of incident type 2 diabetes mellitus (T2DM), and to examine the modification roles of overweight status.  Methods  This prospective study included 27,507 adults living in rural China. The annual mean residential exposure to PM2.5 and its constituents was estimated using a satellite-based statistical model. Cox models were used to estimate the risk of T2DM associated with PM2.5 and its constituents. Stratified analysis quantified the role of overweight status in the association between PM2.5 constituents and T2DM.  Results  Over a median follow-up of 9.4 years, 3,001 new T2DM cases were identified. The hazard ratio (HR) for a 10 μg/m3 increase in ambient PM2.5 was 1.30 (95% confidence interval [CI]: 1.17, 1.45). Among the constituents, the strongest association was observed with black carbon. Being overweight significantly modified the association between certain constituents and the risk of T2DM. Participants who were overweight and exposed to the highest quartile of PM2.5 constituents had the highest risk of T2DM (HR: 2.46, 95% CI: 2.04, 2.97).  Conclusions  Our findings indicate that PM2.5 was associated with an increased risk of T2DM, with black carbon potentially being the primary contributor. Being overweight appeared to enhance the association between PM2.5 and T2DM. This suggests that controlling both PM2.5 exposure and overweight status may reduce the burden of T2DM.
Risk of Hospitalization for Genitourinary System Diseases Following Exposure to Cold Spells
Qinghua Sun, Chen Chen, Jie Ban, Hanshuo Zhang, Jingyi Sun, Hang Du, Tiantian Li
2025, 38(11): 1369-1377. doi: 10.3967/bes2025.127
  Objective  To assess relationships between cold spells and genitourinary hospitalization risk.  Methods  Hospitalization records for genitourinary system diseases (GUDs) from 16 districts in Beijing (2013–2018) were analyzed. Cold spells were defined based on varying intensity thresholds. A two-stage analytical method was employed: first, generalized linear models assessed district-specific associations between cold spells and hospitalizations; second, random-effects meta-analysis aggregated the district-level results. Subgroup analyses were performed by admission type (emergency vs. outpatient), age, and sex.  Results  A total of 271,579 GUD-related hospitalizations were recorded. Cold spells (p1day2, daily mean temperature below the 1st percentiles of the daily mean temperature distribution from January 1, 2013, to December 31, 2018, lasting for two or more consecutive days) were linked to a significant rise in hospitalization risks: 1.43 (95% CI: 1.32–1.56) for all GUDs, 1.35 (95% CI: 1.23–1.49) for urinary system diseases, and 1.46 (95% CI: 1.28–1.67) for renal failure, when compared to non-cold spell days. Emergency admissions showed higher risk increases than outpatient admissions.  Conclusion  Extreme cold spells significantly elevate hospitalization risks for GUDs. This highlights the urgent need for targeted public health interventions to mitigate cold-related health impacts, especially for vulnerable populations.
Short-Term Lag Effects of Climate-Pollution Interactions on Cardiopulmonary Hospitalizations: A Multi-City Predictive Study Using the AE+LSTM Hybrid Model in Japan
Yijia Chen, Fan Zhao, Qingyang Wu, Yukitaka Ohashi, Tomohiko Ihara
2025, 38(11): 1378-1387. doi: 10.3967/bes2025.137
  Objective  To assess the short-term lag effects of climate and air pollution on hospital admissions for cardiovascular and respiratory diseases, and to develop deep learning-based models for daily hospital admission prediction.  Methods  A multi-city study was conducted in Tokyo’s 23 wards, Osaka City, and Nagoya City. Random forest models were employed to assess the synergistic short-term lag effects (lag0, lag3, and lag7) of climate and air pollutants on hospitalization for five cardiovascular diseases (CVDs) and two respiratory diseases (RDs). Furthermore, we developed hybrid deep learning models that integrated an autoencoder (AE) with a Long Short-Term Memory network (AE+LSTM) to predict daily hospital admissions.  Results  On the day of exposure (lag0), air pollutants, particularly nitrogen oxides (NOx), exhibited the strongest influence on hospital admissions for CVD and RD, with pronounced effects observed for hypertension (I10–I15), ischemic heart disease (I20), arterial and capillary diseases (I70–I79), and lower respiratory infections (J20–J22 and J40–J47). At longer lags (lag3 and lag7), temperature and precipitation were more influential predictors. The AE+LSTM model outperformed the standard LSTM, improving the prediction accuracy by 32.4% for RD in Osaka and 20.94% for CVD in Nagoya.  Conclusion  Our findings reveal the dynamic, time-varying health risks associated with environmental exposure and demonstrate the utility of deep learnings in predicting short-term hospital admissions. This framework can inform early warning systems, enhance healthcare resource allocation, and support climate-adaptive public health strategies.
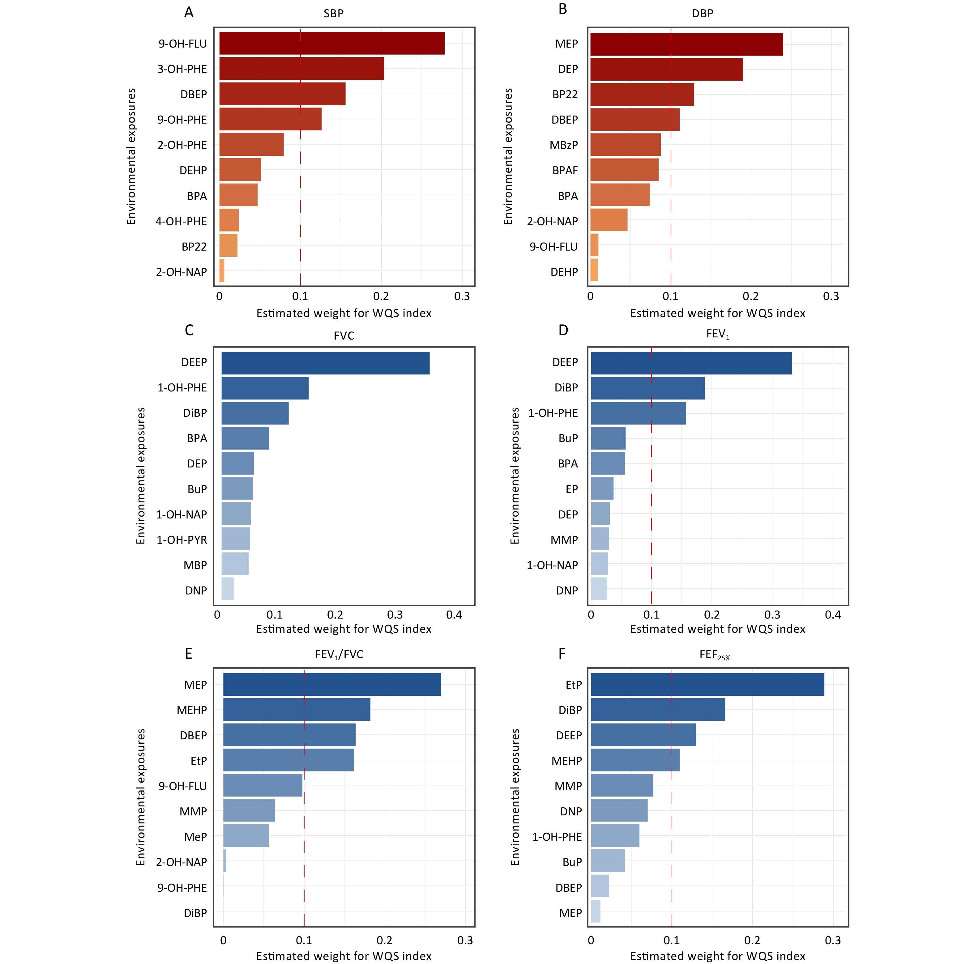
Associations of Exposure to Typical Environmental Organic Pollutants with Cardiopulmonary Health and the Mediating Role of Oxidative Stress: A Randomized Crossover Study
Ning Gao, Bin Wang, Ran Zhao, Han Zhang, Xiaoqian Jia, Tianxiang Wu, Mengyuan Ren, Lu Zhao, Jiazhang Shi, Jing Huang, Shaowei Wu, Guofeng Shen, Bo Pan, Mingliang Fang
2025, 38(11): 1388-1403. doi: 10.3967/bes2025.087
  Objective  The study aim was to investigate the effects of exposure to multiple environmental organic pollutants on cardiopulmonary health with a focus on the potential mediating role of oxidative stress.  Methods  A repeated-measures randomized crossover study involving healthy college students in Beijing was conducted. Biological samples, including morning urine and venous blood, were collected to measure concentrations of 29 typical organic pollutants, including hydroxy polycyclic aromatic hydrocarbons (OH-PAHs), bisphenol A and its substitutes, phthalates and their metabolites, parabens, and five biomarkers of oxidative stress. Health assessments included blood pressure measurements and lung function indicators.  Results  Urinary concentrations of 2-hydroxyphenanthrene (2-OH-PHE) (β = 4.35% [95% confidence interval (CI): 0.85%, 7.97%]), 3-hydroxyphenanthrene (β = 3.44% [95% CI: 0.19%, 6.79%]), and 4-hydroxyphenanthrene (4-OH-PHE) (β = 5.78% [95% CI: 1.27%, 10.5%]) were significantly and positively associated with systolic blood pressure. Exposures to 1-hydroxypyrene (1-OH-PYR) (β = 3.05% [95% CI: −4.66%, −1.41%]), 2-OH-PHE (β = 2.68% [95% CI: −4%, −1.34%]), and 4-OH-PHE (β = 3% [95% CI: −4.68%, −1.29%]) were negatively associated with the ratio of forced expiratory volume in the first second to forced vital capacity. These findings highlight the adverse effects of exposure to multiple pollutants on cardiopulmonary health. Biomarkers of oxidative stress, including 8-hydroxy-2'-deoxyguanosine and extracellular superoxide dismutase, mediated the effects of multiple OH-PAHs on blood pressure and lung function.  Conclusion  Exposure to multiple organic pollutants can adversely affect cardiopulmonary health. Oxidative stress is a key mediator of the effects of OH-PAHs on blood pressure and lung function.
Sandstorm-driven Particulate Matter Exposure and Elevated COPD Hospitalization Risk in Arid Regions of China: A Spatiotemporal Epidemiological Analysis
Hao Zhao, Ce Liu, Erkai Zhou, Baofeng Zhou, Sheng Li, Li He, Zhaoru Yang, Jiabei Jian, Huan Chen, Huanhuan Wei, Rongrong Cao, Bin Luo
2025, 38(11): 1404-1416. doi: 10.3967/bes2025.134
  Objective  Chronic obstructive pulmonary disease (COPD) is a major health concern in northwest China; however, the impact of particulate matter (PM) exposure during sand-dust storms (SDS) remains poorly understood. Therefore, this study aimed to investigate the association between PM exposure on SDS days and COPD hospitalization risk in arid regions.  Methods  Data on daily COPD hospitalizations were collected from 323 hospitals from 2018 to 2022, along with the corresponding air pollutant and meteorological data for each city in Gansu Province. Employing a space-time-stratified case-crossover design and conditional Poisson regression, we analyzed 265,379 COPD hospitalizations.  Results  PM exposure during SDS days significantly increased COPD hospitalization risk [relative risk (RR) for PM2.5, lag 3:1.028, 95% confidence interval (CI): 1.021–1.034], particularly among men and the elderly, and during the cold season. The burden of PM exposure on COPD hospitalization was substantially high in Northwest China, especially in the arid and semi-arid regions.  Conclusion  Our findings revealed a positive correlation between PM exposure during SDS episodes and elevated hospitalization rates for COPD in arid and semi-arid zones in China. This highlights the urgency of developing region-specific public health strategies to address adverse respiratory outcomes associated with SDS-related air quality deterioration.
Gender-Specific Prevalence and Risk Factors of Hypertension in a Chinese Rural Population: The Henan Rural Cohort Study
Fayaz Ahmad, Tahir Mehmood, Xiaotian Liu, Yinghao Yuchi, Ning Kang, Wei Liao, Ruiyu Wu, Bota Baheti, Xiaokang Dong, Jian Hou, Sohail Akhtar, Chongjian Wang
2025, 38(11): 1417-1429. doi: 10.3967/bes2025.102
  Objective  To investigate hypertension (HTN) trends, key risk factors, and gender disparities in rural China, and to propose targeted strategies for improving HTN control in resource-limited settings.  Methods  This longitudinal study used data from the Henan Rural Cohort Study, including baseline (2015–2017; n = 39,224) and follow-up (2018–2022; n = 28,621) participants. HTN was defined as systolic/diastolic blood pressure ≥ 140/90 mmHg, self-reported diagnosis, or use of antihypertensive medication. Severity was classified using a 7-tier blood pressure (BP) staging system (optimal, normal, high normal, and HTN stages 1–4). A generalized linear mixed-effects model (GLMM) identified associated risk factors.  Results  HTN prevalence increased modestly from 32.7% (95% CI: 32.2–33.2) to 33.9% (95% CI: 33.3%–34.4%). Awareness and treatment improved from 20.1% to 25.3%, and from 18.8% to 24.4%, respectively, but control rates remained low (6.2% to 12.3%). After adjustment, women had a 1.53-fold higher HTN risk than men (OR = 1.53, 95% CI: 1.43–1.63), revealing gender-specific trends. Key risk factors included alcohol use (OR = 1.37, 95% CI: 1.27–1.47) and overweight status (OR = 1.76, 95% CI: 1.66–1.86). BP staging showed an increase in optimal BP (42.3% to 45.8%), but stagnant management of advanced HTN stages.  Conclusion  Hypertension in rural China is shaped by behavioral risk factors and healthcare access gaps. Gender-sensitive, community-based interventions, including task-shifting models, are necessary to mitigate the growing burden of hypertension.
Review
Air Pollution and Cardiac Biomarkers in Heart Failure: A Scoping Review
Gang Li, Yanhui Jia, Yunshang Cui, Shaowei Wu, Tongyu Ma, Yunxing Jiang, Hongbing Xu, Yuhui Zhang, Mary A Fox
2025, 38(11): 1430-1443. doi: 10.3967/bes2025.120
Ambient air pollution is increasingly being recognized as a risk factor for heart failure; however, its effects on cardiac biomarkers remain unclear. This scoping review assessed the existing evidence on the association between air pollution and cardiac biomarkers in heart failure, described the key concepts, synthesized data, and identified research gaps. Following the PRISMA-ScR guidelines, PubMed, Embase, Web of Science, and CNKI databases were searched for studies on air pollution, heart failure, and biomarkers. A total of 765 records were screened, and 81 full texts were assessed for eligibility, resulting in 15 studies. The results showed that the exposure to particulate matter was associated with elevated N-terminal pro-B-type natriuretic peptide and troponin levels. Several studies have linked particulate matter exposure to a higher cardiovascular risk and heart failure biomarkers. Inflammatory and oxidative stress markers were consistently elevated across studies, supporting the biological relevance of these associations. However, few studies have focused specifically on populations with heart failure or clinically relevant biomarkers, and the evidence for gaseous pollutants remains inconclusive. These findings highlight the need to integrate environmental risk assessment into heart failure care and inform policy efforts to reduce the pollution-related cardiovascular burden. Further research should address these gaps through improved exposure assessments and the integration of mechanistic evidence.
Letter
Distribution, Health Risk and Hepatotoxic Implications of Cyclic Volatile Methylsiloxanes in Drinking Water in Shanghai, China
Chunlei Wang, Yongqing Diao, Chuyi Chen, Jielan Hu, Yuxin Li, Xi Yu, Xia Wang
2025, 38(11): 1444-1450. doi: 10.3967/bes2025.138
Ionizing Radiation Alters Circadian Gene Per1 Expression Profiles and Intracellular Distribution in HT22 and BV2 Cells
Zhiang Shao, Yuan Wang, Pei Qu, Zhouhang Zheng, Yixuan Li, Wei Wang, Qingfeng Wu, Dan Xu, Jufang Wang, Nan Ding
2025, 38(11): 1451-1457. doi: 10.3967/bes2025.139
Association between Neutrophil-to-lymphocyte Ratio and Renal Function: A Cross-sectional Study with Threshold Effects
Lin Hu, Mingcong Chen, Qiuwei Tian, Zisai Wang, Mingyi Zhao, Qingnan He
2025, 38(11): 1458-1462. doi: 10.3967/bes2025.140