2023 Vol. 36, No. 12

Cover
Cover
2023, 36(12)
Contents
Contents
2023, 36(12): 1-2.
Original Article
Association between Fruit and Vegetable Intake and Arterial Stiffness: The China-PAR Project
LIU Shuai, LIU Fang Chao, LI Jian Xin, HUANG Ke Yong, YANG Xue Li, CHEN Ji Chun, CAO Jie, CHEN Shu Feng, HUANG Jian Feng, SHEN Chong, LU Xiang Feng, GU Dong Feng
2023, 36(12): 1113-1122. doi: 10.3967/bes2023.143
  Objective  This study aimed to investigate the association between fruit and vegetable intake and arterial stiffness.  Methods  We conducted a cohort-based study comprising 6,628 participants with arterial stiffness information in the Prediction for Atherosclerotic Cardiovascular Disease Risk in China (China-PAR) project. A semi-quantitative food-frequency questionnaire was used to assess baseline (2007–2008) and recent (2018–2021) fruit and vegetable intake. We assessed changes in fruit and vegetable intake from 2007–2008 to 2018–2021 in 6,481 participants. Arterial stiffness was measured using the arterial velocity–pulse index (AVI) and arterial pressure-volume index (API). Elevated AVI and API values were defined according to diverse age reference ranges.  Results  Multivariable-adjusted linear regression models revealed that every 100 g/d increment in fruit and vegetable intake was associated with a 0.11 decrease in AVI (B = −0.11; 95% confidence interval [CI]: −0.20, −0.02) on average, rather than API (B = 0.02; 95% CI: −0.09, 0.13). The risk of elevated AVI (odds ratio [OR] = 0.82; 95% CI: 0.70, 0.97) is 18% lower in individuals with high intake (≥ 500 g/d) than in those with low intake (< 500 g/d). Furthermore, maintaining a high intake in the past median of 11.5 years of follow-up was associated with an even lower risk of elevated AVI compared with a low intake at both baseline and follow-up (OR = 0.64; 95% CI: 0.49, 0.83).  Conclusion  Fruit and vegetable intake was negatively associated with arterial stiffness, emphasizing recommendations for adherence to fruit and vegetable intake for the prevention of arterial stiffness.
An Artificial Neural Network Model Combined with Dietary Retinol Intake from Different Sources to Predict the Risk of Nonalcoholic Fatty Liver Disease
LIU Can, ZHOU Shi Hui, SU Hong, YANG Wen Qin, LU Jiao
2023, 36(12): 1123-1135. doi: 10.3967/bes2023.120
  Objective  This study aimed to develop an artificial neural network (ANN) model combined with dietary retinol intake from different sources to predict the risk of non-alcoholic fatty liver disease (NAFLD) in American adults.  Methods  Data from the 2007 to 2014 National Health and Nutrition Examination Survey (NHANES) 2007–2014 were analyzed. Eligible subjects (n = 6,613) were randomly divided into a training set (n1 = 4,609) and a validation set (n2 = 2,004) at a ratio of 7:3. The training set was used to identify predictors of NAFLD risk using logistic regression analysis. An ANN was established to predict the NAFLD risk using a training set. Receiver operating characteristic (ROC) curve analysis was performed to evaluate the accuracy of the model using the training and validation sets.  Results  Our study found that the odds ratios (ORs) and 95% confidence intervals (CIs) of NAFLD for the highest quartile of plant-derived dietary retinol intake (i.e., provitamin A carotenoids, such as β-carotene) (OR = 0.75, 95% CI: 0.57 to 0.99) were inversely associated with NAFLD risk, compared to the lowest quartile of intake, after adjusting for potential confounders. The areas under the ROC curves were 0.874 and 0.883 for the training and validation sets, respectively. NAFLD occurs when its incidence probability is greater than 0.388.  Conclusion  The ANN model combined with plant-derived dietary retinol intake showed a significant effect on NAFLD. This could be applied to predict NAFLD risk in the American adult population when government departments formulate future health plans.
Circulating Exosomal LncRNAs as Novel Diagnostic Predictors of Severity and Sites of White Matter Hyperintensities
XU Xiang, SUN Yu, ZHANG Shuai, XIAO Qi, ZHU Xiao Yan, MA Ai Jun, PAN Xu Dong
2023, 36(12): 1136-1151. doi: 10.3967/bes2023.149
  Objective  Exosomal long noncoding RNAs (lncRNAs) are the key to diagnosing and treating various diseases. This study aimed to investigate the diagnostic value of plasma exosomal lncRNAs in white matter hyperintensities (WMH).  Methods  We used high-throughput sequencing to determine the differential expression (DE) profiles of lncRNAs in plasma exosomes from WMH patients and controls. The sequencing results were verified in a validation cohort using qRT-PCR. The diagnostic potential of candidate exosomal lncRNAs was proven by binary logistic analysis and receiver operating characteristic (ROC) curves. The diagnostic value of DE exo-lncRNAs was determined by the area under the curve (AUC). The WMH group was then divided into subgroups according to the Fazekas scale and white matter lesion site, and the correlation of DE exo-lncRNAs in the subgroup was evaluated.  Results  In our results, four DE exo-lncRNAs were identified, and ROC curve analysis revealed that exo-lnc_011797 and exo-lnc_004326 exhibited diagnostic efficacy for WMH. Furthermore, WMH subgroup analysis showed exo-lnc_011797 expression was significantly increased in Fazekas 3 patients and was significantly elevated in patients with paraventricular matter hyperintensities.  Conclusion  Plasma exosomal lncRNAs have potential diagnostic value in WMH. Moreover, exo-lnc_011797 is considered to be a predictor of the severity and location of WMH.
Influence of the Pre-shock State on the Prognosis of Medical Patients with Sepsis: A Retrospective Cohort Study
ZHANG Lei, GAI Xiao Yan, LI Xin, LIANG Ying, WANG Meng, ZHAO Fei Fan, ZHOU Qing Tao, SUN Yong Chang
2023, 36(12): 1152-1161. doi: 10.3967/bes2023.150
  Objective  To investigate the effects of the pre-shock state on the mortality of patients with sepsis.  Methods  We enrolled patients with sepsis admitted to the medical intensive care unit of a tertiary care university hospital. These patients were then classified into three groups: sepsis, pre-shock state, and septic shock. The primary outcome was the 28-day mortality rate. The secondary outcomes were the 90-day, 180-day, and 1-year mortality rates.  Results  A total of 303 patients (groups: sepsis 135 [44.6%]), pre-shock state (93 [30.7%]), and septic shock (75 [24.8%]) completed the 1-year follow-up. The mortality rates at 28 days, 90 days, and 180 days and 1 year were significantly higher in the pre-shock state group than those of the sepsis group, but significantly lower than those in the septic shock group, especially among older patients. When compared with the pre-shock state group, the sepsis group had significantly lower mortality risks at 28 days, 90 days, and 180 days and 1 year, whereas the sepsis shock group had higher mortality risks at these time points.  Conclusion  The mortality rates of patients in the pre-shock state were notably different from those of patients with sepsis or septic shock. The introduction of a modified sepsis severity classification, which includes sepsis, pre-shock state, and septic shock, could offer valuable additional prognostic information.
Letter to the Editor
Moving Epidemic Method for Surveillance and Early Warning of Hand, Foot, and Mouth Disease in Beijing, China
DONG Shuai Bing, WANG Yu, HUO Da, ZHAO Hao, LIU Bai Wei, LI Ren Qing, GAO Zhi Yong, WANG Xiao Li, ZHANG Dai Tao, WANG Quan Yi, JIA Lei, YANG Peng
2023, 36(12): 1162-1166. doi: 10.3967/bes2023.151
The Pathogenic Characteristics of the Initial Three Mpox Cases in Hunan Province, China
LIU Rong Jiao, XIANG Xing Yu, HE Zi Xiang, SUN Qian Lai, LIU Fu Qiang, ZHOU Shuai Feng, HUANG Yi Wei, LI Fang Cai, HUANG Chao Yang, WANG Juan, HE Fang Ling, OU Xin Hua, LI Shi Kang, LU Yu Ying, ZHANG Fan, CAI Liang, MA Hai Ling, ZHAN Zhi Fei
2023, 36(12): 1167-1170. doi: 10.3967/bes2023.152
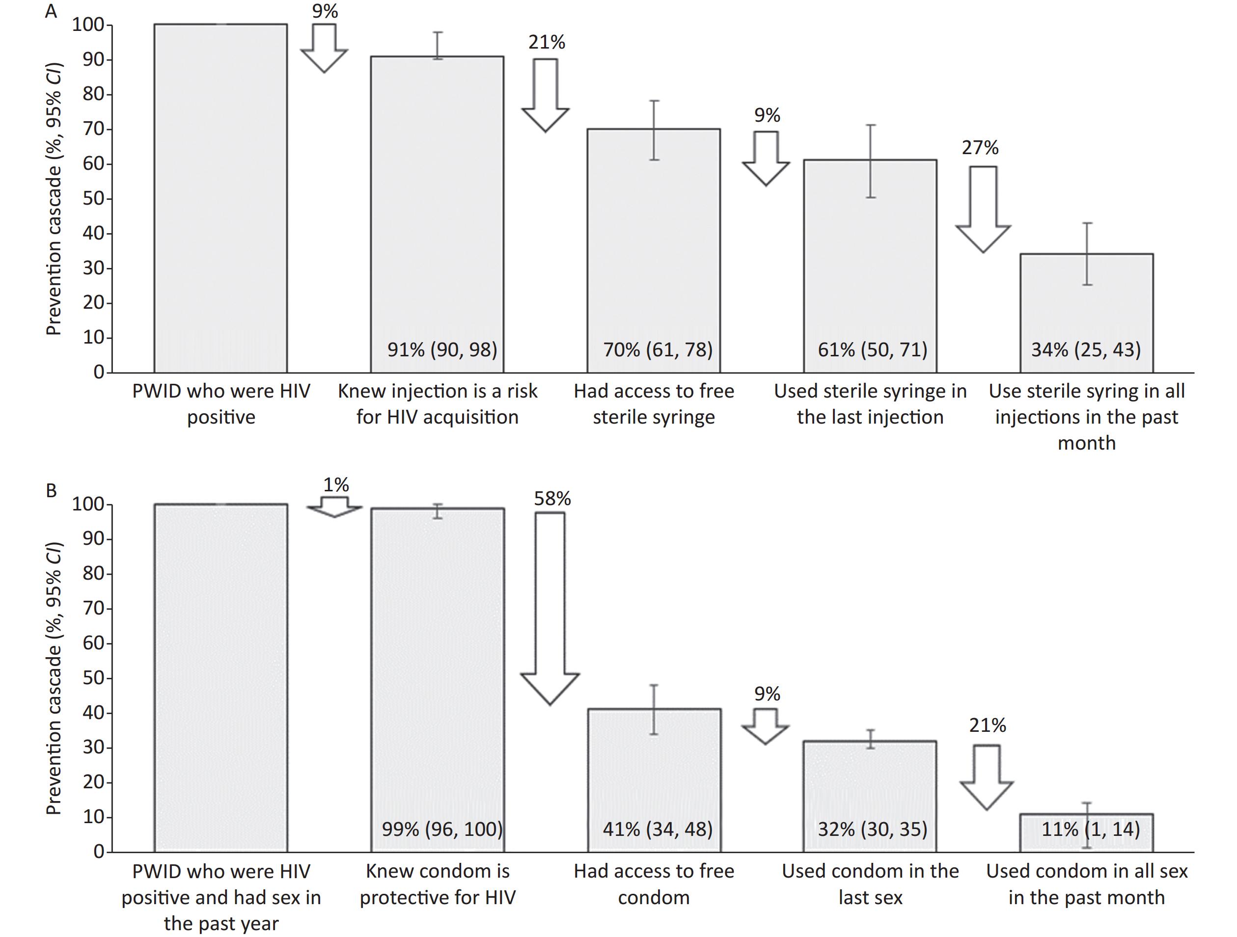
A Cascade Analysis of Community Transmission Risks for HIV among People Who Inject Drugs Living with HIV in Iran
Monireh Faghir-Ganji, Mostafa Shokoohi, Saharnaz Nedjat, Afarin Rahimi-Movaghar, Kamran Yazdani, James G. Khan, Ali Mirzazadeh
2023, 36(12): 1171-1176. doi: 10.3967/bes2023.153
Barriers to Physical Activity among Children and Adolescents with Intellectual Disabilities: A Cross-sectional Study
WANG Yu, JIN Qiu Meng, WANG Chao, HE Gang, LI Dong Sheng, MA Kai Yue
2023, 36(12): 1177-1182. doi: 10.3967/bes2023.154
Adipocytokine Gene SNPs and Type 2 Diabetes in Mongolians: A Gene-Gene and Gene-Environment Interaction Study
LI Na, ZHANG Li Hong, GAO Yu Min, LI Hai Ling, LI Wu Yun Ta Na, PANG Hui, ZHAO Yan Ping, ZHENG Hai Fang, DONG Jia Hui, ZHAO Ling Yan
2023, 36(12): 1183-1188. doi: 10.3967/bes2023.155
Radiation Exposure for Patients and Staff during Different Interventional Procedures Using Anthropomorphic Phantoms: A Complete Evaluation of Different Body Regions
ZHAO Zhi Xin, QIAN Pei Yi, WANG Hai Hua, QIAN Qian, YANG Yong, JING Li Yan, YANG Lu Ting, YANG Lei, WANG Qiang
2023, 36(12): 1189-1193. doi: 10.3967/bes2023.156
Health Popularization
World AIDS Day: Mobilizing Social Forces to Fight AIDS Together
CUI Yun Shang
2023, 36(12): 1194-1195. doi: 10.3967/bes2023.157
World Flu Day: Protecting Health, Keeping away from Flu Troubles
CUI Yun Shang
2023, 36(12): 1196-1196. doi: 10.3967/bes2023.158