2024 Vol. 37, No. 9

Cover
2024-9 Cover
2024, 37(9)
2024-9 Contents
2024, 37(9): 1-2.
Special Report
Report on Cardiovascular Health and Diseases in China 2023: An Updated Summary
National Center for Cardiovascular Diseases The Writing Committee of the Report on Cardiovascular Health and Diseases in China
2024, 37(9): 949-992. doi: 10.3967/bes2024.162
Since 1990, China has made considerable progress in resolving the problem of “treatment difficulty” of cardiovascular diseases (CVD). The prevalent unhealthy lifestyle among Chinese residents has exposed a massive proportion of the population to CVD risk factors, and this situation is further worsened due to the accelerated aging population in China. CVD remains one of the greatest threats to the health of Chinese residents. In terms of the proportions of disease mortality among urban and rural residents in China, CVD has persistently ranked first. In 2021, CVD accounted for 48.98% and 47.35% of deaths in rural and urban areas, respectively. Two out of every five deaths can be attributed to CVD. To implement a national policy “focusing on the primary health institute and emphasizing prevention” and truly achieve a shift of CVD prevention and treatment from hospitals to communities, the National Center for Cardiovascular Diseases has organized experts from relevant fields across China to compile the “Report on Cardiovascular Health and Diseases in China” annually since 2005. The 2024 report is established based on representative, published, and high-quality big-data research results from cross-sectional and cohort population epidemiological surveys, randomized controlled clinical trials, large sample registry studies, and typical community prevention and treatment cases, along with data from some projects undertaken by the National Center for Cardiovascular Diseases. These firsthand data not only enrich the content of the current report but also provide a more timely and comprehensive reflection of the status of CVD prevention and treatment in China.
Original Article
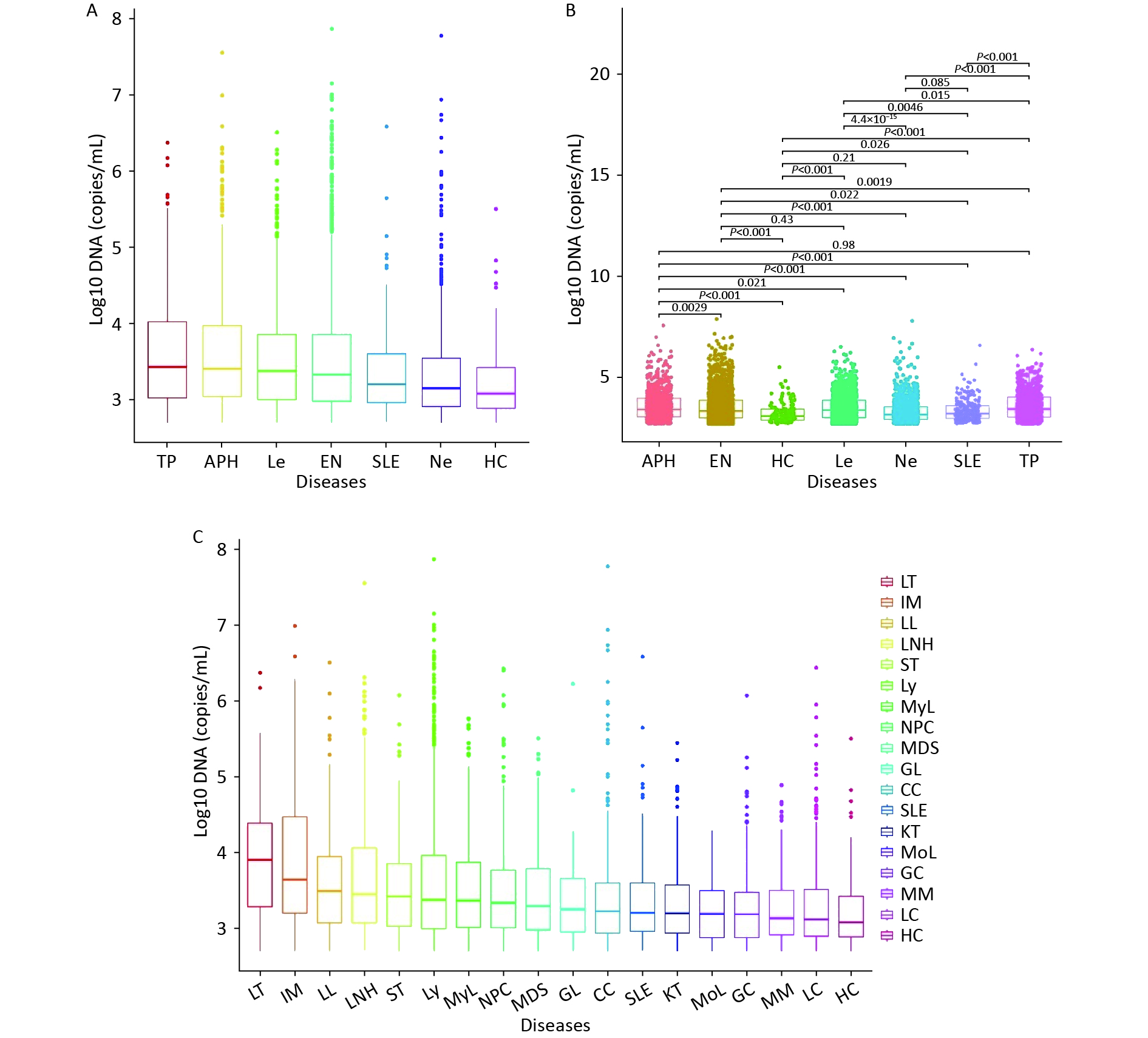
Disparities in the Levels of Whole-Blood Epstein-Barr Virus between the Cancer and Non-Cancer Populations in Zhejiang, China
Qingjun Jia, Meichun Zeng, Qi Chen
2024, 37(9): 993-1002. doi: 10.3967/bes2024.101
  Objective  This study aimed to investigate the prevalence of Epstein-Barr virus (EBV) infection in patients with and without cancer.  Methods  A total of 26,648 participants who underwent whole-blood EBV DNA (WBEBV) assays between January 1, 2020, and August 31, 2023, were included. The chi-square test was used for categorical data analysis, and R software was used to analyze the differences in EBV DNA load levels and the diagnostic capabilities of WBEBV.  Results  Positive rates were 10.2% and 25.4% for healthy controls (HC) and patients, respectively. The positivity rate for EBV-associated neoplasms (EN) was the highest at 7.53%, followed by leukemia (Le) at 5.49%. The subgroup analysis showed that the positivity rate for abnormal proliferation or hyperplasia (APH) was 31.9%, followed by 30.5% for Le. The WBEBV of patients with transplants (TP), especially living-related transplants (LT), was the highest among all subgroups. WBEBV at diagnosis was used to differentiate between infectious mononucleosis (IM) and chronic active Epstein-Barr virus (CAEBV), with a sensitivity of 67.4% (95% confidence interval [CI]: 57.6–75.8) and specificity of 72% (95% CI: 63.3–79.3). We conclude that the prevalence of EBV infection is low in the healthy population in this region and that a high EBV load at baseline is more common in LT, IM, and Lymphocyte Leukemia (LL).  Conclusion  This study used a large-sample survey to characterize the prevalence of whole-blood EBV levels in various diseases, including the stages and subtypes. The EBV detection rate was higher in patients with malignant disease than in those with benign disease. Our study provides clinicians with baseline information regarding EBV-associated diseases.
Projecting the Dynamic Trends of Human Immunodeficiency Virus/Acquired Immunodeficiency Syndrome: Modeling the Epidemic in Sichuan Province, China
Yuan Li, Qinxi Liu, Rongsheng Luan, Yi Yang, Tao Wu, Bihui Yang
2024, 37(9): 1003-1014. doi: 10.3967/bes2024.080
  Objective  Our study aimed to provide a comprehensive overview of the current status and dynamic trends of the human immunodeficiency virus (HIV) prevalence in Sichuan, the second most heavily affected province in China, and to explore future interventions.  Methods  The epidemiological, behavioral, and population census data from multiple sources were analyzed to extract inputs for an acquired immunodeficiency syndrome (AIDS) epidemic model (AEM). Baseline curves, derived from historical trends in HIV prevalence, were used, and the AEM was employed to examine future intervention scenarios.  Results  In 2015, the modeled data suggested an adult HIV prevalence of 0.191% in Sichuan, with an estimated 128,766 people living with HIV/AIDS and 16,983 individuals with newly diagnosed infections. Considering current high-risk behaviors, the model predicts an increase in the adult prevalence to 0.306% by 2025, projecting an estimated 212,168 people living with HIV/AIDS and 16,555 individuals with newly diagnosed infections.  Conclusion  Heterosexual transmission will likely emerge as the primary mode of AIDS transmission in Sichuan. Furthermore, we anticipate a stabilization in the incidence of AIDS with a concurrent increase in prevalence. Implementing comprehensive intervention measures aimed at high-risk groups could effectively alleviate the spread of AIDS in Sichuan.
Epidemic Characteristics and Spatio-Temporal Patterns of HFRS in Qingdao City, China, 2010–2022
Ying Li, Runze Lu, Liyan Dong, Litao Sun, Zongyi Zhang, Yating Zhao, Qing Duan, Lijie Zhang, Fachun Jiang, Jing Jia, Huilai Ma
2024, 37(9): 1015-1029. doi: 10.3967/bes2024.092
  Objective  This study investigated the epidemic characteristics and spatio-temporal dynamics of hemorrhagic fever with renal syndrome (HFRS) in Qingdao City, China.  Methods  Information was collected on HFRS cases in Qingdao City from 2010 to 2022. Descriptive epidemiologic, seasonal decomposition, spatial autocorrelation, and spatio-temporal cluster analyses were performed.  Results  A total of 2,220 patients with HFRS were reported over the study period, with an average annual incidence of 1.89/100,000 and a case fatality rate of 2.52%. The male:female ratio was 2.8:1. 75.3% of patients were aged between 16 and 60 years old, 75.3% of patients were farmers, and 11.6% had both “three red” and “three pain” symptoms. The HFRS epidemic showed two-peak seasonality: the primary fall-winter peak and the minor spring peak. The HFRS epidemic presented highly spatially heterogeneous, street/township-level hot spots that were mostly distributed in Huangdao, Pingdu, and Jiaozhou. The spatio-temporal cluster analysis revealed three cluster areas in Qingdao City that were located in the south of Huangdao District during the fall-winter peak.  Conclusion  The distribution of HFRS in Qingdao exhibited periodic, seasonal, and regional characteristics, with high spatial clustering heterogeneity. The typical symptoms of “three red” and “three pain” in patients with HFRS were not obvious.
MicroRNA-451 from Human Umbilical Cord-Derived Mesenchymal Stem Cell Exosomes Inhibits Alveolar Macrophage Autophagy via Tuberous Sclerosis Complex 1/Mammalian Target of Rapamycin Pathway to Attenuate Burn-Induced Acute Lung Injury in Rats
Zhigang Jia, Lin Li, Peng Zhao, Guo Fei, Shuangru Li, Qinqin Song, Guangpeng Liu, Jisong Liu
2024, 37(9): 1030-1043. doi: 10.3967/bes2024.128
  Objective  Our previous studies established that microRNA (miR)-451 from human umbilical cord mesenchymal stem cell-derived exosomes (hUC-MSC-Exos) alleviates acute lung injury (ALI). This study aims to elucidate the mechanisms by which miR-451 in hUC-MSC-Exos reduces ALI by modulating macrophage autophagy.  Methods  Exosomes were isolated from hUC-MSCs. Severe burn-induced ALI rat models were treated with hUC-MSC-Exos carrying the miR-451 inhibitor. Hematoxylin-eosin staining evaluated inflammatory injury. Enzyme-linked immunosorbnent assay measured lipopolysaccharide (LPS), tumor necrosis factor-α, and interleukin-1β levels. qRT-PCR detected miR-451 and tuberous sclerosis complex 1 (TSC1) expressions. The regulatory role of miR-451 on TSC1 was determined using a dual-luciferase reporter system. Western blotting determined TSC1 and proteins related to the mammalian target of rapamycin (mTOR) pathway and autophagy. Immunofluorescence analysis was conducted to examine exosomes phagocytosis in alveolar macrophages and autophagy level.  Results  hUC-MSC-Exos with miR-451 inhibitor reduced burn-induced ALI and promoted macrophage autophagy. MiR-451 could be transferred from hUC-MSCs to alveolar macrophages via exosomes and directly targeted TSC1. Inhibiting miR-451 in hUC-MSC-Exos elevated TSC1 expression and inactivated the mTOR pathway in alveolar macrophages. Silencing TSC1 activated mTOR signaling and inhibited autophagy, while TSC1 knockdown reversed the autophagy from the miR-451 inhibitor-induced.  Conclusion  miR-451 from hUC-MSC exosomes improves ALI by suppressing alveolar macrophage autophagy through modulation of the TSC1/mTOR pathway, providing a potential therapeutic strategy for ALI.
DNA Methylation of KLRC1 and KLRC3 in Autoimmune Thyroiditis: Perspective of Different Water Iodine Exposure
Yao Chen, Jinjin Liu, Mengying Qu, Bingxuan Ren, Huaiyong Wu, Li Zhang, Zheng Zhou, Lixiang Liu, Hongmei Shen
2024, 37(9): 1044-1055. doi: 10.3967/bes2024.103
  Objective   This study aimed to identify differentially methylated genes (DMGs) associated with natural killer cells in patients with autoimmune thyroiditis (AIT), focusing on the influence of varying water iodine exposure levels.  Methods   Participants were divided into categories based on median water iodine (MWI) concentrations: iodine-fortified areas (IFA, MWI < 10 µg/L), iodine-adequate areas (IAA, 40 ≤ MWI ≤ 100 µg/L), and iodine-excessive areas (IEA, MWI > 300 µg/L). A total of 176 matched AIT cases and controls were recruited and divided into 89, 40, and 47 pairs for IFA, IAA, and IEA, respectively. DMGs were identified using 850K BeadChip analysis for 10/10 paired samples. Validation of DNA methylation and mRNA expression levels of the DMGs was conducted using MethylTarget™ and QRT-PCR for 176/176 paired samples.  Results   KLRC1, KLRC3, and SH2D1B were identified as significant DMGs. Validation revealed that KLRC1 was hypomethylated and highly expressed, whereas KLRC3 was hypermethylated and highly expressed in individuals with AIT. Furthermore, KLRC1 was hypomethylated and highly expressed in both IFA and IEA.  Conclusion   The DNA methylation status of KLRC1 and KLRC3 may play crucial roles in AIT pathogenesis. Additionally, DNA methylation of KLRC1 seems to be influenced by different iodine concentrations in water.
Summary Analysis of National Surveillance on Kashin-Beck Disease from 1990 to 2023
Silu Cui, Hui Liu, Junrui Pei, Jiaxin Li, Zhe Jiao, Qing Deng, Ning Liu, Yanhong Cao, Jun Yu
2024, 37(9): 1056-1066. doi: 10.3967/bes2024.109
  Objective  To analyze the epidemiological characteristics and epidemic situation of children with Kashin-Beck disease (KBD) in China, and provide the basis for formulating prevention and control measures.  Methods  Fixed-point monitoring, moving-point monitoring, and full coverage of monitoring were promoted successively from 1990 to 2023. Some children (7–12 years old) underwent clinical and right-hand X-ray examinations every year. According to the KBD diagnosis criteria, clinical and X-ray assessments were used to confirm the diagnosis.  Results  In 1990, the national KBD detectable rate was 21.01%. X-ray detection decreased to below 10% in 2003 and below 5% in 2007. Between 2010 and 2018, the prevalence of KBD in children was less than 0.4%, which fluctuated at a low level, and has decreased to 0% since 2019. Spatial epidemiological analysis indicated a spatial clustering of adult patients prevalence rate in the KBD areas.  Conclusion  The evaluation results of the elimination of KBD in China over the last 5 years showed that all villages in the monitored areas have reached the elimination standard. While the adult KBD patients still need for policy consideration and care.
Protocol
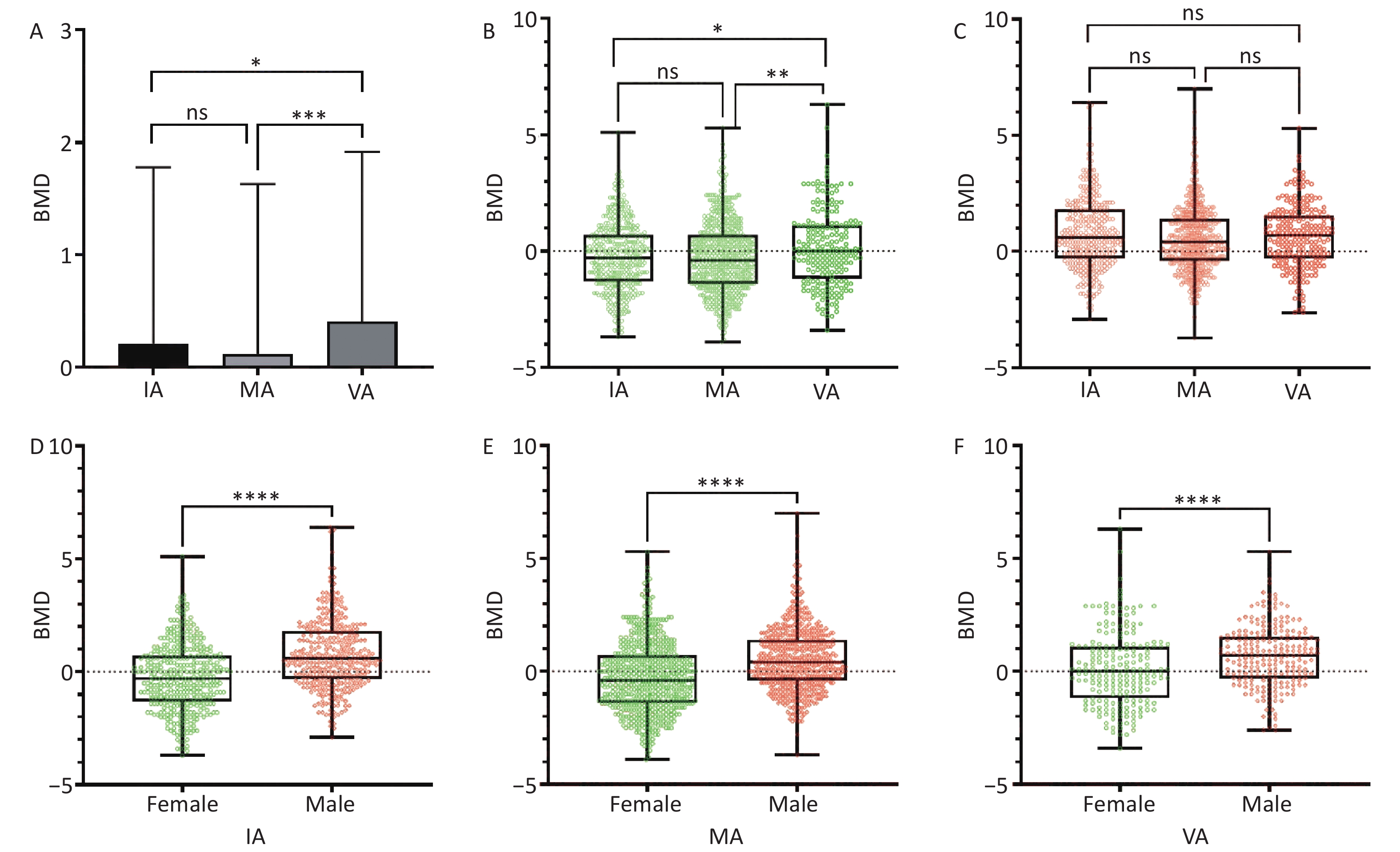
Prospective Cohort Investigation on Physical Activity of Osteoporosis Outcomes (PAOPO) in Jidong: Objectives, Study Design, and Baseline Characteristics
Jingzhi Yang, Hao Shen, Sicheng Wang, Long Bai, Zhen Geng, Yingying Jing, Ke Xu, Yuhe Liu, Wenqian Wu, Hao Zhang, Yuanwei Zhang, Zuhao Li, Chuandong Wang, Guangchao Wang, Xiao Chen, Jiacan Su
2024, 37(9): 1067-1079. doi: 10.3967/bes2024.117
  Objective  The aim of this study was to investigate the prospective association between physical activity (PA), independently or in conjunction with other contributing factors, and osteoporosis (OP) outcomes.  Methods  The Physical Activity in Osteoporosis Outcomes (PAOPO) study was a community-based cohort investigation. A structured questionnaire was used to gather the participants’ sociodemographic characteristics. Bone mineral density (BMD) measurements were performed to assess OP outcomes, and the relationship between BMD and OP was evaluated within this cohort.  Results  From 2013 to 2014, 8,471 participants aged 18 years and older were recruited from Tangshan, China’s Jidong community. Based on their PA level, participants were categorized as inactive, moderately active, or very active. Men showed higher physical exercise levels than women across the activity groups. BMD was significantly higher in the very active group than in the moderately active and inactive groups. Individuals aged > 50 years are at a higher risk of developing OP and osteopenia.  Conclusion  The PAOPO study offers promising insights into the relationship between PA and OP outcomes, encouraging the implementation of PA in preventing and managing OP.
Letter to the Editor
Influence of Temperature and Humidity on the Incidence of Pulmonary Tuberculosis in Hainan, China, 2004–2018
Weixia Li, Xiaodan Wang, Bo Bi, Jingjing Lu, Zhengyuan Li, Li Cao, Hao Zhang
2024, 37(9): 1080-1085. doi: 10.3967/bes2024.144
What Mice Can Teach Us about How to Stop Drug-Resistant Tuberculosis: Correct Chemotherapy Regimen and Patient Compliance are the Key
Igor Mokrousov, Tatiana Vinogradova, Marine Dogonadze, Maria Vitovskaya, Natalia Zabolotnykh, Sergei Chekrygin, Anna Vyazovaya
2024, 37(9): 1086-1090. doi: 10.3967/bes2024.084
Estimation of Incidence of Herpes Zoster in Three Cities of China, 2019–2020
Qian Zhang, Wei Qin, Zhenshui Huang, Lilin Liang, Qianqian Hu, Yao Wang, Fan Pan, Feng Cui, Xinli Liu, Lin Tang, Xiaoqi Wang, Chao Ma, Fuzhen Wang, Zundong Yin
2024, 37(9): 1091-1094. doi: 10.3967/bes2024.115
Effective Nucleic Acid Contamination Disinfection in Laboratory Settings using Ozone Gas
Yingyi Long, Linlin Liang, Xingyan Zhou, Fei Ren, Lu Wang, Peng Zhang, Jing Wang
2024, 37(9): 1095-1100. doi: 10.3967/bes2024.086
Quantifying the Temperature Effects on the Morbidity of Digestive Diseases In an Inland Plateau-Valley City
Pan Ma, Yang Yang, Ning Zhou, Xinzi Wang, Yulu Wang, Wenjuan Feng, Zhaoqin Bai, Shigong Wang
2024, 37(9): 1101-1105. doi: 10.3967/bes2024.140