Volume 39 Issue 1
Jan.  2026
Turn off MathJax
Article Contents

Tingting Gao, Wei Cao, Titi Yang, Peipei Xu, Juan Xu, Qian Gan, Hongliang Wang, Hui Pan, Yingying Zhao, Kai You, Qingbin Xing, Wenhua Zhao, Zhenyu Yang, Qian Zhang. Relationship between Coarse Cereals Consumption and Body Fat Percentage among Chinese School-aged Children[J]. Biomedical and Environmental Sciences, 2026, 39(1): 73-81. doi: 10.3967/bes2025.086
Citation: Tingting Gao, Wei Cao, Titi Yang, Peipei Xu, Juan Xu, Qian Gan, Hongliang Wang, Hui Pan, Yingying Zhao, Kai You, Qingbin Xing, Wenhua Zhao, Zhenyu Yang, Qian Zhang. Relationship between Coarse Cereals Consumption and Body Fat Percentage among Chinese School-aged Children[J]. Biomedical and Environmental Sciences, 2026, 39(1): 73-81. doi: 10.3967/bes2025.086

Relationship between Coarse Cereals Consumption and Body Fat Percentage among Chinese School-aged Children

doi: 10.3967/bes2025.086
More Information
  • Author Bio:

    Tingting Gao, Master of Medicine, majoring in nutrition and food hygiene, E-mail gtt0203@126.com

  • Corresponding author: Qian Zhang, Research Professor, Tel: 86-10-66237133, E-mail: zhangqian7208@163.com
  • Received Date: 2025-03-04
  • Accepted Date: 2025-06-09
  •   Objective  The rising prevalence of childhood obesity is closely associated with suboptimal dietary patterns. To address this public health concern, we conducted a comprehensive study to examine the association between coarse cereals consumption and body fat percentage (BFP) in Chinese children and adolescents.  Methods  The study included 48,305 children aged 6–17 years from 28 districts/counties in 14 provinces across seven regions of China (24,152 girls and 24,153 boys). BFP was examined using bioelectrical impedance analysis in the early morning. Coarse cereals consumption was assessed using a Food Frequency Questionnaire and categorized into three groups: 0 g/1,000 kcal per day, 0–10 g/1,000 kcal per day, and > 10 g/1,000 kcal per day (daily consumption of coarse cereals × 1,000/total energy consumption). Quantile regression model was used to analyze the association between coarse cereals and BFP, adjusting for potential confounders such as age, pubertal development stage, urban/rural and regional factors, total daily dietary energy consumption, sedentary time, moderate-to-high physical activity, household income, parental education, and consumption of other foods.  Results  Boys aged 6–10, 11–14, and 15–17 years had median daily coarse cereals consumptions of 6.6 g, 7.1 g, and 5.7 g, with BFP of 19.6%, 19.5%, and 17.5% (all P < 0.05). Girls in the same age groups showed consumption of 7.1 g, 8.4 g, and 6.7 g, with BFP of 20.3%, 26.4%, and 31.0% (all P < 0.05). The quantile regression results for boys showed that daily consumption of coarse cereals was significantly correlated with their BFP in the 0.15, 0.25, and 0.50 quartiles, with regression coefficients of −0.257, −0.221, and −0.330, respectively, after adjusting for potential confounders (P < 0.05). For girls, there was a significant correlation with PBF at the 0.05, 0.15, 0.25, 0.50, 0.75, and 0.85 quartiles, with regression coefficients of −0.258, −0.366, −0.372, −0.431, −0.472, and −0.503 (P < 0.05 for all).  Conclusions  Coarse cereals consumption among Chinese children and adolescents remains relatively low. Higher consumption was inversely associated with BFP in children aged 6–17 years. Future interventional studies should assess how increased coarse cereals consumption prevents childhood obesity.
  • 加载中
  • [1] World Health Organization Facts and Figures on Childhood Obesity. 2022. [2024-4-20]. https://www.who.int/news-room/fact-sheets/detail/obesity-and-overweight.
    [2] Fang HY, Zhai Y, Zhao LY, et al. Epidemiological characteristics of overweight and obesity in Chinese children and adolescents aged 6-17 years. Chinese Journal of Epidemiology, 2018; 39, 724−27.
    [3] The State Council Information Office of the People’s Republic of China. The Report on Chinese Resident’s Chronic Diseases and Nutrition. 2020. Beijing, China: 2021. [2024-6-20]. https://www.gov.cn/xinwen/2020-12/24/content_5572983.htm
    [4] Miao Q, Sun WW, Zhang QY, et al. Body fat percentage in adolescents is a better predictor of exercise effect on adiposity changes: a 4-year follow-up study. Ann Palliat Med, 2021; 10, 9415−26.
    [5] Twig G, Yaniv G, Levine H, et al. Body-mass index in 2.3 million adolescents and cardiovascular death in adulthood. N Engl J Med, 2016; 374, 2430−40.
    [6] Wosje KS, Khoury PR, Claytor RP, et al. Dietary patterns associated with fat and bone mass in young children. Am J Clin Nutr, 2010; 92, 294−303.
    [7] Sun WJ, Wang JZ, Ma GS. Cross-sectional survey of children body fat and influence analysis in Beijing and Guangzhou. J Hyg Res 2008; 37, 71-4. (In Chinese)
    [8] Sea MMM, Woo J, Tong PCY, et al. Associations between food variety and body fatness in Hong Kong Chinese Adults. J Am Coll Nutr, 2004; 23, 404−13.
    [9] Fardet A. New hypotheses for the health-protective mechanisms of whole-grain cereals: what is beyond fibre? Nutr Res Rev, 2010; 23, 65-134.
    [10] Pol K, Christensen R, Bartels EM, et al. Whole grain and body weight changes in apparently healthy adults: a systematic review and meta-analysis of randomized controlled studies. Am J Clin Nutr, 2013; 98, 872−84.
    [11] Katcher HI, Legro RS, Kunselman AR, et al. The effects of a whole grain-enriched hypocaloric diet on cardiovascular disease risk factors in men and women with metabolic syndrome. Am J Clin Nutr, 2008; 87, 79−90.
    [12] Kristensen M, Toubro S, Jensen MG, et al. Whole grain compared with refined wheat decreases the percentage of body fat following a 12-week, energy-restricted dietary intervention in postmenopausal women. J Nutr, 2012; 142, 710−6.
    [13] Suhr J, Vuholm S, Iversen KN, et al. Wholegrain rye, but not wholegrain wheat, lowers body weight and fat mass compared with refined wheat: a 6-week randomized study. Eur J Clin Nutr, 2017; 71, 959−67.
    [14] Bellisle F, Hébel P, Colin J, et al. Consumption of whole grains in French children, adolescents and adults. Br J Nutr, 2014; 112, 1674−84.
    [15] Su XQ, Patel N, Zhu SL, et al. Association between serum vitamin A and body mass index in adolescents from NHANES 1999 to 2006. Sci Rep, 2024; 14, 10859.
    [16] Wang, C, T Wang, Kiryluk K, et al. (2024). Genome-wide discovery for biomarkers using quantile regression at biobank scale. Nat Commun. 2024 Jul 31;15: 6460.
    [17] Staffa SJ, Kohane DS, Zurakowski D. Quantile regression and its applications: a primer for anesthesiologists. Anesth Analg, 2019; 128, 820−30.
    [18] Petscher Y, Logan JAR. Quantile regression in the study of developmental sciences. Child Dev, 2014; 85, 861−81.
    [19] Yang ZY, Zhang Q, Xu T, et al. Zhong guo 0~5 sui er tong ying yang yu jian kang xi tong diao cha yu ying yong xiang mu zong ti fang an [Overall protocol of the systematic survey and application project on nutrition and health for children aged 0-5 years in China]. J Hyg Res, 2021; 50, 879−81. (In Chinese)
    [20] Yang YX, National Institute for Nutrition and Health Chinese Center for Disease Control and Prevention. China food composition tables-volume 1. 6th ed. Peking University Medical Press. 2018. (In Chinese)
    [21] Yang YX, National Institute for Nutrition and Health Chinese Center for Disease Control and Prevention. China food composition tables-volume II. 6th ed. Peking University Medical Press. 2019. (In Chinese)
    [22] Oude Griep LM, Stamler J, Chan Q, et al. Association of raw fruit and fruit juice consumption with blood pressure: the INTERMAP Study. Am J Clin Nutr, 2013; 97, 1083−91.
    [23] Chinese Nutrition Society. (2022). *Dietary guidelines for Chinese school-age children (2022)*. People's Medical Publishing House. (in Chinese).
    [24] McLester CN, Nickerson BS, Kliszczewicz BM, et al. Reliability and agreement of various InBody body composition analyzers as compared to dual-energy X-ray absorptiometry in healthy men and women. J Clin Densitom, 2020; 23, 443−50.
    [25] Yang X, Jago R, Zhai Y, et al. Validity and reliability of Chinese physical activity questionnaire for children aged 10-17 years. Biomed Environ Sci, 2019; 32, 647−58.
    [26] Slough JM, Hennrikus W, Chang Y. Reliability of tanner staging performed by orthopedic sports medicine surgeons. Med Sci Sports Exerc, 2013; 45, 1229−34.
    [27] Rasmussen AR, Wohlfahrt-Veje C, Tefre De Renzy-Martin K, et al. Validity of self-assessment of pubertal maturation. Pediatrics, 2015; 135, 86−93.
    [28] Tennant PWG, Murray EJ, Arnold KF, et al. Use of directed acyclic graphs (DAGs) to identify confounders in applied health research: review and recommendations. Int J Epidemiol, 2021; 50, 620−32.
    [29] Upson K, Sathyanarayana S, De Roos AJ, et al. Phthalates and risk of endometriosis. Environ Res, 2013; 126, 91−7.
    [30] Weyde KV, Krog NH, Oftedal B, et al. Road traffic noise and children's inattention. Environ Health, 2017; 16, 127.
    [31] Yao ZD, Cao YN, Peng LX, et al. Coarse cereals and legume grains exert beneficial effects through their interaction with gut microbiota: a review. J Agric Food Chem, 2021; 69, 861−77.
    [32] Alexy U, Zorn C, Kersting M. Whole grain in children's diet: intake, food sources and trends. Eur J Clin Nutr, 2010; 64, 745−51.
    [33] Devlin NFC, Mcnulty BA, Gibney MJ, et al. Whole grain intakes in the diets of Irish children and teenagers. Br J Nutr, 2013; 110, 354−62.
    [34] Albertson AM, Reicks M, Joshi N, et al. Whole grain consumption trends and associations with body weight measures in the United States: results from the cross sectional national health and nutrition examination survey 2001-2012. Nutr J, 2016; 15, 8.
    [35] McKeown NM, Yoshida M, Shea MK, et al. Whole-grain intake and cereal fiber are associated with lower abdominal adiposity in older adults. J Nutr, 2009; 139, 1950−5.
    [36] Damsgaard CT, Biltoft-Jensen A, Tetens I, et al. Whole-grain intake, reflected by dietary records and biomarkers, is inversely associated with circulating insulin and other cardiometabolic markers in 8- to 11-year-old children. J Nutr, 2017; 147, 816−24.
    [37] Kosti RI, Panagiotakos DB, Zampelas A, et al. The association between consumption of breakfast cereals and BMI in schoolchildren aged 12-17 years: the VYRONAS study. Public Health Nutr, 2008; 11, 1015−21.
    [38] Pauline KB, Rimm EB. Whole grain consumption and weight gain: a review of the epidemiological evidence, potential mechanisms and opportunities for future research. Proc Nutr Soc, 2003; 62, 25−9.
    [39] Newby PK, Maras J, Bakun P, et al. Intake of whole grains, refined grains, and cereal fiber measured with 7-D diet records and associations with risk factors for chronic disease. Am J Clin Nutr, 2007; 86, 1745−53.
    [40] Slavin J, Jacobs D, Marquart L. Whole-grain consumption and chronic disease: protective mechanisms. Nutr Cancer, 1997; 27, 14−21.
    [41] Jang Y, Lee JH, Kim OY, et al. Consumption of whole grain and legume powder reduces insulin demand, lipid peroxidation, and plasma homocysteine concentrations in patients with coronary artery disease: randomized controlled clinical trial. Arterioscler Thromb Vasc Biol, 2001; 21, 2065−71.
  • 加载中
通讯作者: 陈斌, bchen63@163.com
  • 1. 

    沈阳化工大学材料科学与工程学院 沈阳 110142

  1. 本站搜索
  2. 百度学术搜索
  3. 万方数据库搜索
  4. CNKI搜索

Figures(3)  / Tables(2)

Article Metrics

Article views(741) PDF downloads(15) Cited by()

Proportional views
Related

Relationship between Coarse Cereals Consumption and Body Fat Percentage among Chinese School-aged Children

doi: 10.3967/bes2025.086
  • Author Bio:

  • Corresponding author: Qian Zhang, Research Professor, Tel: 86-10-66237133, E-mail: zhangqian7208@163.com

Abstract:   Objective  The rising prevalence of childhood obesity is closely associated with suboptimal dietary patterns. To address this public health concern, we conducted a comprehensive study to examine the association between coarse cereals consumption and body fat percentage (BFP) in Chinese children and adolescents.  Methods  The study included 48,305 children aged 6–17 years from 28 districts/counties in 14 provinces across seven regions of China (24,152 girls and 24,153 boys). BFP was examined using bioelectrical impedance analysis in the early morning. Coarse cereals consumption was assessed using a Food Frequency Questionnaire and categorized into three groups: 0 g/1,000 kcal per day, 0–10 g/1,000 kcal per day, and > 10 g/1,000 kcal per day (daily consumption of coarse cereals × 1,000/total energy consumption). Quantile regression model was used to analyze the association between coarse cereals and BFP, adjusting for potential confounders such as age, pubertal development stage, urban/rural and regional factors, total daily dietary energy consumption, sedentary time, moderate-to-high physical activity, household income, parental education, and consumption of other foods.  Results  Boys aged 6–10, 11–14, and 15–17 years had median daily coarse cereals consumptions of 6.6 g, 7.1 g, and 5.7 g, with BFP of 19.6%, 19.5%, and 17.5% (all P < 0.05). Girls in the same age groups showed consumption of 7.1 g, 8.4 g, and 6.7 g, with BFP of 20.3%, 26.4%, and 31.0% (all P < 0.05). The quantile regression results for boys showed that daily consumption of coarse cereals was significantly correlated with their BFP in the 0.15, 0.25, and 0.50 quartiles, with regression coefficients of −0.257, −0.221, and −0.330, respectively, after adjusting for potential confounders (P < 0.05). For girls, there was a significant correlation with PBF at the 0.05, 0.15, 0.25, 0.50, 0.75, and 0.85 quartiles, with regression coefficients of −0.258, −0.366, −0.372, −0.431, −0.472, and −0.503 (P < 0.05 for all).  Conclusions  Coarse cereals consumption among Chinese children and adolescents remains relatively low. Higher consumption was inversely associated with BFP in children aged 6–17 years. Future interventional studies should assess how increased coarse cereals consumption prevents childhood obesity.

Data collection, data analysis, and manuscript writing: Tingting Gao. Study design and data collection: Wei Cao, Titi Yang, Peipei Xu, Juan Xu, Qian Gan, Hongliang Wang, and Hui Pan. Data analysis and guidance for manuscript writing: Yingying Zhao and Kai You. Study design, data collection, data analysis, and guidance for manuscript writing: Wenhua Zhao, Zhenyu Yang, and Qian Zhang.
The authors declare no competing interests.
The data are not publicly available due to privacy or ethical restrictions.
Tingting Gao, Wei Cao, Titi Yang, Peipei Xu, Juan Xu, Qian Gan, Hongliang Wang, Hui Pan, Yingying Zhao, Kai You, Qingbin Xing, Wenhua Zhao, Zhenyu Yang, Qian Zhang. Relationship between Coarse Cereals Consumption and Body Fat Percentage among Chinese School-aged Children[J]. Biomedical and Environmental Sciences, 2026, 39(1): 73-81. doi: 10.3967/bes2025.086
Citation: Tingting Gao, Wei Cao, Titi Yang, Peipei Xu, Juan Xu, Qian Gan, Hongliang Wang, Hui Pan, Yingying Zhao, Kai You, Qingbin Xing, Wenhua Zhao, Zhenyu Yang, Qian Zhang. Relationship between Coarse Cereals Consumption and Body Fat Percentage among Chinese School-aged Children[J]. Biomedical and Environmental Sciences, 2026, 39(1): 73-81. doi: 10.3967/bes2025.086
    • Childhood obesity has emerged as a significant global public health challenge in recent decades, with its worldwide prevalence escalating at an alarming rate. In 2022, the World Health Organization (WHO) reported that more than 390 million children and adolescents aged 5–19 years are overweight and obese worldwide[1]. In China, the prevalence of overweight and obesity is increasing in both urban and rural areas[2]. According to reports, by 2020, the prevalence of overweight and obesity among children and adolescents aged 5–19 years will exceed 19.0%[3], which is much higher than the 10.2% reported in 2012. Emerging evidence shows that obesity in children and adolescents is positively correlated with adult weight gain and increases the risk of premature all-cause mortality. It will also bring a heavy economic burden to individuals, families, and society[4,5].

      The prominent manifestation of overweight and obesity in children is an excessive increase in adipose tissue in the body. Body fat in children and adolescents is influenced by a variety of factors, not only related to age and sex, but also closely related to daily diet, physical activity, and other lifestyle factors[6,7]. Diet is a modifiable factor that contributes to body fat[8]. Coarse cereals were rich in several vitamins, minerals, dietary fibers, and phytochemicals, which were believed to have health-promoting effects[9,10]. Several randomized controlled trials in adults in the United States[11] and Denmark[12,13] have indicated that increasing the consumption of coarse cereals results in a greater decrease in the body fat percentage (BFP)[10,14]. However, limited studies have been conducted on the association between coarse-cereals consumption and body fat composition in children and adolescents. Therefore, this study analyzed the association between coarse cereals consumption and BFP in Chinese children aged 6–17 years to provide practical measures for controlling overweight and obesity in children.

      Traditionally, many questions regarding diet and body composition have been evaluated using linear regression-based methods[7,15]. Linear regression can only provide information regarding the central tendency of the data, and its description of the overall distribution is limited. Moreover, this method estimates parameters based on the least-squares method, making it sensitive to outliers[16]. Given that the effect of coarse cereals consumption on BFP may differ according to different body fat levels, we employed quantile regression in this study. Unlike linear regression, quantile regression can analyze the relationships between variables at various quantiles, offering a more comprehensive view of data distribution[17]. By minimizing the weighted absolute value errors, it is less affected by outliers, thus providing more robust estimates and accurately reflecting the true relationships in the data[18].

    • Data were obtained from the National Nutrition and Health Systematic Survey and Application for 0–18-year-old children. A total of 66,000 children aged 6−17 years from 28 districts/counties in 14 provinces in seven regions of China were surveyed using a multi-stage stratified random sampling method. Approximately 196 children were enrolled per age cohort, with an equal distribution of males and females (1:1 male-to-female ratio)[19].

      This study was approved by the Ethics Committee of the National Institute for Nutrition and Health, Chinese Center for Disease Control and Prevention. Written informed consent was obtained from the guardians of all participants before their enrollment in the study.

    • The consumption status of coarse cereals was obtained using the Food Frequency Questionnaire (FFQ). The questionnaire employed a face-to-face questioning method, asking research participants about the frequency of various food consumption in the past month, as well as the average consumption of various foods at one time. The survey included 72 food items in 12 categories: cereals and potatoes, soybean products, vegetables, fruits, dairy products, livestock and poultry meat, aquatic products, eggs, nuts, beverages, water, and snacks. The consumption frequencies of each food item were categorized as follows: times/day, times/week, times/month, and rarely eaten. The average consumption per serving was recorded in grams of solid food and milliliters of liquid food—coarse cereals consumption by school-aged children, including corn, millet, and miscellaneous beans.

      Based on the China food composition tables (standard edition) published in 2018 and 2019[20,21], the energy consumption of each food were calculated and then added up to obtain the daily total energy consumption (kcal/d) of each individual. The adjusted daily consumption of coarse cereals (g/1,000 kcal) was determined by adjusting the daily consumption of coarse cereals (daily consumption of coarse cereals × 1,000/total energy consumption) using the density method[22]. The adjusted consumption of coarse cereals for children was divided into three groups: 0 g/1,000 kcal per day, 0–10 g/1,000 kcal per day, and > 10 g/1,000 kcal per day, concerning the recommended food consumption of the dietary guidelines for school-age children[23].

    • After fasting for 10 h and urination, the children’s fasting weight and body composition were examined using bioelectrical impedance analysis early in the morning. Weight was measured to the nearest 0.1 kg in light indoor clothing. This device features eight tactile electrodes for the hands and feet, utilizing six frequency bands (1, 5, 50, 250, 500, and 1,000 kHz) to analyze human body composition via a multiloop method[24]. Indicators such as body free mass, fat-free mass, and BFP.

    • Children’s physical activity was assessed using a Physical Activity Questionnaire. This questionnaire is a 6–17-year-old Chinese Children’s Physical Activity Questionnaire (CCPAQ) established and validated by this project[25]. The questionnaire was effective in distinguishing between types and patterns of physical activity and reliably measured a child’s time spent on physical activity in one week. The survey included measures of physical activity and sedentary behavior times.

      Puberty was developed using the Tanner Five staging method[26]. After using pictures and text to explain the five stages of development, the children self-reported. Boys are judged according to their pubic hair and penile development and the time of their first sperm loss, while girls are judged based on the development of breasts, pubic hair, and the time of menarche[27].

      Information about the children’s families was obtained using a parental questionnaire. Parents completed the questionnaire at the parent-teacher meeting. The survey included family information, such as the education level of the child’s parents and the total family income for the previous year.

    • The data were cleaned and analyzed using SAS 9.4. Data from 58,101 children who completed the FFQ and body composition measurements were selected as follows: healthy children born locally, aged 6–17 years; residing in the investigation site area for over half a year, and with no relocation plans within the next year. The exclusion Criteria were as follows: 1) Children diagnosed with any acute or chronic disease at a secondary or higher hospital. 2) Children were excluded if their total energy consumption or consumption of grains, potatoes, or vegetables was zero. 3) Children whose consumption of cereals, potatoes, or lean foods fell below the 1st percentile or exceeded the 99th percentile for their respective age groups were excluded from the analysis. 4) Children who did not complete the physical measurements or physical activity questionnaires were also excluded. 5) Children without parental questionnaires were excluded. Finally, 48,305 children aged 6–17 years were included in the analysis. The median (lower quartile, upper quartile), that is, M(P25, P75), was used to describe the daily consumption of coarse cereals and the BFP status of children of different sexes and age groups.

      The Wilcoxon rank sum test and Kruskal-Wallis rank sum test were used to compare the differences in BFPs of boys and girls in the different consumption groups of coarse cereals. Quantile regression analysis was used to analyze the relationship between coarse cereals consumption and BFP in children (PROC QUANTREG). The directed acyclic graph is based on previous research on whole grains and body fat and is used to determine the variables needed for adjustment in the quantile regression model[28-30] (Figure 1). These covariates included age, level of pubertal development (breast development in girls, genital development in boys), urban/rural and regional factors, total daily energy consumption, sedentary behavior, time spent on moderate-to-high physical activity, household income, parental literacy among children and adolescents, and other food consumption. Differences were considered statistically significant at P < 0.05.

      Figure 1.  Directed Acyclic Graph. A directed acyclic graph represents the associations among covariates, primary exposure, and outcomes. Pink circles represent ancestors of the exposure and outcome (i.e., confounders), and blue circles represent ancestors of the outcome (i.e., causal determinants of the outcome). Green lines represent causal paths, and pink rose lines represent biasing paths. The minimally sufficient adjustment set represents covariates such that the adjustment for this set of variables minimizes confounding bias when estimating the association between exposure and outcome. The minimally sufficient adjustment set was determined using DAGitty software.

    • As shown in Table 1. A total of 48,305 children aged 6–17 years were included in this study, including 24,153 (50%) boys and 24,152 (50%) girls. The sample sizes for boys and girls in each region of China are listed in Table 1.

      Demographic characteristics indicators Boys (N, %) Girls (N, %) Total (N)
      Gender 24,153 (50.0) 24,152 (50.0) 48,305
      Age, years
      6– 9,636 (39.9) 9,469 (39.2) 19,105
      11– 8,347 (34.6) 8,438 (34.9) 16,785
      15–17 6,170 (25.5) 6,245 (25.9) 12,415
      Area
      Urban 12,410 (51.4) 12,486 (51.7) 24,896
      Rural 11,743 (48.6) 11,666 (48.3) 23,409
      Region
      North China 4,164 (17.2) 4,116 (17.0) 8,280
      Northeast China 42,839 (17.7) 4,190 (17.4) 8,473
      East China 3,874 (16.0) 3,936 (16.3) 7,810
      Central China 3,184 (13.2) 3,235 (13.4) 6,419
      South China 2,405 (10.0) 2,423 (10.0) 4,828
      Southwest China 3,518 (14.6) 3,498 (14.5) 7,016
      Northwest China 2,725 (11.3) 2,754 (11.4) 5,479
      Pubertal development stage
      Tanner Stage I 10,033 (48.5) 7,140 (34.2) 17,173
      Tanner Stage II 2,596 (12.5) 3,789 (18.1) 6,385
      Tanner Stage III 3,737 (18.1) 5,074 (24.3) 8,811
      Tanner Stage IV 3,489 (16.9) 4,049 (19.4) 7,538
      Tanner Stage V 844 (4.1) 832 (4.0) 1,676
      Medium to high intensity physical activity time (h/w) 1.67 (0.5, 4.0) 1.42 (0.4, 3.3) -
      Sedentary behavior time (h/w) 30.00 (24.7, 40.7) 32.25 (24.8, 41.1) -
      Total energy consumption (1,000 kcal/d) 2.09 (2.1, 3.1) 1.95 (1.4, 2.8) -
      Father’s education level
      Junior high school and below 11,458 (49.7) 11,657 (50.5) 23,115
      High School and above 11,617 (50.3) 11,451 (49.6) 23,068
      Mother’s education level
      Junior high school and below 11,788 (51.3) 12,065 (52.3) 23,853
      High School and above 11,180 (48.7) 11,023 (47.7) 22,203
      Total household income last year, RMB
      < 50,000 5,557 (32.1) 5,883 (34.1) 11,440
      50,000– 5,523 (31.9) 5,507 (31.9) 11,030
      ≥ 100,000 6,225 (36.0) 5,872 (34.0) 12,097
        Note. The level of pubertal development was determined by the development of the genitalia (penis) in boys and breasts in girls. Gender, region, urban/rural status, pubertal development level, father’s education, mother’s education, and total household income in the past year were categorical variables and expressed as N (%). The duration of moderate-to-vigorous physical activity, duration of sedentary behavior, and total energy consumption were continuous variables and were expressed as M (P25, P75).

      Table 1.  Basic information table of the sample

    • For boys, the median daily consumption of coarse cereals were 6.6 g, 7.1 g or 5.7 g at age group of 6 to 10, 11 to 14, or 15 to 17 years, respectively (P < 0.05). For girls, they were 7.1 g, 8.4 g, or 6.7 g for these age groups. (P < 0.05). For boys, the median BFPs were 19.6%, 19.5%, and 17.5% in the 6–10, 11–14, and 15–17 year age groups, respectively (P < 0.05). The percentages of girls in these age groups were 20.3%, 26.4%, and 31%, respectively (P < 0.05), Table 2.

      Group
      age (year)
      Body fat percentage Coarse cereals consumption
      M (P25, P75) , % M (P25, P75), g M (P25, P75) , g/1,000 kcal
      Boys Girls Boys Girls Boys Girls
      6– 19.6 (14.8, 27.85) 20.3 (15.8, 26.2) 6.6 (0.0,25.0) 7.1 (0.0, 26.6) * 3.7 (0.0, 13.1) 4.2 (0.0, 14.3) *
      11– 19.5 (14, 28.6) 26.4 (21.3, 31.9) 7.1 (0.0,35.7) 8.4 (0.0, 35.7) * 3.3 (0.0, 13.3) 3.9 (0.0, 14.1) *
      15–17 17.5 (13.5, 24.3) 31 (27, 34.9) 5.7 (0.0,30.0) 6.7 (0.0, 29.9) * 2.3 (0.0, 10.9) 3.2 (0.0, 13.0) *
      Total 19 (14.1, 27.1) 25.7 (19.6, 31.8) 6.6 (0.0,28.6) 7.1 (0.0, 29.6) * 3.2 (0.0, 12.5) 3.8 (0.0, 13.9) *
      Z 228.325 5568.843 35.297 24.499 83.760 37.384
      P < 0.001 < 0.001 < 0.001 < 0.001 < 0.001 < 0.001
        Note. The Kruskal-Wallis test was used to compare the differences in the consumption of coarse cereals among children of different age groups, while the Wilcoxon rank-sum test was used to compare the food consumption of boys and girls in the same age group; *indicates that the differences in the food consumption of boys and girls in the same age group were statistically significant.

      Table 2.  Daily consumption of coarse cereals and body fat percentage in children aged 6–17 years

    • For boys aged 6 to < 11 years, the BFP was 20.0% for boys consuming coarse cereals at 0 g/d, which was statistically higher than that for boys consuming coarse cereals at 0–10 g/d (19.2%) (P < 0.05) but not statistically different from boys consuming coarse cereals ( > 10 g/d, 19.4%) (P > 0.05). For boys aged 11 to < 15 years or 15–17 years, the BFP was not statistically different between the different coarse cereals consumption groups.

      For girls aged 6 to < 11 years, the BFP was 20.8% for girls consuming coarse cereals at 0 g/d, which was statistically higher than that for girls consuming coarse cereals at 0–10 g/d (20.0%) and > 10 g/d (20.1%) (P < 0.05). For girls aged 11 to < 15 years, the BFP was 26.7% for girls consuming coarse cereals at 0 g/d, which was statistically higher than that of girls consuming coarse cereals at > 10 g/d (26.2%) (P < 0.05), but not statistically different from girls consuming coarse cereals at 0–10 g/d (26.4%) (P > 0.05). For girls aged 15–17 years, the BFP was not statistically different among the different coarse cereals consumption groups Figure 2.

      Figure 2.  Comparison of body fat percentage (BFP) of children aged 6–17 years with different coarse cereals consumption groups. The Kruskal-Wallis test was used to compare the differences in BFP among children in different food consumption groups, and the dots, squares, and triangles in the graph represent the median values of coarse cereals consumption for different age groups. Line segments represent interquartile ranges (IQRs) of PBF for each age group. *Represents a statistically significant difference in BFP among children with different coarse cereals consumption groups; ns indicates no statistical difference.

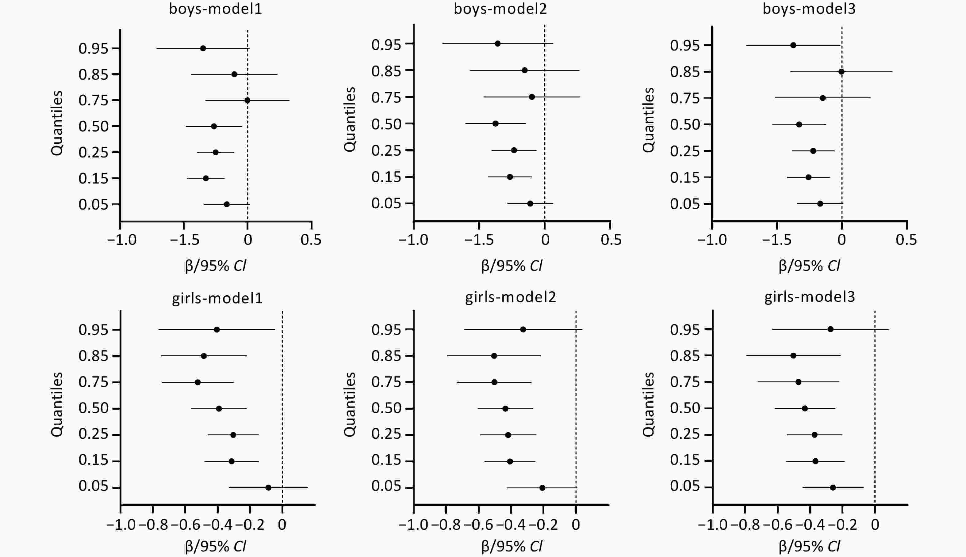
    • As shown in Figure 3. The quantile regression results for boys showed that the adjusted daily consumption of coarse cereals and their BFP were significantly correlated (P < 0.05) in the 0.15, 0.25, and 0.50 quartiles for boys across all models, with regression coefficients of −0.257, −0.221, and −0.330 after adjusting for age, pubertal development status, urban/rural and regional factors, total daily energy consumption, sedentary behavior, time spent on moderate to high physical activity, household income, parental education, and other food consumption.

      Figure 3.  Quantile regression analysis of body fat percentage and coarse cereals consumption in children aged 6–17 years. Model 1: adjusted for age, urban-rural area, and region. Model 2: additionally adjusted for adolescent development status, total daily energy consumption of children and adolescents, sedentary behavior, time spent on moderate-to-high physical activity, household income, and parental literacy. Model 3: additionally adjusted for the consumption of other foods. The point estimates in the graph represent the regression coefficients. The horizontal line segment represents the 95% confidence interval of the regression coefficient. The dashed vertical line at zero indicates the null effect. If the confidence interval of an estimate crosses the zero line, the effect is statistically nonsignificant.

      The consumption of coarse cereals for girls and their BFP was significantly correlated (P < 0.05) at the 0.15, 0.25, 0.50, 0.75, and 0.85 quartiles in model 1 and model 2. After adjusting for the consumption of other foods the consumption of coarse cereals for girls and their BFP was significantly correlated (P < 0.05) at the 0.05 0.15, 0.25, 0.50, 0.75, and 0.85 quartiles, with regression coefficients of −0.258, −0.366, −0.372, −0.431, −0.472, and −0.503. Further details can be found in Supplementary Tables S1−S14.

    • In China, the traditional classification of grains generally consists of grains such as rice and its products, and wheat products. Our study investigated the consumption of coarse cereals in school-aged children, including corn, millet, and miscellaneous beans, which have nutritional characteristics similar to those of whole cereals[31].

      The median consumption of coarse cereals in this study was approximately 5–7 g per day for boys aged 6–17 years and 6–8 g per day for girls, which was significantly lower than the recommended consumptions (30–70 g/d for children aged 6–13 years, 100 g/d for children aged 14–17 years) in the Chinese dietary guidelines for school-age children. Low consumption levels of coarse cereals have also been reported for children of different ages in European countries, such as 9.1 g/d for French children and approximately 13 g/d for UK children/adolescents[32]. In 2012, a national study of 1,035 Irish children and adolescents aged 5–17 years using 7-day food records showed an consumptions of 18.5 and 23.2 g/d of coarse cereals, respectively[33]. Although the coarse cereals in these studies on children’s coarse cereals consumption varied and the types of coarse cereals in these studies were different, they all indicated that insufficient consumption of coarse cereals is common internationally[34].

      The results of this study showed that the consumption of coarse cereals was related to BFP in children, and that this association increased with an increase in BFP. Similar findings have been reported in studies involving adults. A 2009 cross-sectional study of 434 adults aged 60–80 years in the United States observed that the percentages of body fat and trunk fat in the coarse cereals group were 2.7% and 4% lower than those in the refined grain group, respectively[35]. Although studies examining the relationship between coarse cereals consumption and BFP in school-aged children are limited, emerging evidence suggests a negative association between coarse cereals consumption and fat mass index (FMI) and BMI in European school-age children[10,36]. A Danish randomized controlled trial (RCT) demonstrated a significant inverse association between oat consumption and FMI in children aged 8–11 years. In 2008, Rena et al.’s study[37]showed that compared with no or rare cereals consumption, daily consumption or more than two daily servings (1 serving of cereals ≈ 40 g) of cereals for breakfast was associated with lower BMI levels in boys and girls aged 12–17 years after adjusting for confounding factors such as age, gender, and physical activity status (P < 0.01).

      Coarse cereals are rich in B vitamins and minerals, and contain more dietary fiber than refined cereals. Studies have shown that high insulin levels may promote fat accumulation by altering the adipose tissue size and enhancing appetite[38]. The antioxidants and minerals in coarse cereals might help reduce insulin sensitivity, as indicated in several studies. Cereal fibers in coarse cereals could delay gastric emptying and decrease insulin sensitivity[39,40], which might partially explain the association between lower coarse cereals and higher BFP in children. In a randomized controlled clinical trial published in 2001, researchers randomly divided 76 male patients with coronary artery disease into two groups: one group received a daily whole-grain meal, and the other was the control group. After 16 weeks, the results showed that in the whole-grain group, serum concentrations of glucose and insulin decreased by 24% and 14%, respectively[41]. This indicates that the consumption of coarse cereals is related to an improvement in insulin resistance, which can reduce the risk of being overweight and obese.

      The primary strengths of this study include its large, nationally representative sample size and the utilization of a semi-quantitative FFQ for dietary assessment, which enabled reliable evaluation of long-term coarse cereals consumption patterns among school-age children. Nevertheless, certain limitations must be acknowledged, particularly the cross-sectional design, which precluded the establishment of causal relationships between coarse cereals consumption and BFP.

    • In conclusion, this study revealed a significant negative correlation between coarse cereals consumption and BFP among girls across both low and high percentiles and among boys in the low percentile range. The analysis further demonstrated that the association between coarse cereals consumption and body fat reduction became more pronounced with an increase in BFP. These findings suggest that maintaining an appropriate consumption of coarse cereals may support healthy adipose tissue development in children while potentially mitigating the risk of overweight and obesity. More comprehensive intervention studies should be conducted to investigate the potential of increased coarse cereals consumption to prevent and manage childhood obesity.

    Funds:  This work was supported by the Special Project of National Science and Technology Basic Resources Survey (Grant No. 2017FY101100).
    Authors’ Contributions   Data collection, data analysis, and manuscript writing: Tingting Gao. Study design and data collection: Wei Cao, Titi Yang, Peipei Xu, Juan Xu, Qian Gan, Hongliang Wang, and Hui Pan. Data analysis and guidance for manuscript writing: Yingying Zhao and Kai You. Study design, data collection, data analysis, and guidance for manuscript writing: Wenhua Zhao, Zhenyu Yang, and Qian Zhang.
    Competing Interests   The authors declare no competing interests.
    Data Sharing   The data are not publicly available due to privacy or ethical restrictions.
Reference (41)

Catalog

    /

    DownLoad:  Full-Size Img  PowerPoint
    Return
    Return