Association of Body Mass Index with All-Cause Mortality and Cause-Specific Mortality in Rural China: 10-Year Follow-up of a Population-Based Multicenter Prospective Study

Juanjuan Huang Yuanzhi Di Lingyu Shen Jianguo Liang Jiang Du Xuefang Cao Weitao Duan Aiwei He Jun Liang Limei Zhu Zisen Liu Fang Liu Shumin Yang Zuhui Xu Cheng Chen Bin Zhang Jiaoxia Yan Yanchun Liang Rong Liu Tao Zhu Hongzhi Li Fei Shen Boxuan Feng Yijun He Zihan Li Yaqi Zhao Tonglei Guo Liqiong Bai Wei Lu Qi Jin Lei Gao Henan Xin

Juanjuan Huang, Yuanzhi Di, Lingyu Shen, Jianguo Liang, Jiang Du, Xuefang Cao, Weitao Duan, Aiwei He, Jun Liang, Limei Zhu, Zisen Liu, Fang Liu, Shumin Yang, Zuhui Xu, Cheng Chen, Bin Zhang, Jiaoxia Yan, Yanchun Liang, Rong Liu, Tao Zhu, Hongzhi Li, Fei Shen, Boxuan Feng, Yijun He, Zihan Li, Yaqi Zhao, Tonglei Guo, Liqiong Bai, Wei Lu, Qi Jin, Lei Gao, Henan Xin. Association of Body Mass Index with All-Cause Mortality and Cause-Specific Mortality in Rural China: 10-Year Follow-up of a Population-Based Multicenter Prospective Study[J]. Biomedical and Environmental Sciences, 2025, 38(10): 1179-1193. doi: 10.3967/bes2025.128
Citation: Juanjuan Huang, Yuanzhi Di, Lingyu Shen, Jianguo Liang, Jiang Du, Xuefang Cao, Weitao Duan, Aiwei He, Jun Liang, Limei Zhu, Zisen Liu, Fang Liu, Shumin Yang, Zuhui Xu, Cheng Chen, Bin Zhang, Jiaoxia Yan, Yanchun Liang, Rong Liu, Tao Zhu, Hongzhi Li, Fei Shen, Boxuan Feng, Yijun He, Zihan Li, Yaqi Zhao, Tonglei Guo, Liqiong Bai, Wei Lu, Qi Jin, Lei Gao, Henan Xin. Association of Body Mass Index with All-Cause Mortality and Cause-Specific Mortality in Rural China: 10-Year Follow-up of a Population-Based Multicenter Prospective Study[J]. Biomedical and Environmental Sciences, 2025, 38(10): 1179-1193. doi: 10.3967/bes2025.128

doi: 10.3967/bes2025.128

Association of Body Mass Index with All-Cause Mortality and Cause-Specific Mortality in Rural China: 10-Year Follow-up of a Population-Based Multicenter Prospective Study

Funds: This work was supported by the CAMS Innovation Fund for Medical Sciences (CIFMS) [grant number 2021-I2M-1-037], and the National Natural Science Foundation of China [grant numbers 82373647, and 82473697].
More Information
    Author Bio:

    Juanjuan Huang, PhD, majoring in epidemiology and biostatistics, E-mail: juanjh95@163.com

    Yuanzhi Di, Master's Degree, majoring in epidemiology and biostatistics, E-mail: tjnudyz@163.com

    Lingyu Shen, PhD, majoring in epidemiology and biostatistics, E-mail: shenlyi@163.com

    Jianguo Liang, Master's Degree, majoring in epidemiology and biostatistics, E-mail: liangjianguo0130@163.com

    Corresponding author: Lei Gao, Professor, Tel: 86-13311185615, E-mail: gaolei@ipbcams.ac.cnHenan Xin, Associate Professor, Tel: 86- 18519103773, E-mail: xinhenan@ipbcams.ac.cn
  • Design: Lei Gao and Qi Jin; Data Collection: Henan Xin, Yuanzhi Di, Lingyu Shen, Jianguo Liang, Jiang Du, Xuefang Cao, Weitao Duan, Aiwei He, Jun Liang, Limei Zhu, Zisen Liu, Fang Liu, Shumin Yang, Zuhui Xu, Cheng Chen, Bin Zhang, Jiaoxia Yan, Yanchun Liang, Rong Liu, Tao Zhu, Hongzhi Li, Fei Shen, Boxuan Feng, Yijun He, Zihan Li, Yaqi Zhao, Tonglei Guo, Liqiong Bai, and Wei Lu; Quality Control: Juanjuan Huang, Yuanzhi Di, Lingyu Shen, Jianguo Liang, Jiang Du, Xuefang Cao, Boxuan Feng, Yijun He, Zihan Li, and Tonglei Guo; Data Analysis and Writing: Juanjuan Huang, Yuanzhi Di, Lingyu Shen, Jianguo Liang, Jiang Du, Xuefang Cao, Lei Gao, and Henan Xin; Data Interpretation: Juanjuan Huang, Yuanzhi Di, Lingyu Shen, Jianguo Liang, Jiang Du, Xuefang Cao, Lei Gao, and Henan Xin; Data Verification: Juanjuan Huang, Henan Xin and Lei Gao; Review and Revision: all authors.
  • The authors declare no competing interests.
  • The ethnical approval for the general population-based multicenter prospective study was from the Ethics Committee of National Institute of Pathogen Biology in Chinese Academy of Medical Sciences (IPB-2023-35).
  • The survey data are available from the corresponding authors upon request. The supplementary materials will be available in www.besjournal.com.
  • &These authors contributed equally to this work.
    • 关键词:
    •  / 
    •  / 
    •  / 
    •  / 
    •  
    Design: Lei Gao and Qi Jin; Data Collection: Henan Xin, Yuanzhi Di, Lingyu Shen, Jianguo Liang, Jiang Du, Xuefang Cao, Weitao Duan, Aiwei He, Jun Liang, Limei Zhu, Zisen Liu, Fang Liu, Shumin Yang, Zuhui Xu, Cheng Chen, Bin Zhang, Jiaoxia Yan, Yanchun Liang, Rong Liu, Tao Zhu, Hongzhi Li, Fei Shen, Boxuan Feng, Yijun He, Zihan Li, Yaqi Zhao, Tonglei Guo, Liqiong Bai, and Wei Lu; Quality Control: Juanjuan Huang, Yuanzhi Di, Lingyu Shen, Jianguo Liang, Jiang Du, Xuefang Cao, Boxuan Feng, Yijun He, Zihan Li, and Tonglei Guo; Data Analysis and Writing: Juanjuan Huang, Yuanzhi Di, Lingyu Shen, Jianguo Liang, Jiang Du, Xuefang Cao, Lei Gao, and Henan Xin; Data Interpretation: Juanjuan Huang, Yuanzhi Di, Lingyu Shen, Jianguo Liang, Jiang Du, Xuefang Cao, Lei Gao, and Henan Xin; Data Verification: Juanjuan Huang, Henan Xin and Lei Gao; Review and Revision: all authors.
    The authors declare no competing interests.
    The ethnical approval for the general population-based multicenter prospective study was from the Ethics Committee of National Institute of Pathogen Biology in Chinese Academy of Medical Sciences (IPB-2023-35).
    The survey data are available from the corresponding authors upon request. The supplementary materials will be available in www.besjournal.com.
    &These authors contributed equally to this work.
    注释:
    1) Authors’ Contributions: 2) Competing Interests: 3) Ethics: 4) Data Sharing:
  • Figure  1.  Cumulative hazards of all-cause mortality in 10 years stratified across BMI categories in different sex and age groups.

    Kaplan-Meier estimates for survival probability by BMI in total and in different categories (sex, age, and study site). All-cause mortality-free survival rates according to BMI by Kaplan-Meier plots are shown in (A), and subgroup analyses by sex and age are shown in (B) and (C), respectively. P-values were calculated using the log-rank test. Overall, the all-cause mortality risk was inversely associated with BMI. The same trend was observed in all sex groups and in the 60–69 age group and 70–79 age group. The x-axes represent survival time per day. The y-axis represents the survival probability of the study participants. BMI was classified into four categories according to the Chinese classification: Underweight (< 18.5 kg/m2), Desirable weight (≥ 18.5 to < 24.0 kg/m2) (reference), Overweight (≥ 24.0 to < 28.0 kg/m2), and Obesity (≥ 28.0 kg/m2). BMI, body mass index.

    Figure  2.  Subgroup analysis for the associations between BMI and all-cause mortality in 10 years.

    aHR and 95% CI for all-cause mortality in individuals with different BMI among the different subgroups are shown in Figure 2. Cox proportional hazards regression models were used, and the aHR was calculated after adjusting for incidence of death ratio variables with significant associations, as shown in Table 2. Similar effects of BMI on all-cause mortality were observed in most subgroups. BMI was classified into four categories according to the Chinese classification: Underweight (< 18.5 kg/m2), Desirable (≥ 18.5 to < 24.0 kg/m2) (reference), Overweight (≥ 24.0 to < 28.0 kg/m2), Obesity (≥ 28.0 kg/m2). BMI, body mass index. aHR, adjusted hazard ratio. CI, confidence interval.

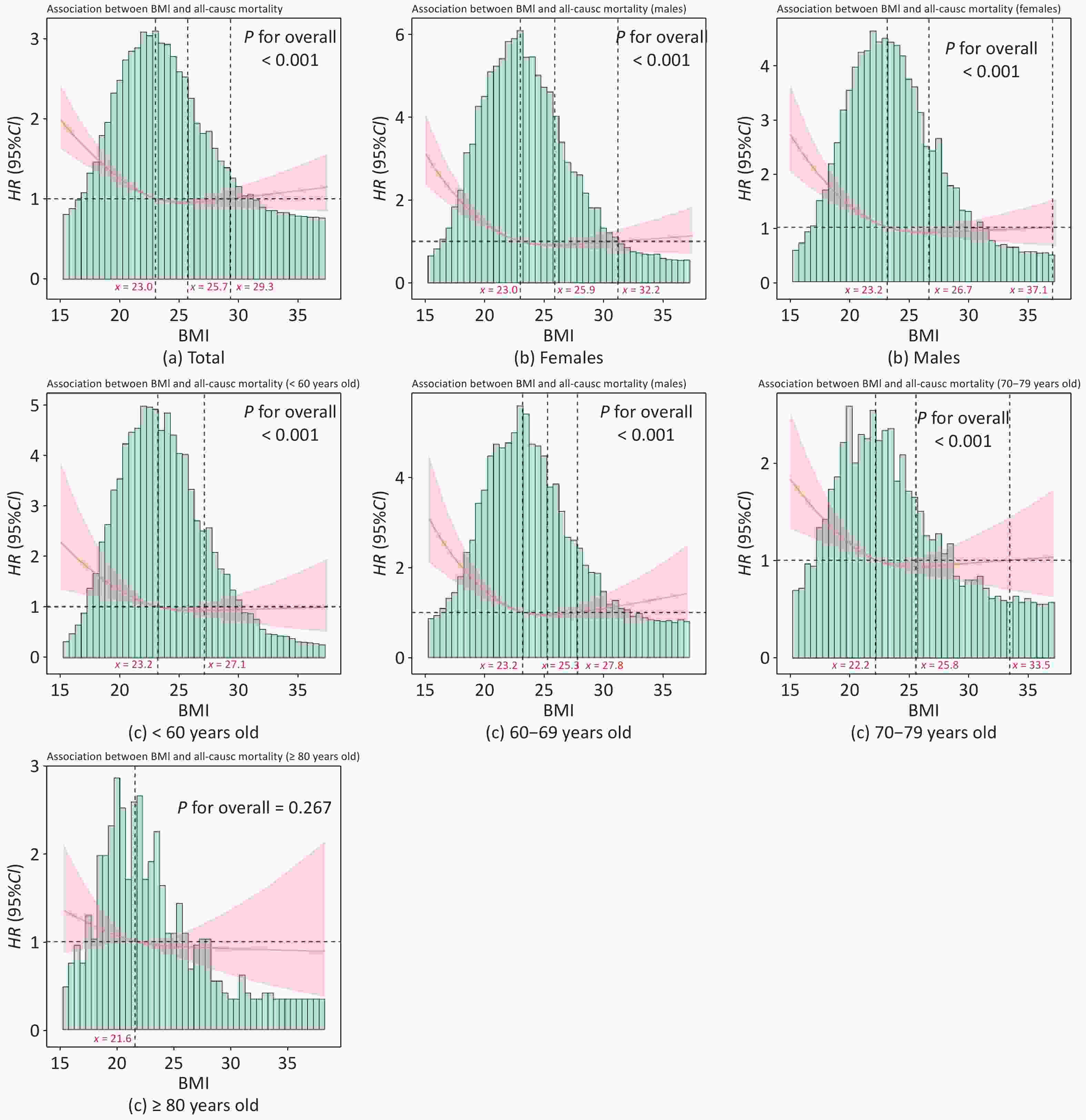
    Figure  3.  Continuous association between BMI and all-cause mortality in 10 years in different sex and age groups.

    Restricted cubic splines showed a continuously adjusted association between BMI and risk of all-cause mortality. The shaded area shows the 95% confidence interval for the estimated hazard ratios associated with different BMI levels after adjusting for the variables of incidence of death ratios, with significant associations, as shown in Table 2. A U-shaped association was observed between BMI and the risk of all-cause mortality, with a nadir risk of 25.7 kg/m2. The same trends were observed in all sex groups and in the < 60, 60–69, and 70–79 age groups. BMI was treated as a continuous variable. BMI, body mass index.

    Table  1.   Characteristics of study population at baseline survey in 2013

    Characteristics Total
    N (%)
    BMIa P for χ2 test
    Underweight
    (< 18.5 kg/m2)
    Desirable
    (≥ 18.5 to < 24.0 kg/m2)
    Overweight
    (≥ 24.0 to < 28.0 kg/m2)
    Obesity
    (≥ 28.0 kg/m2)
    Total 19,107 (100) 1,224 (6.41) 10,128 (53.01) 5,691 (29.78) 2,064 (10.80)
    Sex 0.016
    Women 10,345 (54.14) 639 (52.21) 5,423 (53.54) 3,108 (54.61) 1,175 (56.93)
    Men 8,762 (45.86) 585 (47.79) 4,705 (46.46) 2,583 (45.39) 889 (43.07)
    Age (years) < 0.001
    < 40 5,233 (27.39) 580 (47.39) 3,045 (30.07) 1,115 (19.59) 493 (23.89)
    40–49 4,760 (24.91) 121 (9.89) 2,282 (22.53) 1,727 (30.35) 630 (30.52)
    50–59 3,758 (19.67) 119 (9.72) 1,849 (18.26) 1,348 (23.69) 442 (21.41)
    ≥ 60 5,356 (28.03) 404 (33.01) 2,952 (29.15) 1,501 (26.37) 499 (24.18)
    Education level < 0.001
    Primary school or lower 9,385 (49.12) 532 (43.46) 4,831 (47.70) 2,904 (51.03) 1,118 (54.17)
    Middle school 6,681 (34.97) 383 (31.29) 3,541 (34.96) 2,060 (36.20) 697 (33.77)
    High school 2,377 (12.44) 245 (20.02) 1,362 (13.45) 583 (10.24) 187 (9.06)
    College or higher 664 (3.48) 64 (5.23) 394 (3.89) 144 (2.53) 62 (3.00)
    Marital status < 0.001
    Unmarried 1,921 (10.05) 416 (33.99) 1,201 (11.86) 215 (3.78) 89 (4.31)
    Married 15,944 (83.45) 719 (58.74) 8,228 (81.24) 5,128 (90.11) 1,869 (90.55)
    Divorced 88 (0.46) 4 (0.33) 53 (0.52) 28 (0.49) 3 (0.15)
    Widowed 1,154 (6.04) 85 (6.94) 646 (6.38) 320 (5.62) 103 (4.99)
    Household per capita income (RMB) < 0.001
    < 6,000 11,582 (60.62) 934 (76.31) 6,155 (60.77) 3,217 (56.53) 1,276 (61.82)
    ≥ 6,000 7,525 (39.38) 290 (23.69) 3,973 (39.23) 2,474 (43.47) 788 (38.18)
    Smoking status 0.002
    Never smoker 13,611 (71.24) 907 (74.10) 7,106 (70.16) 4,088 (71.83) 1,510 (73.16)
    Ever smoker or current smoker 5,496 (28.76) 317 (25.90) 3,022 (29.84) 1,603 (28.17) 554 (26.84)
    Alcohol drinking < 0.001
    No 14,947 (78.23) 1,070 (87.42) 7,990 (78.89) 4,315 (75.82) 1,572 (76.16)
    Yes 4,160 (21.77) 154 (12.58) 2,138 (21.11) 1,376 (24.18) 492 (23.84)
    History of hypertensionb < 0.001
    No 16,202 (84.80) 1,130 (92.32) 8,918 (88.05) 4,584 (80.55) 1,570 (76.07)
    Yes 2,905 (15.20) 94 (7.68) 1,210 (11.95) 1,107 (19.45) 494 (23.93)
    History of diabetes mellitusc < 0.001
    No 18,114 (94.80) 1,200 (98.04) 9,778 (96.54) 5,303 (93.18) 1,833 (88.81)
    Yes 993 (5.20) 24 (1.96) 350 (3.46) 388 (6.82) 231 (11.19)
    History of cardiovascular diseasesd < 0.001
    No 17,883 (93.59) 1,152 (94.12) 9,568 (94.47) 5,279 (92.76) 1,884 (91.28)
    Yes 1,224 (6.41) 72 (5.88) 560 (5.53) 412 (7.24) 180 (8.72)
    History of respiratory diseasese < 0.001
    No 17,849 (93.42) 1,085 (88.64) 9,495 (93.75) 5,329 (93.64) 1,940 (93.99)
    Yes 1,258 (6.58) 139 (11.36) 633 (6.25) 362 (6.36) 124 (6.01)
    History of cancerf 0.750
    No 18,924 (99.04) 1,210 (98.86) 10,031 (99.04) 5,635 (99.02) 2,048 (99.22)
    Yes 183 (0.96) 14 (1.14) 97 (0.96) 56 (0.98) 16 (0.78)
    Study sites < 0.001
    Longxi Site 5,265 (27.56) 260 (21.24) 2,914 (28.77) 1,653 (29.05) 438 (21.22)
    Danyang Site 4,456 (23.32) 166 (13.56) 1,991 (19.66) 1,438 (25.27) 861 (41.72)
    Zhongmu Site 4,933 (25.82) 381 (31.13) 2,710 (26.76) 1,383 (24.30) 459 (22.24)
    Xiangtan Site 4,453 (23.31) 417 (34.07) 2,513 (24.81) 1,217 (21.38) 306 (14.83)
    Frequence of fruit intake (per week) 0.06
    < 1 day 38 (0.20) 7 (0.57) 15 (0.15) 11 (0.19) 5 (0.24)
    1–3 days 207 (1.08) 13 (1.06) 112 (1.11) 65 (1.14) 17 (0.82)
    4–6 days 637 (3.33) 44 (3.59) 360 (3.55) 176 (3.09) 57 (2.76)
    7 days 18,225 (95.38) 1,160 (94.77) 9,641 (95.19) 5,439 (95.57) 1,985 (96.17)
    Frequence of meat intake (per week) 0.002
    < 1 day 2,437 (12.75) 156 (12.75) 1,303 (12.87) 696 (12.23) 282 (13.66)
    1–3 days 7,110 (37.21) 442 (36.11) 3,811 (37.63) 2,059 (36.18) 798 (38.66)
    4–6 days 4,455 (23.32) 303 (24.75) 2,381 (23.51) 1,366 (24.00) 405 (19.62)
    7 days 5,105 (26.72) 323 (26.39) 2,633 (26.00) 1,570 (27.59) 579 (28.05)
    Frequence of bean intake (per week) < 0.001
    < 1 day 7,627 (39.92) 469 (38.32) 3,927 (38.77) 2,280 (40.06) 951 (46.08)
    1–3 days 8,014 (41.94) 514 (41.99) 4,360 (43.05) 2,375 (41.73) 765 (37.06)
    4–6 days 2,368 (12.39) 166 (13.56) 1,280 (12.64) 681 (11.97) 241 (11.68)
    7 days 1,098 (5.75) 75 (6.13) 561 (5.54) 355 (6.24) 107 (5.18)
    Intensity of job < 0.001
    Mild 7,224 (37.81) 689 (56.29) 3,956 (39.06) 1,882 (33.07) 697 (33.77)
    Moderate 10,217 (53.47) 464 (37.91) 5,225 (51.59) 3,302 (58.02) 1,226 (59.40)
    Severe 95 (0.50) 3 (0.25) 48 (0.47) 32 (0.56) 12 (0.58)
    Extreme severe 1,571 (8.22) 68 (5.56) 899 (8.88) 475 (8.35) 129 (6.25)
      Note. Data are presented as n (%), unless otherwise specified. The sum of the percentages may not always be 100%, because of rounding. aBMI was classified into four categories according to Chinese standard: Underweight (< 18.5 kg/m2), Desirable weight (≥ 18.5 to < 24.0 kg/m2) (reference), Overweight (≥ 24.0 to < 28.0 kg/m2), Obesity (≥ 28.0 kg/m2). bSelf-reported history of hypertension or hypertension records from the chronic disease system or the cause of death system of the local Center for Disease Control and Prevention. cSelf-reported history of diabetes mellitus or fasting blood glucose ≥ 7 mmol/L at baseline, diabetes mellitus records from the Chronic Diseases Management System, or the Cause of Mortality Registration System of the local Center for Disease Control and Prevention. dSelf-reported history of cardiovascular diseases or cardiovascular diseases records from the Chronic Diseases Management System or Cause of Mortality Registration System of the local Center for Disease Control and Prevention, including myocardial infarction, coronary syndrome, atherosclerosis, stenosis, coronary heart disease, and cerebral infarction. eSelf-reported history of respiratory diseases or respiratory disease records from the Chronic Diseases Management System or the Cause of Mortality Registration System of the local Center for Disease Control and Prevention, including chronic obstructive pulmonary disease, pneumonia, chronic bronchitis, asthma, and pulmonary emphysema. fSelf-reported history of cancer or cancer records from the Chronic Diseases Management System or the Cause of Mortality Registration System of the local Center for Disease Control and Prevention. BMI, body mass index.
    下载: 导出CSV

    Table  2.   Potential factors associated with all-cause mortality rate in 10 years in the study population

    Baseline Characteristics Incidence of death (ID) per 1,000 person-years ID ratio (95% CI) Adjusted HR (95% CI)a
    Total 1,910/163,095 (11.71) NA NA
    Sex
    Women 830/87,956 (9.44) Reference Reference
    Men 1,080/75,138 (14.37) 2.13 (1.88–2.42)
    Age (years)
    < 40 20/43,303 (0.46) Reference Reference
    40–49 121/42,686 (2.83) 6.14 (3.82–9.85) 6.51 (3.95–10.72)
    50–59 217/33,995 (6.38) 13.82 (8.74–21.85) 12.12 (7.46–19.68)
    ≥ 60 1,552/43,109 (36.00) 77.95 (50.15–121.20) 40.69 (25.25–65.57)
    BMI (kg/m2)
    < 18.5 212/9,394 (22.57) 1.80 (1.55–2.08) 2.00 (1.66–2.41)
    ≥ 18.5 to < 24.0 1,072/85,275 (12.57) Reference Reference
    ≥ 24.0 to < 28.0 453/49,925 (9.07) 0.72 (0.64–0.81) 0.61 (0.52–0.73)
    ≥ 28.0 173/18,500 (9.35) 0.74 (0.63–0.87) 0.51 (0.37–0.70)
    Education level
    Primary school or lower 1,550/79,901 (19.40) Reference Reference
    Middle school 289/57,913 (4.99) 0.26 (0.23–0.29) 0.71 (0.62–0.81)
    High school 66/20,100 (3.28) 0.17 (0.13–0.22) 0.65 (0.50–0.84)
    College or higher 5/5,179 (0.97) 0.05 (0.02–0.12) 0.55 (0.22–1.34)
    Marital status
    Unmarried 50/15,210 (3.29) Reference Reference
    Married 1,436/138,381 (10.38) 3.16 (2.38–4.19) 1.05 (0.78–1.41)
    Divorced 9/765 (11.76) 3.58 (1.76–7.28) 1.18 (0.58–2.42)
    Widowed 415/8,736 (47.50) 14.45 (10.78–19.38) 1.89 (1.38–2.57)
    Household per capita income (RMB)
    < 6,000 1,580/98,011 (16.12) Reference Reference
    ≥ 6,000 330/65,083 (5.07) 0.31 (0.28–0.35) 0.62 (0.54–0.71)
    Smoking status
    Never smoker 1,181/115,127 (10.26) Reference Reference
    Ever smoker or current smoker 729/47,968 (15.20) 1.48 (1.35–1.63) 1.08 (0.95–1.22)
    Alcohol drinking
    No 1,515/126,020 (12.02) Reference Reference
    Yes 395/37,074 (10.65) 0.89 (0.79–0.99) 0.90 (0.79–1.02)
    History of hypertension
    No 1,296/137,938 (9.40) Reference Reference
    Yes 614/25,156 (24.41) 2.60 (2.36–2.86) 1.07 (0.96–1.19)
    History of diabetes mellitus
    No 1,704/154,797 (11.01) Reference Reference
    Yes 206/8,298 (24.83) 2.26 (1.95–2.61) 1.54 (1.33–1.79)
    History of cardiovascular diseases
    No 1,510/153,739 (9.82) Reference Reference
    Yes 400/9,356 (42.75) 4.35 (3.90–4.86) 2.44 (1.89–3.13)
    History of respiratory diseases
    No 1,615/155,458 (10.39) Reference Reference
    Yes 295/7,637 (38.63) 3.72 (3.28–4.21) 2.01 (1.52–2.65)
    History of cancer
    No 1,845/161,792 (11.40) Reference Reference
    Yes 65/1,302 (49.92) 4.38 (3.42–5.61) 3.20 (2.49–4.12)
    Study sites
    Longxi Site 271/35,321 (7.67) Reference Reference
    Danyang Site 546/44,822 (12.18) 1.59 (1.37–1.84) 1.01 (0.85–1.20)
    Zhongmu Site 360/40,662 (8.85) 1.15 (0.99–1.35) 1.25 (1.06–1.47)
    Xiangtan Site 733/42,288 (17.33) 2.26 (1.97–2.60) 1.29 (1.12–1.50)
    Frequence of fruit intake (per week) NA
    < 1 day 5/282 (17.73) Reference
    1–3 days 21/1,840 (11.41) 0.64 (0.24–1.71)
    4–6 days 62/5,197 (11.93) 0.67 (0.27–1.67)
    7 days 1,822/155,774 (11.70) 0.66 (0.27–1.59)
    Frequence of meat intake (per week)
    < 1 day 388/20,965 (18.51) Reference Reference
    1–3 days 780/61,371 (12.71) 0.69 (0.61–0.78) 0.87 (0.77–0.99)
    4–6 days 356/37,312 (9.54) 0.52 (0.45–0.60) 0.82 (0.71–0.96)
    7 days 386/43,446 (8.88) 0.48 (0.42–0.55) 0.81 (0.70–0.94)
    Frequence of bean intake (per week)
    < 1 day 873/66,506 (13.13) Reference Reference
    1–3 days 766/67,316 (11.38) 0.87 (0.79–0.96) 0.99 (0.89–1.11)
    4–6 days 202/19,858 (10.17) 0.77 (0.67–0.90) 0.96 (0.81–1.14)
    7 days 69/9,412 (7.33) 0.56 (0.44–0.71) 0.81 (0.62–1.05)
    Intensity of job
    Mild 947/57,658 (16.42) Reference Reference
    Moderate 899/90,426 (9.94) 0.61 (0.55–0.66) 0.57 (0.52–0.64)
    Severe 10/792 (12.63) 0.77 (0.41–1.43) 0.98 (0.84–2.97)
    Extremely severe 54/14,217 (3.80) 0.23 (0.18–0.30) 0.89 (0.44–1.29)
      Note. BMI, body mass index. ID: Incidence of death. NA, not available. CI, confidence interval. HR, hazards ratio. Data were death/total (%), unless otherwise specified. BMI was classified into four categories according to Chinese standard: Underweight (< 18.5 kg/m2), Desirable weight (≥ 18.5 to < 24.0 kg/m2) (reference), Overweight (≥ 24.0 to < 28.0 kg/m2), Obesity (≥ 28.0 kg/m2). aAdjusted for sex, age, education level, marital status, income, smoking status, alcohol drinking status, history of hypertension, diabetes mellitus, cardiovascular diseases, respiratory diseases and cancer, study sites of participants, frequency of meat intake, frequency of bean intake, and job intensity using Cox models.
    下载: 导出CSV

    Table  3.   Associations between BMI and cause-specific mortality in 10 years

    Cause-specific mortality Incidence of death per 1,000 person-years BMI
    Underweight
    (< 18.5 kg/m2)
    Desirable
    (≥ 18.5 to < 24.0 kg/m2)
    Overweight
    (≥ 24.0 to < 28.0 kg/m2)
    Obesity
    (≥ 28.0 kg/m2)
    Incidence of death1 per 1,000 person-years aHR1
    (95% CI)a
    Incidence of death2 per 1,000 person-years aHR2
    (95% CI)a
    Incidence of death3 per 1,000 person-years aHR3
    (95% CI)a
    Incidence of death4 per 1,000 person-years aHR4
    (95% CI) a
    CVD mortality 851/163,095
    (5.22)
    94/9,394
    (10.01)
    2.09 (1.59–2.74) 476/85,275
    (5.58)
    Reference 189/49,925
    (3.79)
    0.52 (0.40–0.67) 92/18,500
    (4.97)
    0.46 (0.29–0.74)
    Respiratory diseases mortality 194/163,095
    (1.19)
    42/9,394
    (4.47)
    1.78 (1.08–2.91) 114/85,275
    (1.34)
    Reference 26/49,925
    (0.52)
    0.49 (0.28–0.86) 12/18,500
    (0.65)
    0.84 (0.34–2.13)
    Cancer mortality 430/163,095
    (2.64)
    30/9,394
    (3.19)
    1.54 (0.98–2.41) 243/85,275
    (2.85)
    Reference 127/49,925
    (2.54)
    0.79 (0.55–1.12) 30/18,500
    (1.62)
    0.46 (0.22–1.04)
    Other reasons mortality 435/163,095
    (2.67)
    46/9,394
    (4.90)
    2.16 (1.40–3.32) 239/85,275
    (2.80)
    Reference 111/49,925
    (2.22)
    0.67 (0.45–1.00) 39/18,500
    (2.11)
    0.46 (0.21–0.97)
      Note. Data are presented as n/N (%), unless otherwise specified. BMI was classified into four categories according to Chinese standard: Underweight (< 18.5.0 kg/m2), Desirable weight (≥ 18.5 to < 24.0 kg/m2) (reference), Overweight (≥ 24.0 to < 28.0 kg/m2), and Obesity (≥ 28.0 kg/m2). aAdjusted for sex, age, education level, marital status, per income, smoking status, current alcohol drinking status, history of hypertension, diabetes mellitus, cardiovascular diseases, respiratory diseases and cancer, study sites of participants, frequency of meat intake, frequency of bean intake, and job intensity, using Cox models. BMI, body mass index. aHR, adjusted hazard ratio.
    下载: 导出CSV
  • [1] Landsberg L, Aronne LJ, Beilin LJ, et al. Obesity-related hypertension: pathogenesis, cardiovascular risk, and treatment: a position paper of the obesity society and the American society of hypertension. J Clin Hypertens, 2013; 15, 14−33. doi:  10.1111/jch.12049
    [2] Powell-Wiley TM, Poirier P, Burke LE, et al. Obesity and cardiovascular disease: a scientific statement from the American heart association. Circulation, 2021; 143, e984−e1010. doi:  10.1161/CIR.0000000000000973
    [3] Choukem SP, Dimala CA. BMI and diabetes risk in low-income and middle-income countries. Lancet, 2021; 398, 190−2. doi:  10.1016/S0140-6736(21)01425-2
    [4] Kim T, Shin SH, Kim H, et al. Longitudinal BMI change and outcomes in chronic obstructive pulmonary disease: a nationwide population-based cohort study. Respir Res, 2024; 25, 150. doi:  10.1186/s12931-024-02788-0
    [5] Avgerinos KI, Spyrou N, Mantzoros CS, et al. Obesity and cancer risk: emerging biological mechanisms and perspectives. Metabolism, 2019; 92, 121−35. doi:  10.1016/j.metabol.2018.11.001
    [6] Garcia III GR, Coleman NC, Pond ZA, et al. Shape of BMI-mortality risk associations: reverse causality and heterogeneity in a representative cohort of US adults. Obesity, 2021; 29, 755−66. doi:  10.1002/oby.23114
    [7] Bhaskaran K, Dos-Santos-Silva I, Leon DA, et al. Association of BMI with overall and cause-specific mortality: a population-based cohort study of 3·6 million adults in the UK. Lancet Diabetes Endocrinol, 2018; 6, 944−53. doi:  10.1016/S2213-8587(18)30288-2
    [8] Liu SH, Cao WZ, Li ZQ, et al. Association between different adiposity measures and all-cause mortality risk among centenarians: a prospective cohort study. Clin Nutr, 2023; 42, 1219−26. doi:  10.1016/j.clnu.2023.04.023
    [9] Di Angelantonio E, Bhupathiraju SN, Wormser D, et al. Body-mass index and all-cause mortality: individual-participant-data meta-analysis of 239 prospective studies in four continents. Lancet, 2016; 388, 776−86. doi:  10.1016/S0140-6736(16)30175-1
    [10] Kim HJ, Kim BS, Lee JH, et al. Impact of underweight on 3-year all-cause mortality in patients with acute severe hypertension: a retrospective cohort study. Sci Rep, 2022; 12, 4798. doi:  10.1038/s41598-022-08892-9
    [11] Jerant A, Franks P. Body mass index, diabetes, hypertension, and short-term mortality: a population-based observational study, 2000-2006. J Am Board Fam Med, 2012; 25, 422−31. doi:  10.3122/jabfm.2012.04.110289
    [12] Song R, Chen XJ, He K, et al. Associations of BMI with all-cause mortality in normoglycemia, impaired fasting glucose and type 2 diabetes mellitus among an elderly Chinese population: a cohort study. BMC Geriatr, 2022; 22, 690. doi:  10.1186/s12877-022-03382-z
    [13] Lin CC, Li CI, Liu CS, et al. Obesity paradox in associations between body mass index and diabetes-related hospitalization and mortality in patients with type 2 diabetes: retrospective cohort studies. Diabetes Metab, 2019; 45, 564−72. doi:  10.1016/j.diabet.2019.02.007
    [14] Ji ZC, de Miguel-Díez J, Castro-Riera CR, et al. Differences in the outcome of patients with COPD according to body mass index. J Clin Med, 2020; 9, 710. doi:  10.3390/jcm9030710
    [15] Spelta F, Fratta Pasini AM, Cazzoletti L, et al. Body weight and mortality in COPD: focus on the obesity paradox. Eat Weight Disord, 2018; 23, 15−22. doi:  10.1007/s40519-017-0456-z
    [16] Nowak MM, Niemczyk M, Gołębiewski S, et al. Impact of body mass index on all-cause mortality in adults: a systematic review and meta-analysis. J Clin Med, 2024; 13, 2305. doi:  10.3390/jcm13082305
    [17] Department of Medical Administration, National Health Commission of the People’s Republic of China. Chinese guidelines for the clinical management of obesity (2024 Edition). Med J Peking Union Med College Hospital, 2025; 16, 90−108. (In Chinese)
    [18] Lv YB, Zhang Y, Li XW, et al. Body mass index, waist circumference, and mortality in subjects older than 80 years: a Mendelian randomization study. Eur Heart J, 2024; 45, 2145−54. doi:  10.1093/eurheartj/ehae206
    [19] Lv YB, Mao C, Gao X, et al. The obesity paradox is mostly driven by decreased noncardiovascular disease mortality in the oldest old in China: a 20-year prospective cohort study. Nat Aging, 2022; 2, 389−96. doi:  10.1038/s43587-022-00201-3
    [20] Gao L, Lu W, Bai LQ, et al. Latent tuberculosis infection in rural China: baseline results of a population-based, multicentre, prospective cohort study. Lancet Infect Dis, 2015; 15, 310−9. doi:  10.1016/S1473-3099(14)71085-0
    [21] Cheng FW, Gao X, Mitchell DC, et al. Body mass index and all-cause mortality among older adults. Obesity, 2016; 24, 2232−9. doi:  10.1002/oby.21612
    [22] Flegal KM, Kit BK, Orpana H, et al. Association of all-cause mortality with overweight and obesity using standard body mass index categories: a systematic review and meta-analysis. JAMA, 2013; 309, 71−82. doi:  10.1001/jama.2012.113905
    [23] Zhu YB, Wang Q, Pang GM, et al. Association between body mass index and health-related quality of life: the “obesity paradox” in 21, 218 adults of the Chinese general population. PLoS One, 2015; 10, e0130613. doi:  10.1371/journal.pone.0130613
    [24] Shaikh SR, Beck MA, Alwarawrah Y, et al. Emerging mechanisms of obesity-associated immune dysfunction. Nat Rev Endocrinol, 2024; 20, 136−48. doi:  10.1038/s41574-023-00932-2
    [25] Yeung SSY, Reijnierse EM, Pham VK, et al. Sarcopenia and its association with falls and fractures in older adults: a systematic review and meta-analysis. J Cachexia Sarcopenia Muscle, 2019; 10, 485−500. doi:  10.1002/jcsm.12411
    [26] Childers DK, Allison DB. The‘obesity paradox’: a parsimonious explanation for relations among obesity, mortality rate and aging?. Int J Obes, 2010; 34, 1231−8. doi:  10.1038/ijo.2010.71
    [27] Bales CW, Buhr GT. Body mass trajectory, energy balance, and weight loss as determinants of health and mortality in older adults. Obes Facts, 2009; 2, 171−8. doi:  10.1159/000221008
    [28] Ditillo M, Pandit V, Rhee P, et al. Morbid obesity predisposes trauma patients to worse outcomes: a national trauma data bank analysis. J Trauma Acute Care Surg, 2014; 76, 176−9. doi:  10.1097/TA.0b013e3182ab0d7c
    [29] Winfield RD, Bochicchio GV. The critically injured obese patient: a review and a look ahead. J Am Coll Surg, 2013; 216, 1193−206. doi:  10.1016/j.jamcollsurg.2013.01.055
    [30] Oreopoulos A, Kalantar-Zadeh K, Sharma AM, et al. The obesity paradox in the elderly: potential mechanisms and clinical implications. Clin Geriatr Med, 2009; 25, 643−59. doi:  10.1016/j.cger.2009.07.005
    [31] Xiao FH, Chen XQ, Yu Q, et al. Transcriptome evidence reveals enhanced autophagy-lysosomal function in centenarians. Genome Res, 2018; 28, 1601−10. doi:  10.1101/gr.220780.117
    [32] Passtoors WM, Beekman M, Deelen J, et al. Gene expression analysis of mTOR pathway: association with human longevity. Aging Cell, 2013; 12, 24−31. doi:  10.1111/acel.12015
    [33] Sandhu RK, Ezekowitz J, Andersson U, et al. The ‘obesity paradox’ in atrial fibrillation: observations from the ARISTOTLE (Apixaban for Reduction in Stroke and Other Thromboembolic Events in Atrial Fibrillation) trial. Eur Heart J, 2016; 37, 2869−78. doi:  10.1093/eurheartj/ehw124
    [34] Lin GM, Li YH, Lin CL, et al. Relation of body mass index to mortality among Asian patients with obstructive coronary artery disease during a 10-year follow-up: a report from the ET-CHD registry. Int J Cardiol, 2013; 168, 616−20. doi:  10.1016/j.ijcard.2013.01.204
    [35] Younis A, Younis A, Goldkorn R, et al. The association of body mass index and 20-Year all-cause mortality among patients with stable coronary artery disease. Heart Lung Circ, 2019; 28, 719−26. doi:  10.1016/j.hlc.2018.02.015
  • [1] Juanjuan Li, Zhe Zhang, Jijuan Zhang, Yuxiang Wang, Hancheng Yu, Gang Liu, An Pan, Yunfei Liao, Tingting Geng.  Joint Associations of Sarcopenia and Social Isolation with Mortality: Two Prospective Cohort Studies across Different Cultural Contexts . Biomedical and Environmental Sciences, 2026, 39(1): 3-14. doi: 10.3967/bes2025.113
    [2] Zhiyuan Ning, Jinglan Zhang, Bingbing Fan, Yanlin Qu, Chang Su, Tao Zhang.  Life-Course Trajectories of Body Mass Index, Insulin Resistance, and Incident Diabetes in Chinese Adults . Biomedical and Environmental Sciences, 2025, 38(6): 706-715. doi: 10.3967/bes2025.072
    [3] LI Ya Mei, ZOU Zhi Yong, MA Ying Hua, LUO Jia You, JING Jin, ZHANG Xin, LUO Chun Yan, WANG Hong, ZHAO Hai Ping, PAN De Hong, LUO Mi Yang.  Predicting Metabolic Syndrome Using Anthropometric Indices among Chinese Adolescents with Different Nutritional Status: A Multicenter Cross-sectional Study . Biomedical and Environmental Sciences, 2021, 34(9): 673-682. doi: 10.3967/bes2021.095
    [4] WANG Zhuo Qun, ZHAI Yi, LI Man, YANG Xiu Feng, ZHANG Jian, REN Ze Ping, ZHANG Mei, SONG Peng Kun, ZHAO Yan Fang, MI Sheng Quan, ZHANG Lu, YANG Mao Xiang, ZHAO Wen Hua.  Association between Baseline SBP/DBP and All-Cause Mortality in Residents of Shanxi, China: A Population-based Cohort Study from 2002 to 2015 . Biomedical and Environmental Sciences, 2021, 34(1): 1-8. doi: 10.3967/bes2021.002
    [5] ZHU Zheng Bao, HUANGFU Xin Feng, ZHONG Chong Ke, ZHOU Yi Peng, TIAN Yun Fan, BUREN Batu, XU Tian, WANG Ai Li, LI Hong Mei, ZHANG Ming Zhi, ZHANG Yong Hong.  Combined Effects of Family History of Cardiovascular Disease and Serum C-reactive Protein Level on the Risk of Stroke:A 9.2-year Prospective Study among Mongolians in China . Biomedical and Environmental Sciences, 2017, 30(9): 632-640. doi: 10.3967/bes2017.084
    [6] WANG YunFeng, TANG Zhe, GUO Jin, TAO LiXin, LIU Long, LI HaiBin, LI DiTian, GUO XiuHua, YANG XingHua.  BMI and BMI Changes to All-cause Mortality among the Elderly in Beijing: a 20-year Cohort Study . Biomedical and Environmental Sciences, 2017, 30(2): 79-87. doi: 10.3967/bes2017.011
    [7] WANG Jin Wei, TANG Xun, LI Na, WU Yi Qun, LI Shuai, LI Jin, QIN Xue Ying, ZHANG Zong Xin, HU Yong Hua, CHEN Da Fang.  The Impact of Lipid-metabolizing Genetic Polymorphisms on Body Mass Index and Their Interactions with Soybean Food Intake:A Study in a Chinese Population . Biomedical and Environmental Sciences, 2014, 27(3): 176-185. doi: 10.3967/bes2014.039
    [8] YANG Fang, CHEN Xiang Ding, TAN Li Jun, SHEN Jie, LI Ding You, ZHANG Fang, SHA Bao Yong, DENG Hong Wen.  Genome Wide Association Study:Searching for Genes Underlying Body Mass Index in the Chinese . Biomedical and Environmental Sciences, 2014, 27(5): 360-370. doi: 10.3967/bes2014.061
    [9] JI Cheng Ye, CHEN Tian Jiao, SUN Xiao.  Secular Changes on the Distribution of Body Mass Index among Chinese Children and Adolescents, 1985-2010 . Biomedical and Environmental Sciences, 2013, 26(7): 520-530. doi: 10.3967/0895-3988.2013.07.002
    [10] Syed Shahid HABIB.  Body Mass Index and Body Fat Percentage in Assessment of Obesity Prevalence in Saudi Adults . Biomedical and Environmental Sciences, 2013, 26(2): 94-99. doi: 10.3967/0895-3988.2013.02.003
    [11] SHAN Guang Liang, WEI Da Ying, WANG Chun Xiu, ZHANG Jian Hua, WANG Bin, MA Ming Ju, PAN Li, YU Tao, XUE Fang, WANG Ping, WU Zheng Lai.  Body Mass Index and Hypertension Hemodynamic Subtypes in Yi Farmers and Migrants . Biomedical and Environmental Sciences, 2012, 25(1): 53-60. doi: 10.3967/0895-3988.2012.01.008
    [12] SHAN GuangLiang, WEI DaYing, WANG ChunXiu, ZHANG JianHua, Wang Bin, MA MingJu, PAN Li, YU Tao, XUE Fang, WU ZhengLai.  Trends of Overweight and Obesity in Yi People between 1996 and 2007: An Yi Migrant Study . Biomedical and Environmental Sciences, 2011, 24(5): 467-474. doi: 10.3967/0895-3988.2011.05.003
    [13] YI-QUN XU, CHENG-YE JI, COOPERATIVE STUDY ON CHILDHOOD OBESITY:WORKING GROUP ON OBESITY IN CHINA.  Report on Childhood Obesity in China (7)Comparison of NCHS and WGOC . Biomedical and Environmental Sciences, 2008, 21(4): 271-279.
    [14] YAN-PING LI, GUAN-SHENG MA, EVERT G. SCHOUTEN, XIAO-QI HU, ZHAO-HUI CUI, DONG WANG, FRANS J. KOK.  Report on Childhood Obesity in China (5) Body Weight, Body Dissatisfaction, and Depression Symptoms of Chinese Children Aged 9-10 Years . Biomedical and Environmental Sciences, 2007, 20(1): 11-18.
    [15] YOU-GEN ZHU, SHU-MEI ZHANG, JI-YUE WANG, WEI-QIANG XIAO, XIN-YU WANG, JUN-FU ZHOU.  Overweight and Obesity-Induced Oxidative Stress in Children . Biomedical and Environmental Sciences, 2006, 19(5): 353-359.
    [16] WEI-LI YAN, YU-JIAN ZHENG, JUN WU, SHU-FENG CHEN, XIAO-KAI TI, LING LI, XIAO-RUI LIU.  Ethnic Differences in Body Mass Index and Prevalence of Obesity in School Children of Urumqi City, Xinjiang, China . Biomedical and Environmental Sciences, 2006, 19(6): 469-473.
    [17] CHENGYE JI, COOPERATIVE STUDY ON CHILDHOOD OBESITY,  WORKING GROUP ON OBESITY IN CHINA (WGOC).  Report on Childhood Obesity in China (1) Body Mass Index Reference for Screening Overweight and Obesity in Chinese School-age Children . Biomedical and Environmental Sciences, 2005, 18(6): 390-400.
    [18] HAI-DONG KAN, JIAN JIA, BING-HENG CHEN.  Temperature and Daily Mortality in Shanghai: A Time-series Study . Biomedical and Environmental Sciences, 2003, 16(2): 133-139.
    [19] ZHOU Bei-fan.  Predictive Values of Body Mass Index and Waist Circumference for Risk Factors of Certain Related Diseases in Chinese Adults - Study on Optimal Cut-off Points of Body Mass Index and Waist Circumference in Chinese Adults . Biomedical and Environmental Sciences, 2002, 15(1): 83-96.
    [20] LI XIN-HUA, LI TIAN-LIN, YANG Ze, LIU ZUN-YONG, WEI YI-DA, JIN SHU-XIANG, CHEN HONG, QIN RU-LI, LI Yan-qing, JANICE S.DORMAN, RONALD E.LAPORTE, WANG KE-AN.  A Nine-Year Prospective Study on the Incidence of Childhood Type 1 Diabetes Mellitus in China . Biomedical and Environmental Sciences, 2000, 13(4): 263-270.
  • 25014+Supplementary Materials.pdf
  • 加载中
图(3) / 表ll (3)
计量
  • 文章访问数:  715
  • HTML全文浏览量:  337
  • PDF下载量:  81
  • 被引次数: 0
出版历程
  • 收稿日期:  2025-01-09
  • 录用日期:  2025-09-25
  • 网络出版日期:  2025-11-05
  • 刊出日期:  2025-10-20

Association of Body Mass Index with All-Cause Mortality and Cause-Specific Mortality in Rural China: 10-Year Follow-up of a Population-Based Multicenter Prospective Study

doi: 10.3967/bes2025.128
    基金项目:  This work was supported by the CAMS Innovation Fund for Medical Sciences (CIFMS) [grant number 2021-I2M-1-037], and the National Natural Science Foundation of China [grant numbers 82373647, and 82473697].
    作者简介:

    Juanjuan Huang, PhD, majoring in epidemiology and biostatistics, E-mail: juanjh95@163.com

    Yuanzhi Di, Master's Degree, majoring in epidemiology and biostatistics, E-mail: tjnudyz@163.com

    Lingyu Shen, PhD, majoring in epidemiology and biostatistics, E-mail: shenlyi@163.com

    Jianguo Liang, Master's Degree, majoring in epidemiology and biostatistics, E-mail: liangjianguo0130@163.com

    通讯作者: Lei Gao, Professor, Tel: 86-13311185615, E-mail: gaolei@ipbcams.ac.cnHenan Xin, Associate Professor, Tel: 86- 18519103773, E-mail: xinhenan@ipbcams.ac.cn
注释:
1) Authors’ Contributions: 2) Competing Interests: 3) Ethics: 4) Data Sharing:

English Abstract

Juanjuan Huang, Yuanzhi Di, Lingyu Shen, Jianguo Liang, Jiang Du, Xuefang Cao, Weitao Duan, Aiwei He, Jun Liang, Limei Zhu, Zisen Liu, Fang Liu, Shumin Yang, Zuhui Xu, Cheng Chen, Bin Zhang, Jiaoxia Yan, Yanchun Liang, Rong Liu, Tao Zhu, Hongzhi Li, Fei Shen, Boxuan Feng, Yijun He, Zihan Li, Yaqi Zhao, Tonglei Guo, Liqiong Bai, Wei Lu, Qi Jin, Lei Gao, Henan Xin. Association of Body Mass Index with All-Cause Mortality and Cause-Specific Mortality in Rural China: 10-Year Follow-up of a Population-Based Multicenter Prospective Study[J]. Biomedical and Environmental Sciences, 2025, 38(10): 1179-1193. doi: 10.3967/bes2025.128
Citation: Juanjuan Huang, Yuanzhi Di, Lingyu Shen, Jianguo Liang, Jiang Du, Xuefang Cao, Weitao Duan, Aiwei He, Jun Liang, Limei Zhu, Zisen Liu, Fang Liu, Shumin Yang, Zuhui Xu, Cheng Chen, Bin Zhang, Jiaoxia Yan, Yanchun Liang, Rong Liu, Tao Zhu, Hongzhi Li, Fei Shen, Boxuan Feng, Yijun He, Zihan Li, Yaqi Zhao, Tonglei Guo, Liqiong Bai, Wei Lu, Qi Jin, Lei Gao, Henan Xin. Association of Body Mass Index with All-Cause Mortality and Cause-Specific Mortality in Rural China: 10-Year Follow-up of a Population-Based Multicenter Prospective Study[J]. Biomedical and Environmental Sciences, 2025, 38(10): 1179-1193. doi: 10.3967/bes2025.128
    • Body mass index (BMI) has been commonly used as a surrogate marker for identifying underweight, overweight, or obese individuals and is calculated as weight (kg)/height2 (m2). Prior prospective cohort studies have demonstrated that overweight and obesity increase the prevalence of various non-communicable diseases, including hypertension[1], cardiovascular diseases (CVD)[2], diabetes mellitus[3], respiratory diseases[4], and cancer[5]. In addition, accumulating evidence suggests a U-shaped or J-shaped relationship between BMI and mortality[68], indicating that overweight or obesity is linked to an increased risk of death. A meta-analysis involving 10.62 million participants on different continents from 239 prospective studies, with a median follow-up year of 13.7 years, found that all-cause mortality was lowest at a BMI of 20.0–25.0 kg/m2 (normal BMI) and increased significantly both below and above this range[9]. However, there are several clinical conditions in which the ideal BMI range of 18.5 to 24.0 kg/m2 fails to be a good indicator. For instance, studies have shown that patients with hypertension[10,11], diabetes[12,13] and respiratory diseases[14,15] have lower mortality when they are overweight or obese than when they have normal weight. A recent meta-analysis of 82 original studies involving 2.7 million individuals and 23.4 million person-years found similar outcomes, indicating that the lowest mortality rate was among those classified as overweight with a BMI between 25 and 30 kg/m2[16]. This phenomenon is referred to as the “obesity paradox”, highlighting that the association between BMI and mortality is more complex than previously thought.

      The BMI categories for defining overweight and obesity are influenced by factors such as age and race. The Chinese criteria differ from the World Health Organization (WHO) criteria used in the aforementioned studies. Based on the Chinese criteria, the most recent national data (2015–2019) revealed that 16.4% of Chinese adults were obese (BMI ≥ 28.0 kg/m2) and 34.3% were overweight (≥ 24.0 to < 28.0 kg/m2)[17]. Given this heavy burden, the potential effects of overweight and obesity on mortality in China are worth exploring. A recent Mendelian randomization study revealed an association between a higher BMI and a decreased risk of death, with an hazard ratios (HR) of 0.96 for each 1 kg/m2 increment in BMI. It also revealed a nonlinear, reverse J-shaped relationship between genetically predicted BMI and all-cause mortality, with the lowest mortality risk observed at a BMI of approximately 28.0 kg/m2[18]. Two additional prospective cohort studies corroborated these findings[12,19]; however, they focused on elderly people (> 80 years old) and individuals with particular diseases, which limits the generalizability of their results. Furthermore, the median follow-up duration ranged from three to six years, which was potentially insufficient for capturing the relevant endpoints. Additional research is warranted to confirm these findings.

      Our research team established a population-based, multicenter, prospective cohort involving the rural population aged ≥ 5 years old in 2013[20] and completed a 10-year follow-up in 2023. By utilizing the mortality data collected during the follow-up period, in conjunction with the baseline information obtained in 2023, we aimed to further explore the association between BMI and all-cause and cause-specific mortality.

    • In July 2013, a population-based multicenter baseline survey was conducted to assess latent tuberculosis infection among registered residents of rural China. Details of the baseline survey have been reported previously[20]. Briefly, 21,832 rural residents (≥ 5 years old) registered in the four local study sites (characterized by various tuberculosis epidemics, economic conditions, and geographical locations) participated in the baseline survey. Sociodemographic information and self-reported health status data were collected using a standardized questionnaire. Height and weight were measured for each participant, with height recorded to the nearest 0.1 cm (without hat) and weight measured to the nearest 0.01 kg (with light clothing). Baseline BMI was calculated by dividing weight (kg) by the square of height (m2) and classified into four categories according to the Chinese criteria: underweight (BMI < 18.5 kg/m2), desirable (BMI ≥ 18.5 to < 24.0 kg/m2), overweight (BMI ≥ 24.0 to < 28.0 kg/m2), and obese (BM ≥ 28.0 kg/m2).

      In October 2023, a 10-year follow-up was conducted at the same four study sites. All 21,832 participants were invited to participate in the closing survey. Those who declined the invitation, who could not be contacted, or who died were excluded. Considering that an obvious change in BMI would be expected in children and adolescents over the course of a decade, only individuals with a baseline age ≥ 15 years were included in the follow-up analysis.

    • During the 10-year follow-up period, each study participant was contacted by a local village doctor, who invited them to attend a physical examination and to respond a questionnaire at a designated location. For those who resided outside the local area during the follow-up period, a telephone survey was conducted. Trained interviewers collected sociodemographic information as well as self-reported information on primary disease history, including the presence and onset timing of various conditions such as hypertension, diabetes mellitus, CVD, respiratory diseases, cancer, liver and renal diseases, neuropsychiatric disorders, and immune system diseases. In addition to obtaining information on the primary disease history via a questionnaire, individuals diagnosed with hypertension, diabetes mellitus, CVD, respiratory diseases, or cancer who were registered in the Chronic Disease Management System were identified and matched with the study participants by their identification numbers. For participants who died, information regarding the time and cause of death and primary disease history was obtained from the Mortality Registration System (MRS).

    • Information on mortality, including the precise date and cause of death, was obtained from the local MRS. If the information was not documented in the MRS owing to recent fatalities or a change of residential address, it was collected from the closest relatives or village doctors. Survival time was defined as the period from the baseline survey to the date of death for the deceased (December 31, 2023) or to the date of their last follow-up for the survivors. Cause-specific mortality was classified into four types: CVD, respiratory diseases, cancer, and other reasons, according to the International Classification of Diseases (ICD, 10th revision codes).

    • Proportional hazard assumptions were first evaluated using Kolmogorov-type supremum tests. Cox proportional hazard regression models and Cox non-proportional hazard models (a combined model incorporating covariate stratification and time-interaction terms) were used according to the proportional hazard assumption results. Univariate incidence rate ratios were first calculated to explore potential factors associated with the all-cause mortality rate, and Cox models were used to estimate the associations of BMI with all-cause mortality and cause-specific mortality, utilizing aHRs and 95% confidence intervals (CIs) after adjusting for potential confounders. Covariates adjusted in the multivariable Cox models included sex, baseline age, baseline educational level, baseline marital status, baseline household per capita income, baseline smoking status, baseline alcohol drinking status, study sites, history of primary disease (self-reported both at baseline and at the 10-year follow-up combined with information exported from the Chronic Disease Management System and MRS), dietary confounders (frequence of meat and bean consumption) and job intensity. Subgroup analyses of the association between BMI and all-cause mortality were conducted for several potential confounders, including sex, baseline age, baseline smoking status, baseline alcohol drinking status, and history of primary disease (hypertension, diabetes mellitus, CVD, respiratory diseases, and cancer). The risk of death across the four BMI categories was visualized and estimated using the Kaplan-Meier function (the P-value was calculated using the log-rank test). Additionally, restricted cubic spline analyses were conducted to assess the multivariable-adjusted associations between BMI, treated as a continuous variable, and all-cause mortality across different subgroups defined by sex and age, employing three knots in the spline analysis. To decrease the possibility of reverse causality, a sensitivity analysis was conducted after excluding individuals who died within the initial two years of the study (2013–2015). All statistical analyses were performed using SAS (version 9.4) and R (version 4.4.1).

    • After excluding one participant with missing height or weight data and 2,724 participants younger than 15 years, 19,107 participants with a total of 163,095 person-years were included in the current analysis. A little over half of the participants (10,345/19,107, 54.14%) were women, and most participants were younger than 60 years (13,751/19,107, 71.97%). Approximately 30% (5,496/19,107, 28.76%) and 20% (4,160/19,107, 21.77%) of the study participants had smoking and drinking habits, respectively. At baseline, 15.20% (2,905/19,107), 5.20% (993/19,107), 6.41% (1,224/19,107), 6.58% (1,258/19,107), and 0.96% (183/19,107) of the participants had a history of hypertension, diabetes mellitus, CVD, respiratory diseases, or cancer, respectively. Among the enrolled participants, 6.41% (1,224/19,107) were underweight, 53.01% (10,128/19,107) had desirable weight, 29.78% (5,691/19,107) were overweight, and 10.80% (2,064/19,107) were obese. The distributions of BMI according to each characteristic were significantly different, except for history of cancer (Table 1).

      Table 1.  Characteristics of study population at baseline survey in 2013

      Characteristics Total
      N (%)
      BMIa P for χ2 test
      Underweight
      (< 18.5 kg/m2)
      Desirable
      (≥ 18.5 to < 24.0 kg/m2)
      Overweight
      (≥ 24.0 to < 28.0 kg/m2)
      Obesity
      (≥ 28.0 kg/m2)
      Total 19,107 (100) 1,224 (6.41) 10,128 (53.01) 5,691 (29.78) 2,064 (10.80)
      Sex 0.016
      Women 10,345 (54.14) 639 (52.21) 5,423 (53.54) 3,108 (54.61) 1,175 (56.93)
      Men 8,762 (45.86) 585 (47.79) 4,705 (46.46) 2,583 (45.39) 889 (43.07)
      Age (years) < 0.001
      < 40 5,233 (27.39) 580 (47.39) 3,045 (30.07) 1,115 (19.59) 493 (23.89)
      40–49 4,760 (24.91) 121 (9.89) 2,282 (22.53) 1,727 (30.35) 630 (30.52)
      50–59 3,758 (19.67) 119 (9.72) 1,849 (18.26) 1,348 (23.69) 442 (21.41)
      ≥ 60 5,356 (28.03) 404 (33.01) 2,952 (29.15) 1,501 (26.37) 499 (24.18)
      Education level < 0.001
      Primary school or lower 9,385 (49.12) 532 (43.46) 4,831 (47.70) 2,904 (51.03) 1,118 (54.17)
      Middle school 6,681 (34.97) 383 (31.29) 3,541 (34.96) 2,060 (36.20) 697 (33.77)
      High school 2,377 (12.44) 245 (20.02) 1,362 (13.45) 583 (10.24) 187 (9.06)
      College or higher 664 (3.48) 64 (5.23) 394 (3.89) 144 (2.53) 62 (3.00)
      Marital status < 0.001
      Unmarried 1,921 (10.05) 416 (33.99) 1,201 (11.86) 215 (3.78) 89 (4.31)
      Married 15,944 (83.45) 719 (58.74) 8,228 (81.24) 5,128 (90.11) 1,869 (90.55)
      Divorced 88 (0.46) 4 (0.33) 53 (0.52) 28 (0.49) 3 (0.15)
      Widowed 1,154 (6.04) 85 (6.94) 646 (6.38) 320 (5.62) 103 (4.99)
      Household per capita income (RMB) < 0.001
      < 6,000 11,582 (60.62) 934 (76.31) 6,155 (60.77) 3,217 (56.53) 1,276 (61.82)
      ≥ 6,000 7,525 (39.38) 290 (23.69) 3,973 (39.23) 2,474 (43.47) 788 (38.18)
      Smoking status 0.002
      Never smoker 13,611 (71.24) 907 (74.10) 7,106 (70.16) 4,088 (71.83) 1,510 (73.16)
      Ever smoker or current smoker 5,496 (28.76) 317 (25.90) 3,022 (29.84) 1,603 (28.17) 554 (26.84)
      Alcohol drinking < 0.001
      No 14,947 (78.23) 1,070 (87.42) 7,990 (78.89) 4,315 (75.82) 1,572 (76.16)
      Yes 4,160 (21.77) 154 (12.58) 2,138 (21.11) 1,376 (24.18) 492 (23.84)
      History of hypertensionb < 0.001
      No 16,202 (84.80) 1,130 (92.32) 8,918 (88.05) 4,584 (80.55) 1,570 (76.07)
      Yes 2,905 (15.20) 94 (7.68) 1,210 (11.95) 1,107 (19.45) 494 (23.93)
      History of diabetes mellitusc < 0.001
      No 18,114 (94.80) 1,200 (98.04) 9,778 (96.54) 5,303 (93.18) 1,833 (88.81)
      Yes 993 (5.20) 24 (1.96) 350 (3.46) 388 (6.82) 231 (11.19)
      History of cardiovascular diseasesd < 0.001
      No 17,883 (93.59) 1,152 (94.12) 9,568 (94.47) 5,279 (92.76) 1,884 (91.28)
      Yes 1,224 (6.41) 72 (5.88) 560 (5.53) 412 (7.24) 180 (8.72)
      History of respiratory diseasese < 0.001
      No 17,849 (93.42) 1,085 (88.64) 9,495 (93.75) 5,329 (93.64) 1,940 (93.99)
      Yes 1,258 (6.58) 139 (11.36) 633 (6.25) 362 (6.36) 124 (6.01)
      History of cancerf 0.750
      No 18,924 (99.04) 1,210 (98.86) 10,031 (99.04) 5,635 (99.02) 2,048 (99.22)
      Yes 183 (0.96) 14 (1.14) 97 (0.96) 56 (0.98) 16 (0.78)
      Study sites < 0.001
      Longxi Site 5,265 (27.56) 260 (21.24) 2,914 (28.77) 1,653 (29.05) 438 (21.22)
      Danyang Site 4,456 (23.32) 166 (13.56) 1,991 (19.66) 1,438 (25.27) 861 (41.72)
      Zhongmu Site 4,933 (25.82) 381 (31.13) 2,710 (26.76) 1,383 (24.30) 459 (22.24)
      Xiangtan Site 4,453 (23.31) 417 (34.07) 2,513 (24.81) 1,217 (21.38) 306 (14.83)
      Frequence of fruit intake (per week) 0.06
      < 1 day 38 (0.20) 7 (0.57) 15 (0.15) 11 (0.19) 5 (0.24)
      1–3 days 207 (1.08) 13 (1.06) 112 (1.11) 65 (1.14) 17 (0.82)
      4–6 days 637 (3.33) 44 (3.59) 360 (3.55) 176 (3.09) 57 (2.76)
      7 days 18,225 (95.38) 1,160 (94.77) 9,641 (95.19) 5,439 (95.57) 1,985 (96.17)
      Frequence of meat intake (per week) 0.002
      < 1 day 2,437 (12.75) 156 (12.75) 1,303 (12.87) 696 (12.23) 282 (13.66)
      1–3 days 7,110 (37.21) 442 (36.11) 3,811 (37.63) 2,059 (36.18) 798 (38.66)
      4–6 days 4,455 (23.32) 303 (24.75) 2,381 (23.51) 1,366 (24.00) 405 (19.62)
      7 days 5,105 (26.72) 323 (26.39) 2,633 (26.00) 1,570 (27.59) 579 (28.05)
      Frequence of bean intake (per week) < 0.001
      < 1 day 7,627 (39.92) 469 (38.32) 3,927 (38.77) 2,280 (40.06) 951 (46.08)
      1–3 days 8,014 (41.94) 514 (41.99) 4,360 (43.05) 2,375 (41.73) 765 (37.06)
      4–6 days 2,368 (12.39) 166 (13.56) 1,280 (12.64) 681 (11.97) 241 (11.68)
      7 days 1,098 (5.75) 75 (6.13) 561 (5.54) 355 (6.24) 107 (5.18)
      Intensity of job < 0.001
      Mild 7,224 (37.81) 689 (56.29) 3,956 (39.06) 1,882 (33.07) 697 (33.77)
      Moderate 10,217 (53.47) 464 (37.91) 5,225 (51.59) 3,302 (58.02) 1,226 (59.40)
      Severe 95 (0.50) 3 (0.25) 48 (0.47) 32 (0.56) 12 (0.58)
      Extreme severe 1,571 (8.22) 68 (5.56) 899 (8.88) 475 (8.35) 129 (6.25)
        Note. Data are presented as n (%), unless otherwise specified. The sum of the percentages may not always be 100%, because of rounding. aBMI was classified into four categories according to Chinese standard: Underweight (< 18.5 kg/m2), Desirable weight (≥ 18.5 to < 24.0 kg/m2) (reference), Overweight (≥ 24.0 to < 28.0 kg/m2), Obesity (≥ 28.0 kg/m2). bSelf-reported history of hypertension or hypertension records from the chronic disease system or the cause of death system of the local Center for Disease Control and Prevention. cSelf-reported history of diabetes mellitus or fasting blood glucose ≥ 7 mmol/L at baseline, diabetes mellitus records from the Chronic Diseases Management System, or the Cause of Mortality Registration System of the local Center for Disease Control and Prevention. dSelf-reported history of cardiovascular diseases or cardiovascular diseases records from the Chronic Diseases Management System or Cause of Mortality Registration System of the local Center for Disease Control and Prevention, including myocardial infarction, coronary syndrome, atherosclerosis, stenosis, coronary heart disease, and cerebral infarction. eSelf-reported history of respiratory diseases or respiratory disease records from the Chronic Diseases Management System or the Cause of Mortality Registration System of the local Center for Disease Control and Prevention, including chronic obstructive pulmonary disease, pneumonia, chronic bronchitis, asthma, and pulmonary emphysema. fSelf-reported history of cancer or cancer records from the Chronic Diseases Management System or the Cause of Mortality Registration System of the local Center for Disease Control and Prevention. BMI, body mass index.
    • During the 10-year follow-up period, 1,910 participants died, corresponding to a mortality of 11.71 per 1,000 person-years. The overall mortalities were 22.57 (212/9,394), 12.57 (1,072/85,275), 9.07 (453/49,925), and 9.35 (173/18,500) per 1,000 person-years in the underweight, desirable weight, overweight and obese groups, respectively. Kaplan–Meier survival curves were analyzed based on BMI, as illustrated in Figure 1. Overall survival probability was inversely associated with BMI (P < 0.001). Similar trends were observed in sex groups (P < 0.001). After adjusting for other covariates, including sex, age, education level, smoking status, marital status, household per-capita income, history of primary diseases, study sites, dietary confounders, and intensity of job, BMI was also found to be associated with all-cause mortality. Compared with the desirable BMI group (reference), the overweight and obese groups had a 39% (aHR = 0.61, 95% CI: 0.52–0.73) and 49% (aHR = 0.51, 95% CI: 0.37–0.70) reduction in all-cause mortality, respectively. In contrast, the all-cause mortality of the underweight group was 2.00 times higher (95% CI: 1.66–2.41) (Table 2).

      Figure 1.  Cumulative hazards of all-cause mortality in 10 years stratified across BMI categories in different sex and age groups.

      Table 2.  Potential factors associated with all-cause mortality rate in 10 years in the study population

      Baseline Characteristics Incidence of death (ID) per 1,000 person-years ID ratio (95% CI) Adjusted HR (95% CI)a
      Total 1,910/163,095 (11.71) NA NA
      Sex
      Women 830/87,956 (9.44) Reference Reference
      Men 1,080/75,138 (14.37) 2.13 (1.88–2.42)
      Age (years)
      < 40 20/43,303 (0.46) Reference Reference
      40–49 121/42,686 (2.83) 6.14 (3.82–9.85) 6.51 (3.95–10.72)
      50–59 217/33,995 (6.38) 13.82 (8.74–21.85) 12.12 (7.46–19.68)
      ≥ 60 1,552/43,109 (36.00) 77.95 (50.15–121.20) 40.69 (25.25–65.57)
      BMI (kg/m2)
      < 18.5 212/9,394 (22.57) 1.80 (1.55–2.08) 2.00 (1.66–2.41)
      ≥ 18.5 to < 24.0 1,072/85,275 (12.57) Reference Reference
      ≥ 24.0 to < 28.0 453/49,925 (9.07) 0.72 (0.64–0.81) 0.61 (0.52–0.73)
      ≥ 28.0 173/18,500 (9.35) 0.74 (0.63–0.87) 0.51 (0.37–0.70)
      Education level
      Primary school or lower 1,550/79,901 (19.40) Reference Reference
      Middle school 289/57,913 (4.99) 0.26 (0.23–0.29) 0.71 (0.62–0.81)
      High school 66/20,100 (3.28) 0.17 (0.13–0.22) 0.65 (0.50–0.84)
      College or higher 5/5,179 (0.97) 0.05 (0.02–0.12) 0.55 (0.22–1.34)
      Marital status
      Unmarried 50/15,210 (3.29) Reference Reference
      Married 1,436/138,381 (10.38) 3.16 (2.38–4.19) 1.05 (0.78–1.41)
      Divorced 9/765 (11.76) 3.58 (1.76–7.28) 1.18 (0.58–2.42)
      Widowed 415/8,736 (47.50) 14.45 (10.78–19.38) 1.89 (1.38–2.57)
      Household per capita income (RMB)
      < 6,000 1,580/98,011 (16.12) Reference Reference
      ≥ 6,000 330/65,083 (5.07) 0.31 (0.28–0.35) 0.62 (0.54–0.71)
      Smoking status
      Never smoker 1,181/115,127 (10.26) Reference Reference
      Ever smoker or current smoker 729/47,968 (15.20) 1.48 (1.35–1.63) 1.08 (0.95–1.22)
      Alcohol drinking
      No 1,515/126,020 (12.02) Reference Reference
      Yes 395/37,074 (10.65) 0.89 (0.79–0.99) 0.90 (0.79–1.02)
      History of hypertension
      No 1,296/137,938 (9.40) Reference Reference
      Yes 614/25,156 (24.41) 2.60 (2.36–2.86) 1.07 (0.96–1.19)
      History of diabetes mellitus
      No 1,704/154,797 (11.01) Reference Reference
      Yes 206/8,298 (24.83) 2.26 (1.95–2.61) 1.54 (1.33–1.79)
      History of cardiovascular diseases
      No 1,510/153,739 (9.82) Reference Reference
      Yes 400/9,356 (42.75) 4.35 (3.90–4.86) 2.44 (1.89–3.13)
      History of respiratory diseases
      No 1,615/155,458 (10.39) Reference Reference
      Yes 295/7,637 (38.63) 3.72 (3.28–4.21) 2.01 (1.52–2.65)
      History of cancer
      No 1,845/161,792 (11.40) Reference Reference
      Yes 65/1,302 (49.92) 4.38 (3.42–5.61) 3.20 (2.49–4.12)
      Study sites
      Longxi Site 271/35,321 (7.67) Reference Reference
      Danyang Site 546/44,822 (12.18) 1.59 (1.37–1.84) 1.01 (0.85–1.20)
      Zhongmu Site 360/40,662 (8.85) 1.15 (0.99–1.35) 1.25 (1.06–1.47)
      Xiangtan Site 733/42,288 (17.33) 2.26 (1.97–2.60) 1.29 (1.12–1.50)
      Frequence of fruit intake (per week) NA
      < 1 day 5/282 (17.73) Reference
      1–3 days 21/1,840 (11.41) 0.64 (0.24–1.71)
      4–6 days 62/5,197 (11.93) 0.67 (0.27–1.67)
      7 days 1,822/155,774 (11.70) 0.66 (0.27–1.59)
      Frequence of meat intake (per week)
      < 1 day 388/20,965 (18.51) Reference Reference
      1–3 days 780/61,371 (12.71) 0.69 (0.61–0.78) 0.87 (0.77–0.99)
      4–6 days 356/37,312 (9.54) 0.52 (0.45–0.60) 0.82 (0.71–0.96)
      7 days 386/43,446 (8.88) 0.48 (0.42–0.55) 0.81 (0.70–0.94)
      Frequence of bean intake (per week)
      < 1 day 873/66,506 (13.13) Reference Reference
      1–3 days 766/67,316 (11.38) 0.87 (0.79–0.96) 0.99 (0.89–1.11)
      4–6 days 202/19,858 (10.17) 0.77 (0.67–0.90) 0.96 (0.81–1.14)
      7 days 69/9,412 (7.33) 0.56 (0.44–0.71) 0.81 (0.62–1.05)
      Intensity of job
      Mild 947/57,658 (16.42) Reference Reference
      Moderate 899/90,426 (9.94) 0.61 (0.55–0.66) 0.57 (0.52–0.64)
      Severe 10/792 (12.63) 0.77 (0.41–1.43) 0.98 (0.84–2.97)
      Extremely severe 54/14,217 (3.80) 0.23 (0.18–0.30) 0.89 (0.44–1.29)
        Note. BMI, body mass index. ID: Incidence of death. NA, not available. CI, confidence interval. HR, hazards ratio. Data were death/total (%), unless otherwise specified. BMI was classified into four categories according to Chinese standard: Underweight (< 18.5 kg/m2), Desirable weight (≥ 18.5 to < 24.0 kg/m2) (reference), Overweight (≥ 24.0 to < 28.0 kg/m2), Obesity (≥ 28.0 kg/m2). aAdjusted for sex, age, education level, marital status, income, smoking status, alcohol drinking status, history of hypertension, diabetes mellitus, cardiovascular diseases, respiratory diseases and cancer, study sites of participants, frequency of meat intake, frequency of bean intake, and job intensity using Cox models.

      The subgroup analyses revealed similar associations between BMI and all-cause mortality. The association between underweight and an increase in all-cause mortality persisted for all subgroups except the < 60 years old subgroup. In addition, there were significant inverse links between overweight and all-cause mortality across all subgroups, except for the group with alcohol drinking habits and a history of cancer. Negative associations between obesity and all-cause mortality were found among women, individuals ≥ 60 years old, non-smokers, non-drinkers, and those without a history of respiratory diseases or cancer (Figure 2).

      Figure 2.  Subgroup analysis for the associations between BMI and all-cause mortality in 10 years.

    • Similar results were observed in the continuous analysis using restricted cubic splines, revealing a U-shaped association between BMI and the risk of all-cause death (Figure 3). Among the overall population, the risk of all-cause death was minimal at 23.0–29.3 kg/m2 (aHR < 1), with a significant increase observed both below and above this range (aHR > 1). The nadir for the risk of death was estimated to be 25.7 kg/m2 (aHR = 0.95, 95% CI: 0.92–0.98). Subgroup analyses stratified by sex and age did not alter the U-shaped association, except for those aged ≥ 80 years. A reverse J-shaped association between BMI and the risk of death was found, with a nadir of 21.6 kg/m2 for individuals aged ≥ 80 years, but the association did not reach statistical significance (P = 0.267).

      Figure 3.  Continuous association between BMI and all-cause mortality in 10 years in different sex and age groups.

    • The cause-specific mortalities were 5.22 (851/163,095), 1.19 (194/163,095), 2.64 (430/163,095) and 2.67 (435/163,095) per 1,000 person-years for individuals who died of CVD, respiratory diseases, cancer, and other reasons (including traffic accidents, suicide and other diseases), respectively. Underweight was consistently found to be significantly associated with increased cause-specific mortality, except for cancer. The reverse relationships between being overweight and death of CVD and respiratory disease persisted. The significant relationships were also found in obesity with death of CVD and other death reasons (Table 3).

      Table 3.  Associations between BMI and cause-specific mortality in 10 years

      Cause-specific mortality Incidence of death per 1,000 person-years BMI
      Underweight
      (< 18.5 kg/m2)
      Desirable
      (≥ 18.5 to < 24.0 kg/m2)
      Overweight
      (≥ 24.0 to < 28.0 kg/m2)
      Obesity
      (≥ 28.0 kg/m2)
      Incidence of death1 per 1,000 person-years aHR1
      (95% CI)a
      Incidence of death2 per 1,000 person-years aHR2
      (95% CI)a
      Incidence of death3 per 1,000 person-years aHR3
      (95% CI)a
      Incidence of death4 per 1,000 person-years aHR4
      (95% CI) a
      CVD mortality 851/163,095
      (5.22)
      94/9,394
      (10.01)
      2.09 (1.59–2.74) 476/85,275
      (5.58)
      Reference 189/49,925
      (3.79)
      0.52 (0.40–0.67) 92/18,500
      (4.97)
      0.46 (0.29–0.74)
      Respiratory diseases mortality 194/163,095
      (1.19)
      42/9,394
      (4.47)
      1.78 (1.08–2.91) 114/85,275
      (1.34)
      Reference 26/49,925
      (0.52)
      0.49 (0.28–0.86) 12/18,500
      (0.65)
      0.84 (0.34–2.13)
      Cancer mortality 430/163,095
      (2.64)
      30/9,394
      (3.19)
      1.54 (0.98–2.41) 243/85,275
      (2.85)
      Reference 127/49,925
      (2.54)
      0.79 (0.55–1.12) 30/18,500
      (1.62)
      0.46 (0.22–1.04)
      Other reasons mortality 435/163,095
      (2.67)
      46/9,394
      (4.90)
      2.16 (1.40–3.32) 239/85,275
      (2.80)
      Reference 111/49,925
      (2.22)
      0.67 (0.45–1.00) 39/18,500
      (2.11)
      0.46 (0.21–0.97)
        Note. Data are presented as n/N (%), unless otherwise specified. BMI was classified into four categories according to Chinese standard: Underweight (< 18.5.0 kg/m2), Desirable weight (≥ 18.5 to < 24.0 kg/m2) (reference), Overweight (≥ 24.0 to < 28.0 kg/m2), and Obesity (≥ 28.0 kg/m2). aAdjusted for sex, age, education level, marital status, per income, smoking status, current alcohol drinking status, history of hypertension, diabetes mellitus, cardiovascular diseases, respiratory diseases and cancer, study sites of participants, frequency of meat intake, frequency of bean intake, and job intensity, using Cox models. BMI, body mass index. aHR, adjusted hazard ratio.

      In the sensitivity analyses, the associations between BMI and all-cause or cause-specific mortality remained unchanged, as shown in Supplementary Table S1.

    • Our study investigated the association between BMI and all-cause mortality in the general population in a 10-year population-based cohort study conducted in rural China. Individuals with a BMI < 18.5 kg/m2 had a 2-fold risk of all-cause death, and individuals with a BMI ≥ 24.0 kg/m2 were associated with about half reduction of all-cause mortality compared to the desirable BMI group (≥ 18.5 to < 24.0 kg/m2), after adjusting for potential confounders. Further qualitative analysis revealed that the risk of all-cause mortality decreased rapidly to the lowest BMI of 25.7 kg/m2 and then increased slightly above this value, presenting a U-shaped association. The results were robust in most subgroups, and the sensitivity analysis did not change our main results. Our findings provide additional evidence for the “obesity paradox” and have substantial implications for guiding weight management among the general rural population.

      We observed U-shaped associations between BMI and all-cause mortality in the general population aged 15 years and older. All-cause mortality decreased at 23.0–29.3 kg/m2 and increased significantly below and above this range, indicating that overweight was negatively associated with mortality, whereas underweight and obesity, especially severe obesity, positively influenced mortality. Our results are supported by recent studies[21-23]. A prospective study of 4,565 older adults (≥ 65 years old) in rural America, overweight (≥ 25.0 to < 30.0 kg/m2) and mild obesity (class Ι obesity, ≥ 30 to < 35 kg/m2) were associated with a lower mortality, while underweight (< 18.5 kg/m2) individuals had a higher mortality among different characteristic populations[21]. Similarly, a meta-analysis involving 97 studies with sample sizes of more than 2.88 million participants and 27,000 deaths reported HRs of 0.94 (95% CI: 0.91–0.96) for overweight (≥ 25.0 to < 30.0 kg/m2), 0.95 (95% CI: 0.88–1.01) for grade 1 obesity, and 1.29 (95% CI: 1.18–1.41) for grades 2 and 3 obesity, based on the BMI criteria of the WHO[22]. Although the WHO criteria differ from the Chinese criteria, the trends were consistent. These findings indicate that appropriate extra fat could be beneficial, but being underweight and having too much fat might increase mortality. Several potential mechanisms can explain this phenomenon. Underweight individuals have widespread nutritional deficiencies, including an insufficient intake of proteins, vitamins, and minerals, which may compromise immune function and increase the risk of falls and fractures[24,25]. Furthermore, metabolic disorders such as hyperthyroidism and adrenocortical insufficiency may arise, leading to increased energy expenditure and negatively affecting nutrient absorption and utilization, thereby exacerbating malnutrition and mortality. Conversely, overweight and mildly obese individuals may benefit from sufficient nutrients that allow them to maintain normal function during illness, malnutrition, or injury, owing to the energy support of extra fat[26]. Overweight and mild obesity may strengthen immune function through beneficial molecules such as adiponectin, which possesses anti-inflammatory and anti-atherosclerotic properties. Moreover, the risk of fracture, an important cause of mortality, might be reduced owing to extra fat, which is a protective factor against osteoporosis[27]. Compared with normal-weight patients, patients with moderate obesity are twice as likely to experience in-hospital complications, which may increase mortality[28]. The proinflammatory milieu of cytokines and adipokines, along with altered functions of monocytes and macrophages in obese patients, may contribute to in-hospital complications[29].

      In our study, a reverse J-shaped association was found in the population older than 80 years. Although the results were not statistically significant, they were in agreement with those of a Mendelian randomization study conducted in participants older than 80 years[18], which reported that each 1 kg/m2 increase in genetically predicted BMI was associated with a 4.5% decrease in all-cause mortality (HR = 0.96, 95% CI: 0.96–0.97). Older individuals with excess fat may have a better nutritional status and be better able to prevent the adverse consequences caused by falling or fractures. Moreover, the “survival effect” suggests that individuals who are more vulnerable to the complications of obesity may have already died, resulting in a more resilient population[30]. Finally, gene expression is closely associated with the mechanisms underlying healthy aging and longevity in individuals with extended lifespans[31,32], which may extend beyond the explanatory power of BMI alone.

      In this study, the notable associations of underweight with increased all-cause mortality and of overweight with decreased all-cause mortality persisted for cause-specific mortality, including CVD and respiratory disease mortality. Previous studies have reported contradictory findings. A study with a median follow-up of 1.8 years reported that both overweight (HR = 0.74, 95% CI: 0.65–0.84) and obesity (HR = 0.68, 95% CI: 0.60–0.78)[33] decreased CVD mortality (including from stroke, systemic embolism, and myocardial infarction). A 10-year prospective study conducted among Asian patients with obstructive coronary artery disease found no increase in CVD mortality attributable to obesity[34]. Nonetheless, another study with a 20-year follow-up reported an association between obesity and mortality in patients with stable coronary artery disease[35]. The length of follow-up and the varied clinical and demographic characteristics of the study population made it difficult to draw robust conclusions. Regarding respiratory mortality, a meta-analysis of clinical trials explored the relationship between BMI and the decline in FEV1, an indicator of lung function, in patients with chronic respiratory conditions. It has also been reported that a lower BMI is associated with a faster decrease in FEV1, and a higher BMI is associated with a slower decrease in FEV1, suggesting that weight gain might be a measure for therapeutic intervention in chronic respiratory diseases. A previous study investigated the prospective association between peri-diagnostic (within 1-year post-diagnosis) BMI and all-cause mortality in 114,430 patients with cancer. Compared with the desirable BMI (≥ 18.5 to < 25.0 kg/m2), the hazard ratios were 0.85 (95% CI: 0.83–0.87) for the overweight (≥ 25.0 to < 30.0 kg/m2) and 0.82 (95% CI: 0.80–0.85) for the obese (≥ 30.0 kg/m2), with these associations being generally consistent across cancer types and various subgroups. However, we did not observe any associations between BMI and cancer-related mortality. A possible reason for this discrepancy might be the timing of the BMI measurement. In our study, BMI was measured at baseline rather than during the peri-diagnostic period, with a median time of 4.45 years from baseline to cancer diagnosis. Given that weight loss is a common symptom of cancer and that an obese BMI has been associated with increased life expectancy in some contexts, these factors may influence the observed association between BMI and mortality.

      This study has several limitations that warrant discussion. First, despite adjusting for a range of confounders, the effects of residual confounding factors could not be fully excluded. However, neither the subgroup analysis nor the sensitivity analysis contradicted our main findings. Second, BMI was measured only once at baseline, which precludes the evaluation of the relationship between longitudinal changes in BMI and outcomes. Third, data on anthropometric measures such as body composition (body fat to lean body mass) or physical activity were not captured in this cohort and could have provided insight into the “obesity paradox”. In the future, a more comprehensive and accurate health assessment model or indicator that considers waist circumference, body fat percentage, and muscle content should be established. Fourth, this study focused on participants from rural China. Owing to differences caused by the environment, lifestyle, and diet, our findings might not be applicable to urban populations.

      This study provides further evidence of the complex relationship between BMI and mortality. Overweight and mild obesity positively affect mortality, indicating the need for tailored approaches to health and weight management. Nutritional support is necessary to reduce adverse outcomes and decrease mortality rates among underweight patients. For obese individuals, an appropriate approach and management, including lifestyle modifications such as dietary regulation and physical activity, should be considered according to age, comorbidities, and BMI. Further investigation is required to better understand the association between obesity and mortality, which might be analyzed across diverse populations using various indicators that define obesity and its evolving trends.

参考文献 (35)
补充材料:
25014+Supplementary Materials.pdf

目录

    /

    返回文章
    返回