-
Acquired immunodeficiency syndrome (AIDS) is a malignant infectious disease, caused by human immunodeficiency virus (HIV), which causes defects in the human immune system. According to estimates by the Joint United Nations Programme on HIV/AIDS (UNAIDS), since the discovery of HIV, more than 70 million people worldwide have been infected with the virus, and 35 million have died of AIDS. There is currently no effective treatment for advanced AIDS. Although several antiretroviral drugs can effectively suppress the onset of symptoms, these drugs are more effective in the early stages of HIV infection. Detection of early HIV infection may also prevent inadvertent transmission. Therefore, early HIV detection is important[1].
The core of human immunodeficiency virus type 1 (HIV-1) contains two RNA strands, the core protein P24, P17 and the enzyme involved in viral replication. The P24 protein forms a strong, conical shell that surrounds the viral core in mature HIV virus particles and protects the viral RNA.
Approximately 10 days after HIV infection, only HIV-1 RNA was detected in human blood. After approximately 7 more days, P24 antigen can be detected. After 1–2 months, the P24 antigen reaches its highest concentration, and then with the gradual production of human antibodies, the P24 antigen and antibody combine to form an antigen-antibody complex, resulting in a decrease in free P24 antigen. At this time, HIV-infected individuals enter the asymptomatic period. In the later stages of the disease, with destruction of the immune system and enhancement of viral replication, the concentration of P24 antigen rises again and becomes a marker of HIV infection[2]. The concentration range of P24 antigen in human blood is 0–7,000 pg/mL with a maximum of no more than 10 ng/mL. The concentration of p24 antigen in the serum of most HIV patients ranges from 50 to 600 pg /mL[3].
Current diagnostic methods for P24 antigen include: enzyme-linked immunosorbent assay (ELISA), enzyme-linked fluorescent assay (ELFA), electrochemiluminescence immunoassay (ECLIA), and rapid detection of antigen and antibody[4]. ELISAs, ELFAs, and ECLIAs all have the disadvantages of long detection time, complicated operation, large-scale instruments, and high cost.
Rapid detection of antigen and antibody has the advantages of short detection time, no need for complicated training for operators, and does not require large instruments. However, traditional methods for rapid detection of antigen and antibody (such as the colloidal gold method) suffer from low sensitivity and intuitive judgment of results. To improve sensitivity, we replaced the colloidal gold with fluorescent microspheres. Fluorescent microspheres are nanometer-to-micron (0.01–100 μm) particles formed by embedding fluorescent dyes in particles or adsorbing them onto the surface of particles. Fluorescent microspheres have the advantages of good dispersibility, high fluorescence intensity, and uniform particle size.
The purpose of this research is to develop a near-infrared fluorescent microsphere immunochromatography method based on the double antibody sandwich method to provide an immunoassay with high sensitivity, good reproducibility, short detection time and simple operation for clinical diagnosis of P24 antigen. The method has good specificity, low cost and simple operation, and can meet the needs of clinical large-scale census or single-person operation.
-
Tween-20, EDC, and HEPES were purchased from Sigma-Aldrich (Darmstadt, Hessia, Germany); bovine serum albumin (BSA) was purchased from macgene; P24 monoclonal antibodies P24-McAb6 and C01653M were purchased from Guangdong Feipeng Biotechnology and Meridian Life Science; P24 antigen and goat anti-mouse IgG were prepared by our laboratory; nitrocellulose membranes were purchased from Advanced Microdevices; polyvinyl chloride (PVC) backsheet, absorbent paper, card shell, the three-dimensional plane film spray gun, the test strip automatic cutting machine ZQ2000, and other experimental materials were purchased from Shanghai Jinbiao Biotechnology; the tabletop centrifuge is Eppdorf 5424; the portable near-infrared fluorescence scanner KY-100 was developed by Chengdu Keyi Biotechnology Development Co., Ltd.; near-infrared fluorescent microspheres were purchased from Beijing Run bio Biotechnology Co., Ltd.; P24 negative serum was obtained from Beijing Hospital; and the P24 ELISA Quantitative Detection Kit was purchased from Hebei Medical University.
-
The nitrocellulose chromatography membrane was attached to a PVC support plate. HIV-1 P24 capture antibody 1653M and the quality control line goat anti-mouse IgG antibody were diluted in a buffer containing 50 mmol/L PB (pH 7.0), 3% sucrose, 1% methanol, and 0.1 g/L sodium azide. The capture antibody P24-6 (detection line) and goat anti-mouse IgG (control line) were immobilized on a nitrocellulose membrane (Darmstadt, Merck Millip, Germany) using a Shanghai Jinbiao Biotechnology HM3025 at a spray rate of 1.2 μL/cm. The absorbent paper, antibody pad, and sample pad were attached to the corresponding positions of the chromatographic membrane support plate. Then, we cut the test strip to a width of 3.5 mm, placed it in a reclosable plastic bag with a desiccant, and baked it in an oven at 42 °C for 14 h. The structure of the lateral flow assay strip is shown in Figure 1. The baked test strip was placed in the card shell, and the P24 antigen detection cards were prepared and placed in an aluminum foil bag for storage.
Figure 1. The structure of the lateral flow assay (LFA) strip. ① backing plate, ② sample pad, ③ conjugation pad, ④ the test line, ⑤ the control line, ⑥ nitrocellulose membrane, ⑦ absorbent paper, ⑧ P24 antigen, ⑨ fluorescent microsphere, ⑩ detection antibody, ⑪ capture antibody, ⑫ Goat anti-mouse IgG.
-
Take 10 μL of fluorescent microspheres embedded with Dylight 800 (Figure 2), dilute them with 100 μL HEPES buffer at pH 7.5. The COOH on the microspheres surface activate by adding 20 μL of 5 mg/mL EDC. After activation for 30 min, the mixture was centrifuged at room temperature at 20,238 rcf for 15 min, and then discard the supernatant. Resuspend the activated fluorescent microspheres with 100 μL HEPES buffer, then label antibody was diluted to 0.5 mg/mL in 10 mmol/L PBS (pH 7.5) to 90 μL, and the mixture was reacted for 1 h and centrifuged at room temperature at 20238 rcf for 15 min. Discard the supernatant. After adding 200 μL of 2% BSA solution to the EP tube, the fluorescent microspheres were resuspended by ultrasonication, blocked for 1 h, and centrifuged at room temperature at 20,238 rcf for 15 min. Discard the supernatant. Use stock solution of pH 7.5 to resuspend to 100 μL, and then stored it at 4 °C in the dark.
-
In this experiment, the determination method was established by the double antibody sandwich method, and the optimal conditions for the labeling sequence, labeling pH, labeling amount of antibody linked to fluorescent microspheres, scribing concentration in the detection, loading amount and detection time were determined. We mixed 20 μL of 1, 5, 10 ng/mL of P24 antigen standard with 80 μL sample dilution and 2 μL of 1:50 diluted fluorescent-labeled microspheres, and then added the mixture to the well of a P24 detection card. After a period of time, the test card was inserted into the portable fluorescent scanner KY-100, and the scanner scanned the peak area of the quality control line (C) and the detection line (T) and calculated the peak area ratio (T/C) of the two as the detection result.
-
The limit of detection (LOD) is the minimum amount detectable with the method, which is the concentration corresponding to the mean of the negative control fluorescence signal ratio
$(\overline{x})$ plus 3 times the standard deviation (s) on the work curve. -
We added low, medium, and high concentrations of 0.05, 1, 5 ng/mL of standards, respectively, to the negative serum and the sample concentration was determined by fluorescent microsphere immunochromatography. When examining intra-assay precision, five parallel controls were set for each of the three concentrations. When examining inter-assay precision, five parallel controls were also set for each of the three concentrations, and the test was repeated three times. The recovery can be calculated by calculating the ratio of the actual measured value to the theoretical value, and the precision can be obtained by calculating the standard deviation and the coefficient of variation.
-
We strictly followed the instructions for the P24 antigen detection kit from Hebei Medical University and simultaneously tested 66 samples with the fluorescent microsphere immunochromatography platform, including 47 positive samples and 19 negative samples. ELISA kit and fluorescent microsphere immunosuppressive layer analytical methods we used for correlation comparison.
-
In the lateral flow assay, the liquid moves forward after loading, and the labeled antibody and antigens form a sandwich complex with the capture antibody. The remaining labeled P24 antibody binds to the control line coated with antibody goat anti-mouse to form a complex. The peak area of the detection line increased with the increase of P24 antigen concentration, and the peak area of the quality control line decreased with the increase of P24 antigen concentration. Corresponding test results show that the P24 antigen concentration is the abscissa and the T/C peak area ratio is the ordinate. When the sample is negative, the fluorescence value of the detection line is low or not detected at all; when it is positive, the higher the P24 concentration, the higher the fluorescence value of the detection line. Schematic diagram of fluorescent microsphere immunochromatography at different concentrations of P24 antigen is shown in Figure 3. Whether results are positive or negative, the control line can always display the fluorescence value. If the control line has no fluorescence value, the results are invalid regardless of the fluorescence intensity of the detection line.
-
We investigated the effects of changing the order of addition of EDC and the monoclonal antibody. One option is to first add the antibody to the fluorescent microsphere solution, and then add the EDC to the solution after the antibody aggregates near the microspheres. A second option is to add EDC activated fluorescent microspheres COOH, centrifuge to remove excess EDC solution and resuspend, and then add antibodies to couple the fluorescent microspheres and antibodies. After labeling, diluting the labeled fluorescent microspheres 50 times using stock buffer (10 mmol/L Tris.Cl, 1% NaCl, and 2% BSA), we added 2 μL of the 1:50 diluted fluorescent microspheres to 50 μL chromatography buffer (10 mmol/L Tris.Cl, 0.2% Triton X-100, 1% Tween-20) to prepare an antibody working solution. We diluted P24 antigen to a concentration of 0, 1, 5, or 10 ng/mL. After mixing the working solution and different concentrations of antigen to 102 μL, we pipetted to add all the liquid to the P24 test card well and allowed it to stand at room temperature for 15 min. Following this, we inserted the test card into the portable fluorescent scanner KY-100, read the T/C ratio, and recorded the result. Each experiment was repeated three times to determine the optimal order of addition; results are shown in Figure 4. Under the same conditions, the second method had better labeling efficiency and thus was chosen for further analysis.
-
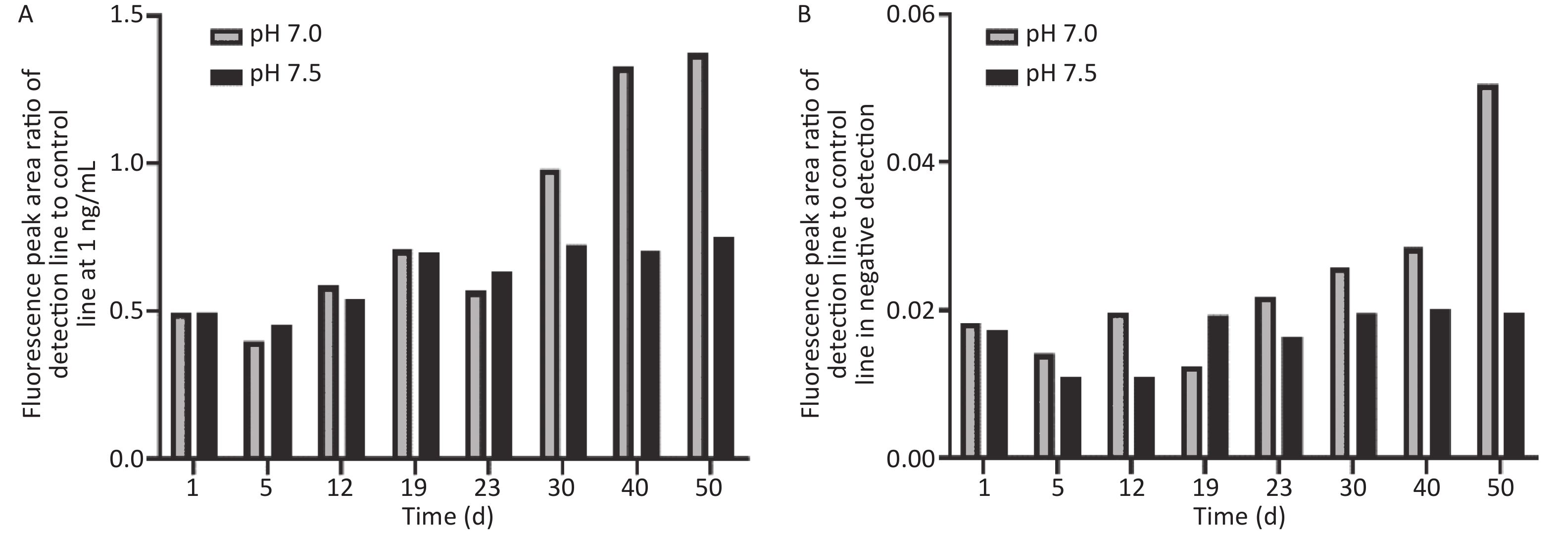
We used HCl and NaOH to change the pH of the HEPES buffer to 6.5, 7.0, 7.5, and 8.0, respectively, and then added 10 μL of 5% fluorescent microspheres to 100 μL of HEPES buffer at different pH values and labeled them according to the antibody linked to fluorescent microspheres method. Then, we stored them in the corresponding pH storage solution. The fluorescent microspheres labeled under conditions of pH 6.5 and pH 8.0 showed baseline drift in detection, so the fluorescent microspheres at pH 7.0 and pH 7.5 were mainly detected. The fluorescent microspheres labeled under conditions of pH 7.0 and pH 7.5 were detected at intervals for a total of 50 days (Figure 5). With the increase in storage time, the detection value of the fluorescent microsphere negative control at pH 7.0 increased slowly and then increased sharply at day 50. At pH 7.5, the negative and positive controls had relatively constant values, indicating that the fluorescent microspheres are relatively stable at this pH. Therefore, HEPES buffer at pH 7.5 was selected as the reaction solution.
-
We labeled 100 μL of 0.5% fluorescent microspheres with 30, 50, 70, 90, and 110 μL of monoclonal antibody at a concentration of 0.5 mg/mL. That is,the mass ratios of the antibody to the fluorescent microspheres were 30, 50, 70, 90, and 110 μg/mg. Under the same conditions, the mass ratio of antibody to fluorescent microspheres was 90 μg/mg, which had better labeling efficiency (Figure 6). Therefore, we decided to add 90 μL of antibody at 0.5 mg/mL.
-
The capture antibody was sprayedon the nitrocellulose membrane at concentrations of 0.5, 1.0, 1.5, 2.0, 2.5, and 3.0 mg/mL, and the fluorescent microspheres were labeled using the optimal labeling conditions described above. Detection of positive samples with a P24 antigen concentration of 1 ng/mL and negative samples, respectively. The concentration of the nitrocellulose membrane-immobilized antibody was selected based on the concentration of the largest peak area ratio of the positive sample and the smallest area ratio of the negative sample. The results are shown in Figure 7. Under the same conditions, an antibody concentration of the test line of 2 mg/mL, had the best detection efficiency. Therefore, we selected this concentration.
-
When the amount of the sample is large, components in the serum affect antigen-antibody binding, so selecting a suitable amount of the sample is important. Diluting the labeled fluorescent microspheres 50 times, we added 2 μL of the antibody to 50, 60, 70, 80, or 90 μL diluent to prepare an antibody working solution. After diluting the P24 antigen to 1 ng/mL with negative serum, we added 10, 20, 30, 40, or 50 μL of antigen to 92, 82, 72, 62, or 52 μL of the working solution to maintain a total volume of 102 μL. Detection of positive samples with a P24 antigen concentration of 1 ng/mL and negative samples, respectively. The sample addition amount was selected based on the concentration of the largest peak area ratio of the positive sample and the smallest area ratio of the negative sample. The results are shown in Figure 8. Under the same conditions, a sample addition amount of 20 μL had the best detection efficiency. Therefore, we selected this amount.
-
The time of the immunochromatographic reaction is a key factor in this experiment. If the reaction time is too short, the antigen-antibody binding will be insufficient. If the reaction time is too long, the advantage of short detection time will be lost. Therefore, it is important to select a suitable reaction time for the development of test strips. We recorded the peak area ratio every 2.5 min. Negative controls were tested in the same manner. Each experiment was repeated three times, and we selected a time when the peak area ratio was normal and the length was shorter as the reaction time; results are shown in Figure 9. At 10 min, the detection value of the negative control tended to be stable, and the value of the positive control continued to increase with time. To satisfy the conditions for rapid detection, 15 min was selected as the reaction duration.
-
After the fluorescent microsphere-labeled antibody (90 μg/mg) was diluted 50 times, we added 2 μL of the antibody to 80 μL of diluent to prepare an antibody working solution. After diluting the P24 standard with negative serum, the concentrations of P24 antigen were 0.0075, 0.015, 0.03125, 0.0625, 0.125, 0.25, 0.5, 1, 1.25, 2, 2.5, 4, 5, 8, and 10 ng/mL. We added 20 μL of P24 standard to the working solution at different concentrations. After thorough mixing, we pipetted to add all the liquid to the P24 test card well, and allowed it to stand at room temperature for 15 min. After that, we inserted the test card into the portable fluorescent scanner KY-100, read the ratio, and recorded the result. Each concentration point was detected in parallel three times and was negative. The control was tested 10 times in parallel. The P24 standard concentration was plotted on the abscissa and the ratio of peak area is plotted on the ordinate; results are shown in Figure 10. When the P24 concentration was low or high, there were different performance trends, so the curve is fitted in sections. When the P24 antigen concentration is low, the range is 7.5 pg/mL – 1 ng/mL, the fitting function is y = 1.566x2 + 5.451x + 0.0863, and R2 is 0.9969. When the concentration of P24 antigen is high, the range is 1–10 ng/mL, the fitting function is y = 0.07715x2 + 5.607x + 0.5762, and R2 is 0.9796.
-
The LOD is the minimum detectable amount of the method, which is the concentration corresponding to the mean of the negative control fluorescence signal ratio(
$\bar{x}$ ) plus 3 times the standard deviation (s) on the working curve. After substituting the calculated value into a working curve of 7.5 pg/mL to 1 ng/mL, the LOD of the method was determined to be 3.4 pg/mL. -
The concentration of P24 in serum was determined by fluorescent microsphere immunochromatography. The results of recovery and precision is shown in Table 1. The intra-assay recoveries of the low, medium, and high groups of samples were 92.0%, 97.8%, and 99.6%, respectively, and the average recovery was 96.5%. The inter-assay recoveries were 88.0%, 105%, and 98.9%, and the average recovery was 97.3%. The intra- and inter-assay CV values of the low, medium, and high concentrations were 5.4%–8.6%, and 8.5%–11.0%, respectively. These values meet production requirements which the intra-assay CV value must be less than 10% and the inter-assay CV value must be less than 15%.
Table 1. Three spiked concentrations (0.05, 1, and 5 ng/mL) of P24 were analyzed for intra- andinter-assay recovery and precision studies
P24 antigen addition concentration (ng/mL) Intra -assay Inter-assay Average value (ng/mL) Recovery (%) Standard deviation CV (%) Average value (ng/mL) Recovery (%) Standard deviation CV (%) 0.05 0.046 92.0 0.03 8.6 0.044 88.0 0.03 10.5 1.00 0.978 97.8 0.38 5.4 1.050 105.0 0.77 11.0 5.00 4.981 99.6 1.92 6.5 4.943 98.9 2.53 8.5 -
Sixty-six clinical serum samples were tested, and a comparison of fluorescent microsphere immunochromatographic test strips and Hebei Medical University P24 antigen test kits was performed (Figure 11). Since the quantitative concentration of the Hebei Medical Science P24 antigen detection kit is 0–80 pg/mL, data within the detection range were compared for mapping. For samples outside the quantitative range of the kit, methodological comparisons were performed by comparing the detection rates. The comparison of detection rates is shown in Table 2. It can be seen from Figure 11 that the function is y = 0.8019x + 3.186, R2 = 0.9393, showing that the fluorescent microsphere immunochromatographic test strip is highly correlated with the ELISA method for determining the concentration of P24 in AIDS human serum, and has good consistency.
Table 2. Comparison of fluorescent microsphere immunochromatographic assay and ELISA
Type of samples Number of samples ELISA Fluorescent microsphere immunochromatographic assay Number of samples detected Detection rate (%) Number of samples detected Detection rate (%) Positive samples 47 28 59.6 33 70.2 Negative samples 19 18 94.7 19 100.0 -
Among people worldwide who are infected with AIDS, approximately 85% live in developing countries, where clinical diagnostics and antiretroviral therapy monitoring platforms are limited[5]. HIV infection can cause a variety of immune system dysfunctions[6]. Although more than 20 antiretroviral drugs are now available in many countries, standard therapies do not fully restore health or a normal immune status in HIV-infected individuals[7]. Therefore, early recognition of HIV infection is essential for both treating individuals with HIV and preventing onward transmission[8]. Sensitive, specific, and rapid diagnostic testing not only paves the way toward effective treatment but also plays a critical role in preventing the transmission of infectious diseases. While central clinical laboratories offer sensitive and specific assays, such as blood culture, high-throughput immunoassays, polymerase chain reaction, and mass spectrometry tests, they are often time and labor intensive, costly, and dependent on sophisticated instruments and well trained operators[9]. Simpler, less expensive versions of tests that can indicate when an HIV-positive individual needs treatment could bring quality HIV care to even the most remote parts of Africa[10]. Point-of-care tests provide rapid ‘on-site’ results at the site of care delivery, and support timely and proper treatment in resource-limited settings[11].
The development of point of care testing reagents should adhere to the following principles: (1) affordable, (2) sensitive, (3) specific, (4) user-friendly, and (5) rapid and robust. Therefore, based on the above principles, we developed a highly efficient, rapid and specific P24 antigen detection reagent based on near-infrared fluorescent microspheres. Fluorescent microspheres have the advantages of good dispersibility, high fluorescence intensity, uniform particle size, and easy modification. They bind to the antibody through the carboxyl group on the surface to enrich the antibody and improve the sensitivity. At the same time, the near-infrared fluorescent microspheres used in this study can avoid the influence of ultraviolet band fluorescence generated by the bottom plate, the nitrocellulose membrane, and the matrix in the infrared band, thereby further increasing the detection limit on the basis of the fluorescent microspheres[12].
The average detection limit of various P24 antigen detection products currently on the market is 3–5 pg/mL; e.g., 3 pg/mL for ELFAs[13], 5 pg/mL for enzyme immunoassays (EIAs)[14], and 3 pg/mL for ECLIAs[15]. ELFAs and EIAs have long-term requirements for large-scale instruments and professional training. Although ECLIAs only take 28 min, they also have the disadvantages of expensive instruments and high operational requirements. These detection methods are difficult to support in poor and remote areas. The method established in this study has a LOD of 3.4 pg/mL, and the linear width ranges from 3.4 pg/mL to 10 ng/mL. The average intra-assay recovery was 99.6%, and the CV was 5.4%–8.6%; the average inter-assay recovery was 97.3%, and the CV was 8.5%–11%. These values meet production requirements. The sample detected by fluorescent microsphere immunochromatography had a good correlation with ELISA in the quantitative range, and the detection rate is higher. Therefore, the method established in this paper not only has LOD equal to that of other methods but also has better accuracy. The portable fluorescent detector KY-100 used in thismethod is easy to carry and less expensive than large instruments, and the detection time is only 15 min. In China, repeat HIV testing remained uncommon among at-risk populations[16]. And this method is not only suitable for repeated testing of HIV patients, but also for disease surveillance in the hospital, community disease screening and epidemiological investigation in remote and poor areas.
In summary, the near-infrared fluorescent microsphere immunochromatographic test strip developed in this study has great potential for clinical application. Since the late P24 antigen will disappear because of binding with the HIV antibody, the detection rate of the P24 detection reagent developed at this time is higher than that of the ELISA method; however, the detection rate is still not high enough. For this reason, the test reagent should be used mainly for early detection of HIV infection and disease monitoring. In a follow-up study, we will develop a fourth-generation HIV test kit based on near-infrared fluorescent microsphere immunochromatography to enable large-scale screening of HIV.
doi: 10.3967/bes2020.024
A New Method for Ultra-sensitive P24 Antigen Assay Based on Near-infrared Fluorescent Microsphere Immunochromatography
-
Abstract:
Objective To develop a rapid, highly sensitive quantitative method for detecting P24 antigen based on near-infrared fluorescent microsphere immunochromatography. Methods First, we prepared a lateral flow assay test strip, and labeled the detection antibody using a fluorescent microsphere. Second, we optimized the antibody labeling conditions. Third, we optimized the detection conditions. Fourth, we created a working curve. Fifth, we conducted a methodological assessment of the established fluorescent microsphere immunochromatography method. Sixty-six clinical samples were tested, and we compared the established fluorescent microsphere immunochromatography with the quantitative ELISA method. Results According to the working curve, the detection limit of the method is 3.4 pg/mL, and the detection range is 3.4 pg/mL to 10 ng/mL. The average intra-assay recovery was 99.6%, and the Coefficient of Variation (CV) was 5.4%–8.6%; the average inter-assay recovery was 97.3%, and the CV was 8.5%–11%. The detection rate of fluorescent microsphere immunochromatography was higher than ELISA method, and had a good correlation with ELISA. Conclusion The P24 antigen quantitative detection method based on near-infrared fluorescent microsphere immunochromatography has the advantages of rapid detection, high sensitivity, and wide detection range; thus, it is suitable for early clinical diagnosis and continuous monitoring of AIDS. -
Key words:
- Fluorescent microsphere immunochromatography /
- HIV /
- P24 antigen /
- POCT
-
Figure 1. The structure of the lateral flow assay (LFA) strip. ① backing plate, ② sample pad, ③ conjugation pad, ④ the test line, ⑤ the control line, ⑥ nitrocellulose membrane, ⑦ absorbent paper, ⑧ P24 antigen, ⑨ fluorescent microsphere, ⑩ detection antibody, ⑪ capture antibody, ⑫ Goat anti-mouse IgG.
Figure 10. Work curve of P24 antigen detection based on fluorescent microsphere immunochromatography.
The concentration range of P24 from 7.5 pg/mL to 10 ng/mL can be divided into two linear intervals. The low concentration is between 7.5 pg/mL and 1 ng/mL (A), the high concentration is between 1 ng/mL and 10 ng/mL (B).
Table 1. Three spiked concentrations (0.05, 1, and 5 ng/mL) of P24 were analyzed for intra- andinter-assay recovery and precision studies
P24 antigen addition concentration (ng/mL) Intra -assay Inter-assay Average value (ng/mL) Recovery (%) Standard deviation CV (%) Average value (ng/mL) Recovery (%) Standard deviation CV (%) 0.05 0.046 92.0 0.03 8.6 0.044 88.0 0.03 10.5 1.00 0.978 97.8 0.38 5.4 1.050 105.0 0.77 11.0 5.00 4.981 99.6 1.92 6.5 4.943 98.9 2.53 8.5 Table 2. Comparison of fluorescent microsphere immunochromatographic assay and ELISA
Type of samples Number of samples ELISA Fluorescent microsphere immunochromatographic assay Number of samples detected Detection rate (%) Number of samples detected Detection rate (%) Positive samples 47 28 59.6 33 70.2 Negative samples 19 18 94.7 19 100.0 -
[1] Kitahata MM, Gange SJ, Abraham AG, et al. Effect of early versus deferred antiretroviral therapy for HIV on survival. N Engl J Med, 2009; 360, 1815−26. doi: 10.1056/NEJMoa0807252 [2] Cohen MS, Gay CL, Busch MP, et al. The detection of acute HIV infection. J Infect Dis, 2010; 202(Suppl 2), 270−7. [3] Oliviero E, Mauro Giacomini, Flavia B. High quantifiable levels of P24 antigenemia are detectable in HIV type 1-infected patients. AIDS Research and Human Retroviruses, 1996; 12, 565−6. doi: 10.1089/aid.1996.12.565 [4] Jang Yan, Wang Ning, Li Jingyun, et al. National guideline for detection of HIV/AIDS. Chinese Center for Disease Control and Prevention, 2016; 6, 401−27. [5] Tay A, Pavesi A, Yazdi SR, et al. Advances in microfluidics in combating infectious diseases. Biotechnol. Adv, 2016; 34, 404−21. doi: 10.1016/j.biotechadv.2016.02.002 [6] AS Fauci. HIV and AIDS: 20 years of science, Nat Med, 2003; 9, 839. [7] Phillips AN, Neaton J, Lundgren JD. The role of HIV in serious diseases other than AIDS. AIDS, 2008; 22, 2409−18. doi: 10.1097/QAD.0b013e3283174636 [8] Tripathi A, Gardner L, Ogbuanu I, et al. Predictors of time to enter medical care after a new HIV diagnosis: a statewide population-based study. AIDS Care, 2011; 23, 1366−73. doi: 10.1080/09540121.2011.565032 [9] Hui Chen, Kengku Liu, Zhao Li, et al. Point of care testing for infectious diseases. Clinica Chimica Acta, 2019; 493, 138−47. doi: 10.1016/j.cca.2019.03.008 [10] Cassandra Willyard. Simpler tests for immune cells could transform AIDS care in Africa. Science On A Shoestring, 2007; 13, 1131. [11] H Chen, AE Hagstrom, J Kim, et al. Flotation immunoassay: masking the signal from free reporters in sandwich immunoassays. Sci Rep, 2016; 6, 297. [12] ZENG Yi, ZHANG Xiao Guang, CAO Yu Xi, et al. A new method for blood NT-proBNP determination based on a Near-infrared point of care testing device with high sensitivity and wide scope. Biomed Environ Sci, 2017; 30, 426−31. [13] Bernard Weber. A New Automated Fourth-Generation HIV Screening Assay with Sensitive Antigen Detection Moduleand High Specificity. Methods in Molecular Biology, 2005; 20, 245−55. [14] Bernard Weber. Screening of HIV infection: role of molecular and immunological assays. Expert Rev Mol Diagn, 2006; 6, 399−411. doi: 10.1586/14737159.6.3.399 [15] Bernard Weber, Annelies Mϋhlbacher, Ulrike Michl, et al. Multicenter evaluation of a new rapid automated human immunodeficiency virus antigen detection assay. J Virol Methods, 1999; 78, 61−70. doi: 10.1016/S0166-0934(98)00162-1 [16] Meng Xiao Jun, Andrew Grulich, Wang Xu Wen, et al. Repeat HIV Testing and Incident Rates among Individuals Attending Voluntary Counseling and Testing Clinics in Wuxi, China: A Retrospective Study. Biomed Environ Sci, 2018; 31, 34−47. -
下载:


Quick Links