2026 Vol. 39, No. 1

2026-1 Cover
2026, 39(1)
2026-1 Contents
2026, 39(1): 1-2.
Editorial
Could Increasing Minimally Processed Food Consumption Lower Body Fat Mass?
Zhenyu Yang
2026, 39(1): 1-2. doi: 10.3967/bes2026.001
Original Article
Joint Associations of Sarcopenia and Social Isolation with Mortality: Two Prospective Cohort Studies across Different Cultural Contexts
Juanjuan Li, Zhe Zhang, Jijuan Zhang, Yuxiang Wang, Hancheng Yu, Gang Liu, An Pan, Yunfei Liao, Tingting Geng
2026, 39(1): 3-14. doi: 10.3967/bes2025.113
  Objective  This study aims to investigate the joint associations of sarcopenia and social isolation with mortality risk.  Methods  Using data from the Chinese Longitudinal Healthy Longevity Survey (CLHLS) and the UK Biobank, sarcopenia was diagnosed according to European and Asian Working Groups for Sarcopenia criteria. Social isolation was assessed using standardized questionnaires, including questions on solitude, frequency of social activities, contact with others, and marital status (for the CLHLS only).  Results  During the follow-up period, 8,249 deaths occurred in the CLHLS and 26,670 deaths in the UK Biobank groups. While no significant interaction was observed between sarcopenia and social isolation in predicting all-cause mortality in the CLHLS cohort, the association between social isolation and mortality was stronger among individuals with sarcopenia in the UK Biobank (P-interaction = 0.03, relative risk due to interaction: 0.23, 95% confidence interval [CI]: 0.06–0.41). Further joint analyses showed that participants with sarcopenia and high levels of social isolation had the highest mortality risk (hazard ration [HR]: 1.99; 95% CI: [1.74–2.28] in the CLHLS and 1.69 [1.55–1.85] in the UK Biobank) compared to those without either condition.  Conclusion  The combination of social isolation and sarcopenia synergistically increases the risk of mortality in middle-aged and older adults across diverse populations.
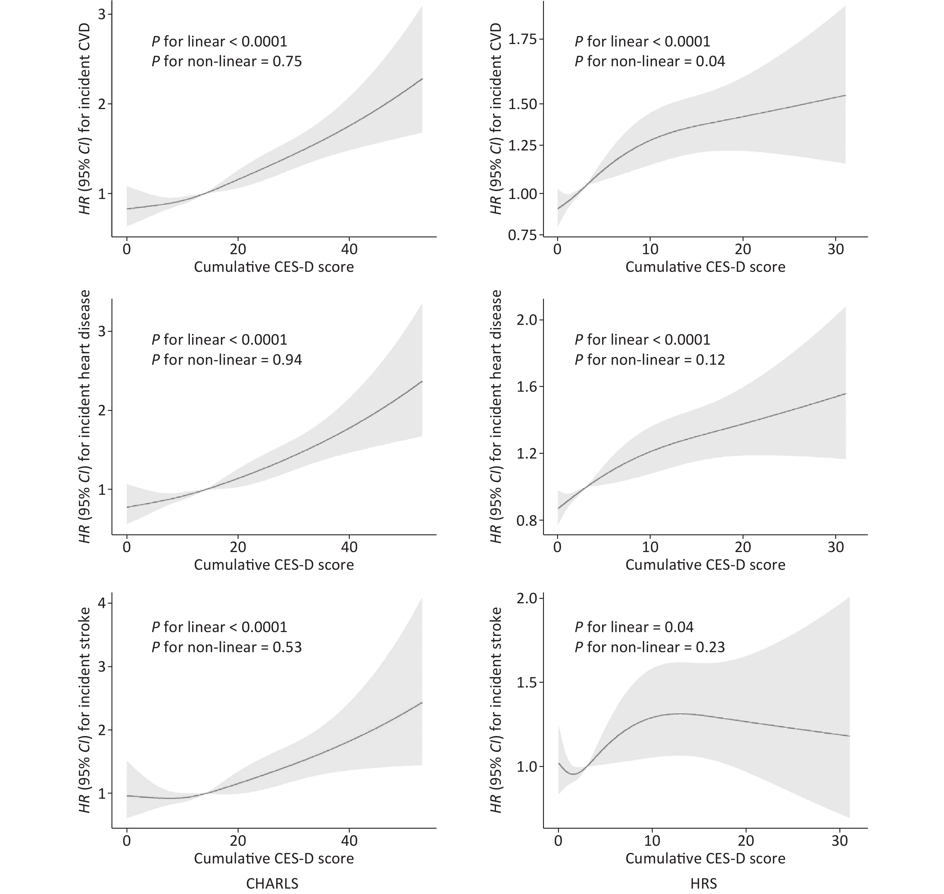
Long-term Cumulative Depressive Symptoms and Incident Cardiovascular Disease in Middle-aged and Older Population: Two Cohort Studies
Fangfei You, Yining Gao, Wenfang Zhong, Zhihao Li, Jian Gao, Dong Shen, Xiaomeng Wang, Weiqi Song, Qi Fu, Haoyu Yan, Jiahao Xie, Huan Chen, Hao Yan, Chen Mao
2026, 39(1): 15-25. doi: 10.3967/bes2025.165
  Objective  Elevated depressive symptoms are well-documented among geriatric adults with cardiovascular disease (CVD); however, few studies have accounted for long-term cumulative depressive symptom exposure. This study determined the relationship between cumulative depressive symptoms and CVD.  Methods  Individual participant data were obtained from the China Health and Retirement Longitudinal Study (CHARLS) and Health and Retirement Study (HRS). Eligible participants had access to assessment information on depressive symptoms and had no history of CVD at baseline. Long-term cumulative depressive symptoms were estimated by calculating the area under the curve based on the Center for Epidemiological Studies Depression Scale.  Results  Herein, 8,861 participants from CHARLS (mean age: 58.58 years; male: 48.6%) and 7,284 from HRS (60.94 years; 35.0%) were enrolled. The median follow-up period was 5 years for the CHARLS and 10 years for the HRS. Compared with the first quartile of cumulative depressive symptoms, the HRs (95% CI) in the fourth quartile were 1.73 (1.48, 2.02) for predicting CVD (P < 0.001), 1.83 (1.52, 2.19) for heart disease (P < 0.001), 1.53 (95% CI: 1.17, 1.99) for stroke (P = 0.002) in CHARLS. For HRS, the HRs (95% CI) were 1.41 (95% CI: 1.27, 1.57; P < 0.001), 1.42 (95% CI: 1.26, 1.59; P < 0.001), and 1.30 (95% CI: 1.06, 1.58; P = 0.010) respectively. Strong dose-response relationships were observed, with similar results for the two cohorts.   Conclusion  Long-term cumulative depressive symptoms were significantly associated with incident CVD in middle-aged and older adults, providing insights into controlling long-term depressive symptoms to improve this cohort’s health.
Plasma Metabolites Mediate the Associations of Gut Microbial Diversity with Ambulatory Blood Pressure and Its Variability
Zhenghao Tang, Zhennan Lin, Jianxin Li, Fangchao Liu, Jie Cao, Shufeng Chen, Keyong Huang, Hongfan Li, Dongsheng Hu, Jianfeng Huang, Dongfeng Gu, Xiangfeng Lu
2026, 39(1): 26-35. doi: 10.3967/bes2025.089
  Objective  Evidence suggests that depleted gut microbial α-diversity is associated with hypertension; however, whether metabolic markers affect this relationship remains unknown. We aimed to determine the potential metabolites mediating the associations of α-diversity with blood pressure (BP) and BP variability (BPV).  Methods  Metagenomics and plasma targeted metabolomics were conducted on 523 Chinese participants from the MetaSalt study. The 24-hour, daytime, and nighttime BP and BPV were calculated based on ambulatory BP measurements. Linear mixed models were used to characterize the relationships between α-diversity (Shannon and Chao1 index) and BP indices. Mediation analyses were performed to assess the contribution of metabolites to the observed associations. The influence of key metabolites on hypertension was further evaluated in a prospective cohort of 2,169 participants.  Results  Gut microbial richness (Chao1) was negatively associated with 24-hour systolic BP, daytime systolic BP, daytime diastolic BP, 24-hour systolic BPV, and nighttime systolic BPV (P < 0.05). Moreover, 26 metabolites were strongly associated with richness (Bonferroni P < 0.05). Among them, four key metabolites (imidazole propionate, 2-hydroxy-3-methylbutyric acid, homovanillic acid, and hydrocinnamic acid) mediated the associations between richness and BP indices (proportions of mediating effects: 14.1%–67.4%). These key metabolites were also associated with hypertension in the prospective cohort. For example, each 1-standard deviation unit increase in hydrocinnamic acid significantly reduced the risk of prevalent (OR [95% CI] = 0.90 [0.82, 0.99]; P = 0.03) and incident hypertension (HR [95% CI] = 0.83 [0.71, 0.96]; P = 0.01).  Conclusion  Our results suggest that gut microbial richness correlates with lower BP and BPV, and that certain metabolites mediate these associations. These findings provide novel insights into the pathogenesis and prevention of hypertension.
Dissecting the Causal Association between Body Fat Mass and Obsessive-Compulsive Disorder: A Two-Sample Mendelian Randomization Study
Meiling Hu, Zhennan Lin, Hongwei Liu, Yunfeng Xi, Youxin Wang
2026, 39(1): 36-45. doi: 10.3967/bes2025.069
  Objective  Previous studies link lower body mass index (BMI) with increased obsessive-compulsive disorder (OCD) risk, yet other body mass indicators may be more etioloically relevant. We dissected the causal association between body fat mass (FM) and OCD.  Methods  Summary statistics from genome-wide association studies of European ancestry were utilized to conduct two-sample Mendelian randomization analysis. Heterogeneity, horizontal pleiotropy, and sensitivity analyses were performed to assess the robustness.  Results  The inverse variance weighting method demonstrated that a genetically predicted decrease in FM was causally associated with an increased OCD risk [odds ratio (OR) = 0.680, 95% confidence interval (CI): 0.528–0.875, P = 0.003]. Similar estimates were obtained using the weighted median approach (OR = 0.633, 95% CI: 0.438–0.915, P = 0.015). Each standard deviation increases in genetically predicted body fat percentage corresponded to a reduced OCD risk (OR = 0.638, 95% CI: 0.455–0.896, P = 0.009). The sensitivity analysis confirmed the robustness of these findings with no outlier instrument variables identified.  Conclusion  The negative causal association between FM and the risk of OCD suggests that the prevention or treatment of mental disorders should include not only the control of BMI but also fat distribution and body composition.
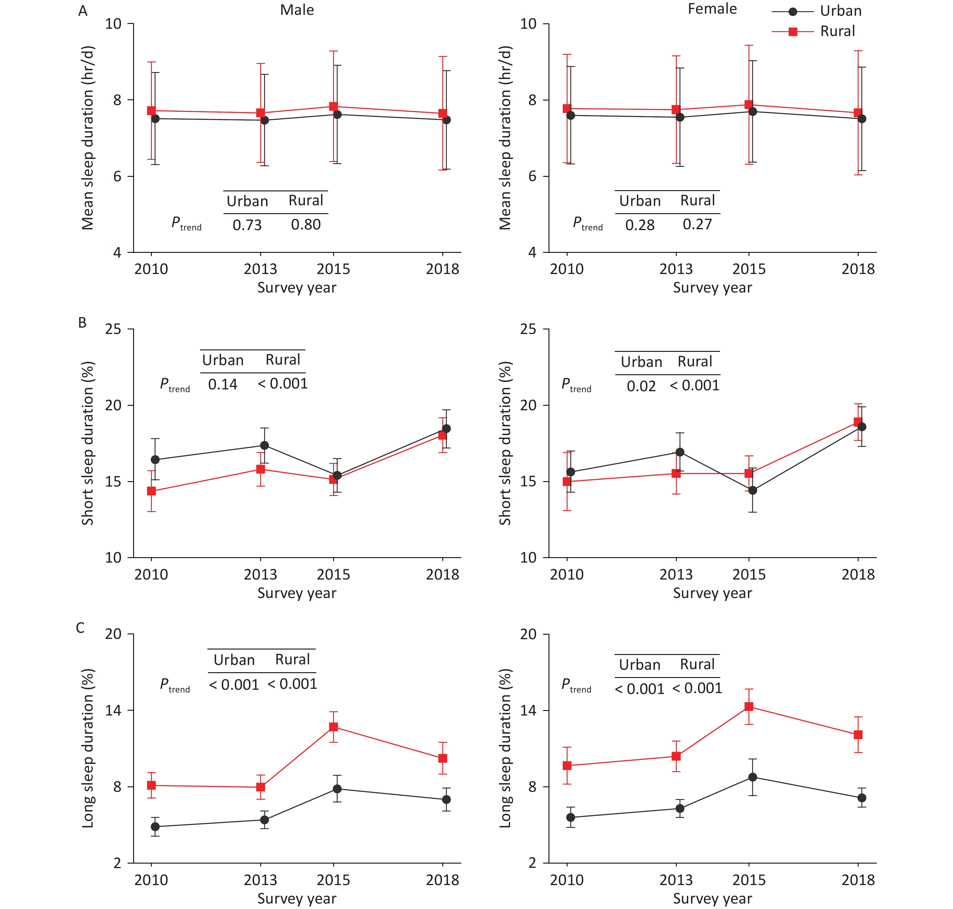
The Increasing Trends of Short and Long Sleep Duration among Chinese Adults from 2010 to 2018: A Repeated Nationally Representative Cross-sectional Survey
Yun Chen, Lan Wang, Mei Zhang, Sifan Hu, Yan Shao, Xiao Zhang, Chun Li, Jie Chen, Zhenping Zhao, Yanhong Dong, Lin Lu, Maigeng Zhou, Limin Wang, Junliang Yuan, Hongqiang Sun
2026, 39(1): 46-59. doi: 10.3967/bes2025.093
  Objective  This study aimed to determine the temporal trends in sleep duration among Chinese adults.  Methods  In this series of repeated nationally representative cross-sectional surveys (China Chronic Disease and Risk Factors Surveillance) conducted between 2010 and 2018, a total of 645,420 adult participants (97,741 in 2010; 175,749 in 2013; 187,777 in 2015; and 184,153 in 2018) were included in the trend analysis. Linear and logistic regression models were utilized to assess trends in sleep duration.  Results  In 2018, the estimated overall mean sleep duration among the Chinese adult population was 7.58 (SD, 1.45) hours per day, with no significant trend from 2010. A significant increase in short sleep duration (≤ 6 hours) was observed in the total population, from 15.3% (95% CI: 14.1%–16.5%) in 2010 to 18.5% (95% CI: 17.7%–19.3%) in 2018 (P < 0.001). Similarly, the trend in long sleep duration (> 9 hours) was also significant, increasing in weighted prevalence from 7.2% (95% CI: 6.3%–8.1%) in 2010 to 9.0% (95% CI: 8.2%–9.9%) in 2018 (P < 0.001).  Conclusion  The prevalence of both short and long sleep durations significantly increased among Chinese adults from 2010 to 2018, highlighting the urgency of health initiatives to promote optimal sleep duration in China.
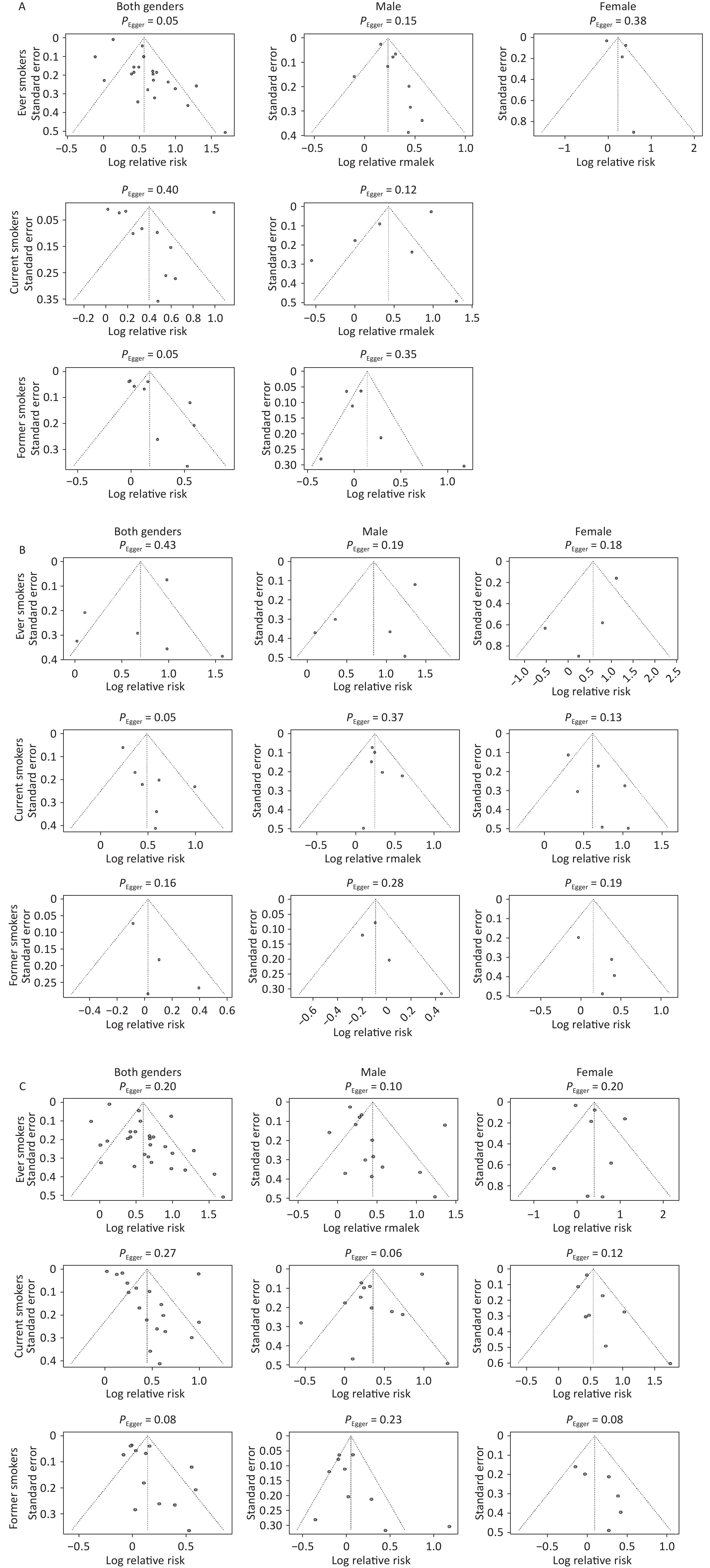
Comparative Risk of Stroke Associated with Active Smoking in Chinese and Asian Populations
Zemin Cai, Xiaojing Guo, Xiao Zhang, Danying Li, Xiaoyue Li, Xia Wan
2026, 39(1): 60-72. doi: 10.3967/bes2025.146
  Objective  Stroke is the third leading cause of death worldwide, with the highest incidence in Asia, particularly in China, where smoking remains a major risk factor. The smoking prevalence in China is similar to that in Asia. Whether the risk estimates for smoking-related stroke in China and all Asian countries are still unknown which is worth evaluating. Thus, this study aims to compare the Relative Risk (RR) of smoking-attributed stroke among the Chinese and Asian populations.  Methods  A literature search was conducted from the inception to September 10, 2022. Studies meeting the criteria were included. The articles were screened, and related information was extracted. Pooled RRs stratified by smoking status and sex were analyzed, including subgroup analyses for China, other Asian countries, and Asia overall. Finally, publication bias and sensitivity analyses were conducted.  Results  Thirty-seven articles on the Chinese population and 15 on other Asian populations were included, with a mean Newcastle-Ottawa scale (NOS) score of 7.25. About ever smokers, there had no statistical difference existed in both sexes and females between China and other Asian countries, while the RR of males in other Asian countries [2.31 (1.38, 3.86)] was higher than that in China [1.21 (1.15, 1.26)]; further subgroup analysis indicated that other Asian countries had higher RR [3.76 (3.02, 4.67)] in the morbidity subgroup. The RRs of both sexes, males and females, between China and the whole of Asia were not statistically different. As for current and former smokers, no meaningful statistical difference was observed in the pooled RRs of both sexes, males and females, in China, other Asian countries, and all of Asia.  Conclusion  The RR of males ever smokers in China was smaller than that in other Asian countries due to the few articles of morbidity subgroup, but had no statistical difference with the whole of Asia; other groups of ever smokers, current smokers, and former smokers were not statistically significant with other Asian countries or the whole of Asia.
Relationship between Coarse Cereals Consumption and Body Fat Percentage among Chinese School-aged Children
Tingting Gao, Wei Cao, Titi Yang, Peipei Xu, Juan Xu, Qian Gan, Hongliang Wang, Hui Pan, Yingying Zhao, Kai You, Qingbin Xing, Wenhua Zhao, Zhenyu Yang, Qian Zhang
2026, 39(1): 73-81. doi: 10.3967/bes2025.086
  Objective  The rising prevalence of childhood obesity is closely associated with suboptimal dietary patterns. To address this public health concern, we conducted a comprehensive study to examine the association between coarse cereals consumption and body fat percentage (BFP) in Chinese children and adolescents.  Methods  The study included 48,305 children aged 6–17 years from 28 districts/counties in 14 provinces across seven regions of China (24,152 girls and 24,153 boys). BFP was examined using bioelectrical impedance analysis in the early morning. Coarse cereals consumption was assessed using a Food Frequency Questionnaire and categorized into three groups: 0 g/1,000 kcal per day, 0–10 g/1,000 kcal per day, and > 10 g/1,000 kcal per day (daily consumption of coarse cereals × 1,000/total energy consumption). Quantile regression model was used to analyze the association between coarse cereals and BFP, adjusting for potential confounders such as age, pubertal development stage, urban/rural and regional factors, total daily dietary energy consumption, sedentary time, moderate-to-high physical activity, household income, parental education, and consumption of other foods.  Results  Boys aged 6–10, 11–14, and 15–17 years had median daily coarse cereals consumptions of 6.6 g, 7.1 g, and 5.7 g, with BFP of 19.6%, 19.5%, and 17.5% (all P < 0.05). Girls in the same age groups showed consumption of 7.1 g, 8.4 g, and 6.7 g, with BFP of 20.3%, 26.4%, and 31.0% (all P < 0.05). The quantile regression results for boys showed that daily consumption of coarse cereals was significantly correlated with their BFP in the 0.15, 0.25, and 0.50 quartiles, with regression coefficients of −0.257, −0.221, and −0.330, respectively, after adjusting for potential confounders (P < 0.05). For girls, there was a significant correlation with PBF at the 0.05, 0.15, 0.25, 0.50, 0.75, and 0.85 quartiles, with regression coefficients of −0.258, −0.366, −0.372, −0.431, −0.472, and −0.503 (P < 0.05 for all).  Conclusions  Coarse cereals consumption among Chinese children and adolescents remains relatively low. Higher consumption was inversely associated with BFP in children aged 6–17 years. Future interventional studies should assess how increased coarse cereals consumption prevents childhood obesity.
Review
Cardiac Organoids: Emerging Tools for Investigating Environmental Roles in Cardiomyopathy Pathogenesis and Therapeutic Development
Yaoyao Xu, Zhimin Wang
2026, 39(1): 82-104. doi: 10.3967/bes2025.104
Human cardiac organoids have revolutionized the study of cardiac development, disease modeling, drug discovery, and regenerative therapies. This review systematically discusses strategies and progress in the construction of cardiac organoids, categorizing them into three main types: cardiac spheroids, self-organizing/assembloid organoids, and organoid-on-a-chip systems. This review uniquely integrates the advances in vascularization, organ-on-chip design, and environmental cardiotoxicity modeling within cardiac organoid platforms, offering a critical synthesis that is absent in the literature. In the context of escalating environmental threats to cardiovascular health, there is an urgent need for physiologically relevant models to accurately identify cardiac toxicants and elucidate their underlying mechanisms of action. This review highlights advances in cardiac organoid applications for disease modeling—including congenital heart defects and acquired cardiovascular diseases—drug development, toxicity screening, and the study of environmentally induced cardiovascular pathogenesis. In addition, it critically examines ongoing challenges and underscores opportunities brought by bioengineering approaches. Finally, we propose future directions for developing standardized cardiac organoid platforms with clinical predictability, aiming to expand the utility of this technology across broader research applications.
Letter
Associations between Premature Menopause and Cardiovascular-Kidney-Metabolic Syndrome: A Prospective Cohort Study from the UK Biobank
Ming Jin, Zeping Yang, Ziyi Zhang, Zhexin Luo, Ninghao Huang, Tao Huang, Xiaojing Liu, Nan Li
2026, 39(1): 105-110. doi: 10.3967/bes2026.002
Distribution of Tobacco Retail Outlets around Secondary Schools and Association with Students’ Smoking Behavior in Beijing, 2024
Mingxin Qi, Xiaokai Jia, Ruiran Liu, Yingchen Sang, Lin Xiao
2026, 39(1): 111-115. doi: 10.3967/bes2026.003
Relationship of Non-Essential and Essential Metals with Vitamin D in a Chinese Early Adolescent Cohort
Gengfu Wang, Weibo Liu, Min Li, Ting Tang, Qi Zhong, Guangbo Qu, Yi Zhou, Mengyuan Yuan, Yonghan Li, Fangbiao Tao, Puyu Su, Chaoxue Zhang
2026, 39(1): 116-122. doi: 10.3967/bes2025.168
APOE ε4 Allele Modifies the Association of Heavy Metals and their Mixture with Diabetes Mellitus among Chinese Community-Dwelling Older Adults
Lili Yao, Ying Cao, Beibei Yin, Qiang Liu, Fusheng Lin, Xuqiu Cheng, Ziwei Tian, Linsheng Yang, Hongjuan Cao, Liang Sun, Fangbiao Tao, Li Wang, Guimei Chen
2026, 39(1): 123-128. doi: 10.3967/bes2026.004