2019 Vol. 32, No. 4

Select articles
2019-04cover
2019, 32(4): 1-1.
2019-04contents
2019, 32(4): 2-2.
Activities of Biapenem against Mycobacterium tuberculosis in Macrophages and Mice
GUO Zhen Yong, ZHAO Wei Jie, ZHENG Mei Qin, LIU Shuo, YAN Chen Xia, LI Peng, XU Shao Fa
2019, 32(4): 235-241. doi: 10.3967/bes2019.033
Objective To assess the activities of biapenem against multidrug-resistant and extensively drug-resistant Mycobacterium tuberculosis. Methods Biapenem/clavulanate (BP/CL) was evaluated for in vitro activity against Mycobacterium tuberculosis (Mtb) multidrug-resistant (MDR) isolates, extensively drug-resistant (XDR) isolates, and the H37RV strain. BP/CL activity against the H37Rv strain was assessed in liquid cultures, in macrophages, and in mice. Results BP/CL exhibited activity against MDR and XDR Mtb isolates in liquid cultures. BP/CL treatment significantly reduced the number of colony forming units (CFU) of Mtb within macrophages compared with control untreated infected macrophages. Notably, BP/CL synergized in pairwise combinations with protionamide, aminosalicylate, and capreomycin to achieve a fractional inhibitory concentration for each pairing of 0.375 in vitro. In a mouse tuberculosis infection model, the efficacy of a cocktail of levofloxacin + pyrazinamide + protionamide + aminosalicylate against Mtb increased when the cocktail was combined with BP/CL, achieving efficacy similar to that of the positive control treatment (isoniazid + rifampin + pyrazinamide) after 2 months of treatment. Conclusion BP/CL may provide a new option to clinically treat MDR tuberculosis.
Estimated Average Glandular Dose for 1, 828 Mammography Procedures in China: A Multicenter Study
DU Xiang, WANG Jin, ZHU Bao Li
2019, 32(4): 242-249. doi: 10.3967/bes2019.034
Objective To understand the distribution of the average glandular dose (AGD) in mammography by investigating 1, 828 exposure parameters of 8 mammography machines in three cities, by using random sampling. Methods A survey of 8 mammography machines in three different cities, sampled using stratified random sampling methods, was performed, and 1, 828 mammography exposure parameters were recorded. Incident air kerma (k) was measured by Quality-Assurance (QA) dosimeters, and AGD was calculated by series conversion coefficients based on a 3D detailed Monte Carlo breast model, published by Wang et al. Results The distribution of compressed breast thickness (CBT) fitted a normal distribution, while that of AGD fitted a skewed distribution. The mean value of CBT in a medio-lateral oblique (MLO) view was about 5.6% higher than that in the craniocaudal (CC) view, with significant statistical difference; mean value of AGD and CBT in the sample was 1.3 mGy and 4.6 cm, respectively. The AGD trended upward with increasing CBT, similar to the results of other researches. Conclusion The mean AGD and CBT levels in our study for mammography practice in China were 1.3 mGy and 4.6 cm, respectively. AGD is influenced by manufacturer-specific variation as machine response to CBT changes and target/filter combination. The present study can provide evidence for establishing a diagnostic reference level in China.
Prognostic Values of Serum Chloride and Sodium Levels in Patients with Three-vessel Disease
ZHANG Ce, WANG Dong, HOU Bing Jie, JIANG Lin, XU Lian Jun, TIAN Jian, ZHAO Yan Yan, ZHAO Xue Yan, FENG Xin Xing, ZHANG Yin, SUN Kai, XU Bo, ZHAO Wei, HUI Ru Tai, GAO Run Lin, LOU Hui Ling, YUAN Jin Qing, SONG Lei
2019, 32(4): 250-259. doi: 10.3967/bes2019.035
Objective Identification of new risk factors is needed to improve prediction of adverse outcomes in patients with three-vessel disease (TVD). The present study aimed to evaluate the prognostic values of serum chloride and sodium levels in patients with TVD. Methods We used data from a prospective cohort of consecutive patients with angiographically confirmed TVD. The primary endpoint was all-cause death. Cox proportional hazard regression was used to analyze the relationship of serum chloride and sodium levels with long-term outcomes of TVD patients. Results A total of 8, 318 participants with available serum chloride and sodium data were included in this analysis. At baseline, patients in the low tertiles group of serum chloride level (≤ 102.0 mmol/L) or serum sodium level (≤ 139.0 mmol/L) had more severe disease conditions. During a median follow-up of 7.5-year, both low serum chloride level and low serum sodium level were found to be associated with an increased risk for mortality in univariate analysis. However, when both parameters were incorporated into a multivariate model, only low serum sodium level remained to be an independent predictor of all-cause death (hazard ratio:1.16, 95% confidence interval:1.01-1.34, P=0.041). Modest but significant improvement of discrimination was observed after incorporating serum sodium level into the Synergy between percutaneous coronary intervention (PCI) with Taxus and Cardiac Surgery score. Conclusion Serum sodium level is more strongly associated with long-term outcomes of TVD patients compared with serum chloride level. Low serum sodium level is an independent risk factor for mortality, but only provides modest prognostic information beyond an established risk model.
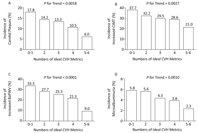
Ideal Cardiovascular Health is Inversely Associated with Subclinical Atherosclerosis: A Prospective Analysis
WANG Long, NIU Jing Ya, ZHAO Zhi Yun, LI Mian, XU Min, LU Jie Li, WANG Tian Ge, CHEN Yu Hong, WANG Shuang Yuan, DAI Meng, LI Lin, LIU Shan Shan, WANG Wei Qing, XU Yu, BI Yu Fang
2019, 32(4): 260-271. doi: 10.3967/bes2019.036
Objective Ideal cardiovascular health (CVH) could predict a lower risk of developing cardiovascular diseases. This study was conducted to investigate the association between ideal CVH and subclinical atherosclerosis in a population cohort of Chinese adults aged ≥ 40 years. Methods This study was designed as a cross-sectional analysis of 8, 395 participants who had complete data at baseline and a prospective analysis of 4, 879 participants who had complete data at 4.3 years of follow-up. Ideal CVH metrics were defined according to the American Heart Association. Subclinical atherosclerosis was evaluated by plaques in carotid arteries, carotid intima-media thickness (CIMT), brachial-ankle pulse wave velocity (baPWV), and urinary albumin-to-creatinine ratio (UACR). Results Both the prevalence and incidence of atherosclerosis measures were found to be decreased with increasing numbers of ideal CVH metrics at baseline (all P values for trend < 0.01). The levels of CIMT and UACR at follow-up showed an inverse and significant association with the numbers of ideal CVH metrics at baseline (both P values for trend < 0.05) but a borderline significant association with baPWV (P for trend=0.0505). Taking participants with 0-1 ideal metric as reference, we found that participants with 5-6 ideal metrics had significantly lower risks of developing carotid plaques (odds ratio, OR=0.46; 95% confidence interval, CI 0.27-0.79), increased CIMT (OR=0.60; 95% CI 0.42-0.84), and increased baPWV (OR=0.57; 95% CI 0.34-0.97) after full adjustments. A significant interactive effect of age and CVH was detected on CIMT and baPWV progression (both P values for interaction < 0.05). Conclusion The numbers of ideal CVH metrics showed a significant and inverse association with the risk of developing subclinical atherosclerosis in middle-aged and elderly Chinese adults, whereas its dose-response effect was attenuated in individuals aged ≥ 60 years and partially weakened in male participants.
NANOG Alleviates the Damage of Human Hair Follicle Mesenchymal Stem Cells Caused by H2O2 through Activation of AKT Pathway
SHI Jia Hong, ZUO Kui Yang, ZHANG Ying Yao, WANG Bo, HAN Xing, LIAN Ao Bo, LIU Jin Yu
2019, 32(4): 272-280. doi: 10.3967/bes2019.037
Objective To explore the protective effect of NANOG against hydrogen peroxide (H2O2) -induced cell damage in the human hair follicle mesenchymal stem cells (hHF-MSCs). Methods NANOG was expressed from a lentiviral vector, pLVX-IRES-ZsGreen. NANOG hHF-MSCs and vector hHF-MSCs were treated with 400 μmol/L hydrogen peroxide (H2O2) for 2 h, the cell survival rate, cell morphology, ROS production, apoptosis and expression of AKT, ERK, and p21 were determined and compared. Results Our results showed that NANOG could activate AKT and upregulate the expression of p-AKT, but not p-ERK. When treated with 400 μmol/L H2O2, NANOG hHF-MSCs showed higher cell survival rate, lower ROS production and apoptosis, higher expression of p-AKT, higher ratio of p-AKT/AKT. Conclusion Our results suggest that NANOG could protect hHF-MSCs against cell damage caused by H2O2 through activating AKT signaling pathway.
2, 3, 7, 8-Tetrachlorodibenzo-p-dioxin Promotes Proliferation of Astrocyte Cells via the Akt/STAT3/Cyclin D1 Pathway
WU Chang Yue, YIN Kai Zhi, ZHANG Yan, JIAO Man, ZHAO Xin Yuan, WU Qi Yun
2019, 32(4): 281-290. doi: 10.3967/bes2019.038
Objective The compound 2, 3, 7, 8-tetrachlorodibenzo-p-dioxin (TCDD), a persistent organic pollutant, is harmful to the nervous system, but its effects on the brain are still unclear. This study aimed to investigate the effects of TCDD on astrocytes proliferation and underlying molecular mechanism. Methods The cell proliferation was measured by EdU-based proliferation assay and PI staining by flow cytometry. Protein expression levels were detected by Western blotting. Immunofluorescence, cytoplasmic and nuclear fractions separation were used to assess the distribution of signal transducer and activator of transcription 3 (STAT3). Results C6 cells treated with 10 and 50 nmol/L TCDD for 24 h showed significant promotion of the proliferation of. The exposure to TCDD resulted in the upregulation in the expression levels of phosphorylated protein kinase B (p-Akt), phosphorylated STAT3, and cyclin D1 in a dose-and time-dependent manner. The inhibition of Akt expression with LY294002 or STAT3 expression with AG490 abolished the TCDD-induced cyclin D1 upregulation and cell proliferation. Furthermore, LY294002 suppressed the activation of STAT3. Finally, TCDD promoted the translocation of STAT3 from the cytoplasm to the nucleus, and LY294002 treatment blocked this effect. Conclusion TCDD exposure promotes the proliferation of astrocyte cells via the Akt/STAT3/cyclin D1 pathway, leading to astrogliosis.
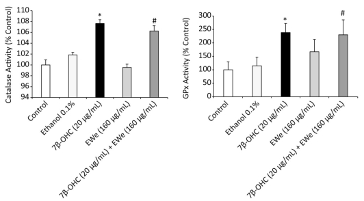
Effects of Carpobrotus edulis Extract on Oxidative Stress and 158N Oligodendrocyte Death
Amira Zarrouk, Mohammed Ali Smach, Jawhar Hafsa, Randa Sghaier, Hatem majdoub, Mohammed Hammami, Bassem Charfeddine
2019, 32(4): 291-299. doi: 10.3967/bes2019.039
Objective Age-related diseases, including neurodegenerative diseases, are associated with oxidative stress and lipid peroxidation, and increase the levels of cholesterol auto-oxidation products such as 7β-hydroxycholesterol (7β-OHC). Thus, it is imperative to identify agents that can prevent 7β-OHC-induced side-effects. Methods We evaluated the potential protective effects of Carpobrotus edulis ethanol-water extract (EWe) on murine oligodendrocytes (158N) cultured in the absence or presence of 7β-OHC (20 μg/mL, 24 h). The cells were incubated with EWe (20-200 μg/mL) 2 h before 7β-OHC treatment. Mitochondrial activity and cell growth were evaluated with the MTT assay. Photometric methods were used to analyze antioxidant enzyme[catalase (CAT) and glutathione peroxidase (GPx)] activities and the generation of lipid and protein oxidation products[malondialdehyde (MDA), conjugated diene (CD), and carbonylated proteins (CPs)]. Results Treatment with 7β-OHC induced cell death and oxidative stress (reflected by alteration in CAT and SOD activities). Overproduction of lipid peroxidation products (MDA and CDs) and CPs was also reported. The cytotoxic effects associated with 7β-OHC were attenuated by 160 μg/mL of EWe of C. edulis. Cell death induced by 7β-OHC treatment was ameliorated, GPx and CAT activities were restored to normal, and MDA, CD, and CP levels were reduced following C. edulis extract treatment. Conclusion These data demonstrate the protective activities of C. edulis EWe against 7β-OHC-induced disequilibrium in the redox status of 158N cells, indicative of the potential role of this plant extract in the prevention of neurodegenerative diseases.
In vitro Screening of Ginkgolic Acids for Antiparasitic Activity against Cryptosporidium andersoni
Chidiebere E. UGWU, JIANG Yan Yan, WU Liang, XU Yu Xin, YIN Jian Hai, DUAN Li Ping, CHEN Sheng Xia, LIU Hua, PAN Wei, QUAN Hong, SHEN Yu Juan, CAO Jian Ping
2019, 32(4): 300-303. doi: 10.3967/bes2019.040
Association of Vitamin D Receptor Gene Polymorphisms with Metabolic Syndrome in Rural Areas of China
WANG Jun, WANG Yan, HAN Han, WANG Teng, SHEN Fang, LI Wen Jie, LI Xing
2019, 32(4): 304-308. doi: 10.3967/bes2019.041
Epidemiological Characteristics and Spatio-temporal Patterns of Foodborne Diseases in Jinan, Northern China
YANG Li, SUN Yan Bin, ZHONG Qing, DUAN De Shui, LIU Shou Qin, ZHANG Ying
2019, 32(4): 309-313. doi: 10.3967/bes2019.042