2025 Vol. 38, No. 10

Select articles
Cover
Cover
2025, 38(10)
Contents
Contents
2025, 38(10): 1-2.
Association of Body Mass Index with All-Cause Mortality and Cause-Specific Mortality in Rural China: 10-Year Follow-up of a Population-Based Multicenter Prospective Study
Juanjuan Huang, Yuanzhi Di, Lingyu Shen, Jianguo Liang, Jiang Du, Xuefang Cao, Weitao Duan, Aiwei He, Jun Liang, Limei Zhu, Zisen Liu, Fang Liu, Shumin Yang, Zuhui Xu, Cheng Chen, Bin Zhang, Jiaoxia Yan, Yanchun Liang, Rong Liu, Tao Zhu, Hongzhi Li, Fei Shen, Boxuan Feng, Yijun He, Zihan Li, Yaqi Zhao, Tonglei Guo, Liqiong Bai, Wei Lu, Qi Jin, Lei Gao, Henan Xin
2025, 38(10): 1179-1193. doi: 10.3967/bes2025.128
  Objective  This study aimed to explore the association between body mass index (BMI) and mortality based on the 10-year population-based multicenter prospective study.  Methods  A general population-based multicenter prospective study was conducted at four sites in rural China between 2013 and 2023. Multivariate Cox proportional hazards models and restricted cubic spline analyses were used to assess the association between BMI and mortality. Stratified analyses were performed based on the individual characteristics of the participants.  Results  Overall, 19,107 participants with a sum of 163,095 person-years were included and 1,910 participants died. The underweight (< 18.5 kg/m2) presented an increase in all-cause mortality (adjusted hazards ratio [aHR] = 2.00, 95% confidence interval [CI]: 1.66–2.41), while overweight (≥ 24.0 to < 28.0 kg/m2) and obesity (≥ 28.0 kg/m2) presented a decrease with an aHR of 0.61 (95% CI: 0.52–0.73) and 0.51 (95% CI: 0.37–0.70), respectively. Overweight (aHR = 0.76, 95% CI: 0.67–0.86) and mild obesity (aHR = 0.72, 95% CI: 0.59–0.87) had a positive impact on mortality in people older than 60 years. All-cause mortality decreased rapidly until reaching a BMI of 25.7 kg/m2 (aHR = 0.95, 95% CI: 0.92–0.98) and increased slightly above that value, indicating a U-shaped association. The beneficial impact of being overweight on mortality was robust in most subgroups and sensitivity analyses.  Conclusion  This study provides additional evidence that overweight and mild obesity may be inversely related to the risk of death in individuals older than 60 years. Therefore, it is essential to consider age differences when formulating health and weight management strategies.
Associations of Genetic Risk and Physical Activity with Incident Chronic Obstructive Pulmonary Disease: A Large Prospective Cohort Study
Jin Yang, Xiaolin Wang, Wenfang Zhong, Jian Gao, Huan Chen, Peiliang Chen, Qingmei Huang, Yixin Zhang, Fangfei You, Chuan Li, Weiqi Song, Dong Shen, Jiaojiao Ren, Dan Liu, Zhihao Li, Chen Mao
2025, 38(10): 1194-1204. doi: 10.3967/bes2025.112
  Objective   To investigate the relationship between physical activity and genetic risk and their combined effects on the risk of developing chronic obstructive pulmonary disease.  Methods   This prospective cohort study included 318,085 biobank participants from the UK. Physical activity was assessed using the short form of the International Physical Activity Questionnaire. The participants were stratified into low-, intermediate-, and high-genetic-risk groups based on their polygenic risk scores. Multivariate Cox regression models and multiplicative interaction analyses were used.  Results   During a median follow-up period of 13 years, 9,209 participants were diagnosed with chronic obstructive pulmonary disease. For low genetic risk, compared to low physical activity, the hazard ratios (HRs) for moderate and high physical activity were 0.853 (95% confidence interval [CI]: 0.748–0.972) and 0.831 (95% CI: 0.727–0.950), respectively. For intermediate genetic risk, the HRs were 0.829 (95% CI: 0.758–0.905) and 0.835 (95% CI: 0.764–0.914), respectively. For participants with high genetic risk, the HRs were 0.809 (95% CI: 0.746–0.877) and 0.818 (95% CI: 0.754–0.888), respectively. A significant interaction was observed between genetic risk and physical activity.  Conclusion   Moderate or high levels of physical activity were associated with a lower risk of developing chronic obstructive pulmonary disease across all genetic risk groups, highlighting the need to tailor activity interventions for genetically susceptible individuals.
A Multi-site Analysis for the Economic Burden of Mortality Attributable to Cold Spells of Different Intensities in China, 2014–2019
Cheng Zhao, Yu Wang, Rui Zhang, Shilu Tong, Jiang He, Yonghong Li, Xiaoyuan Yao
2025, 38(10): 1205-1216. doi: 10.3967/bes2025.122
  Objective  The role of cold spells of different intensities in the economic burden of death is crucial for health adaptation to climate change, especially in a multi-site setting. The objective of the study was to explore the economic burden of mortality attributable to cold spells   Methods  We performed a two-stage time-series analysis using the Value of Statistical Life (VSL) approach to evaluate the economic impact of mortality related to cold spells of varying lengths and intensities. This analysis employed a case-crossover design, with a distributed lag nonlinear model (DLNM) used for analysis. Analysis was stratified according to age, sex, and region of origin. The results of the assessment show that cold spells have an enormous impact on the economic losses of mortality due to climate change and aging.   Results  Totally, 8.3% (95% CI: 0.0%, 16.0%) to 13.8% (95% CI: 1.0%, 24.8%) of VSL were ascribed to cold spells, accounting for economic losses of 4.71 (95% CI: 0.34, 8.47) to 11.45 (95% CI: 0.00, 21.00) billion CNY, in the cold season. The population aged over 65 y and females are particularly vulnerable. Economic impacts in warmer regions, such as the southern and subtropical zones, are more extensive than those in the northern and temperate zones.   Conclusion  Customizing cold spell prevention measures for vulnerable populations or regions is vital to alleviating the socioeconomic burden.
Diverse Subtypes of Cardiovascular Disease Risk Evaluated by Novel PREVENT Associated with Different Polycyclic Aromatic Hydrocarbon Metabolites
Ye Xin, Yucheng Sun, Lin Chen, Fengtao Cui, Yingge Duan, Hanyun Wang, Li Chen, Tian Chen, Piye Niu, Junxiang Ma
2025, 38(10): 1217-1229. doi: 10.3967/bes2025.125
  Objective   To investigate the association of various polycyclic aromatic hydrocarbon (PAH) metabolites with diverse subtypes of cardiovascular disease (CVD) risk.  Methods  A novel predicting risk of cardiovascular disease EVENTs PREVENT equation was used to estimate the 10-year diverse subtypes of CVD risk, and their associations with PAH metabolites were analyzed using multiple logistic regression models, the weighted quantile sum (WQS) model, the quantile g-computation (qgcomp) model, and a stratified analysis of subgroups.  Results   For this study, six thousand seven hundred and forty-five participants were selected, and significant positive associations were observed between PAHs, naphthalene (NAP), and fluorene (FLU), and the risks of total CVD, atherosclerotic cardiovascular disease (ASCVD), and heart failure (HF). NAP and FLU were the primary contributors to the effects of PAH mixtures, and their associations with total CVD, ASCVD, and HF risk were significant in younger participants (30 ≤ age < 50 years); however, the associations of phenanthrene (PHEN) with ASCVD, HF, coronary heart disease (CHD), and stroke were dominant in aging participants (age ≥ 50 years). Notably, pyrene (PYR) was negatively associated with the risk of ASCVD, HF, CHD, and stroke. Similarly, negative associations of PYR with the four CVD subtypes were noticeable in aging participants.  Conclusion   Different PAHs metabolites had different impacts on each CVD subtype among different age groups. Notably, the protective effects of PYR on ASCVD, HF, CHD, and stroke were noticeable in aging individuals.
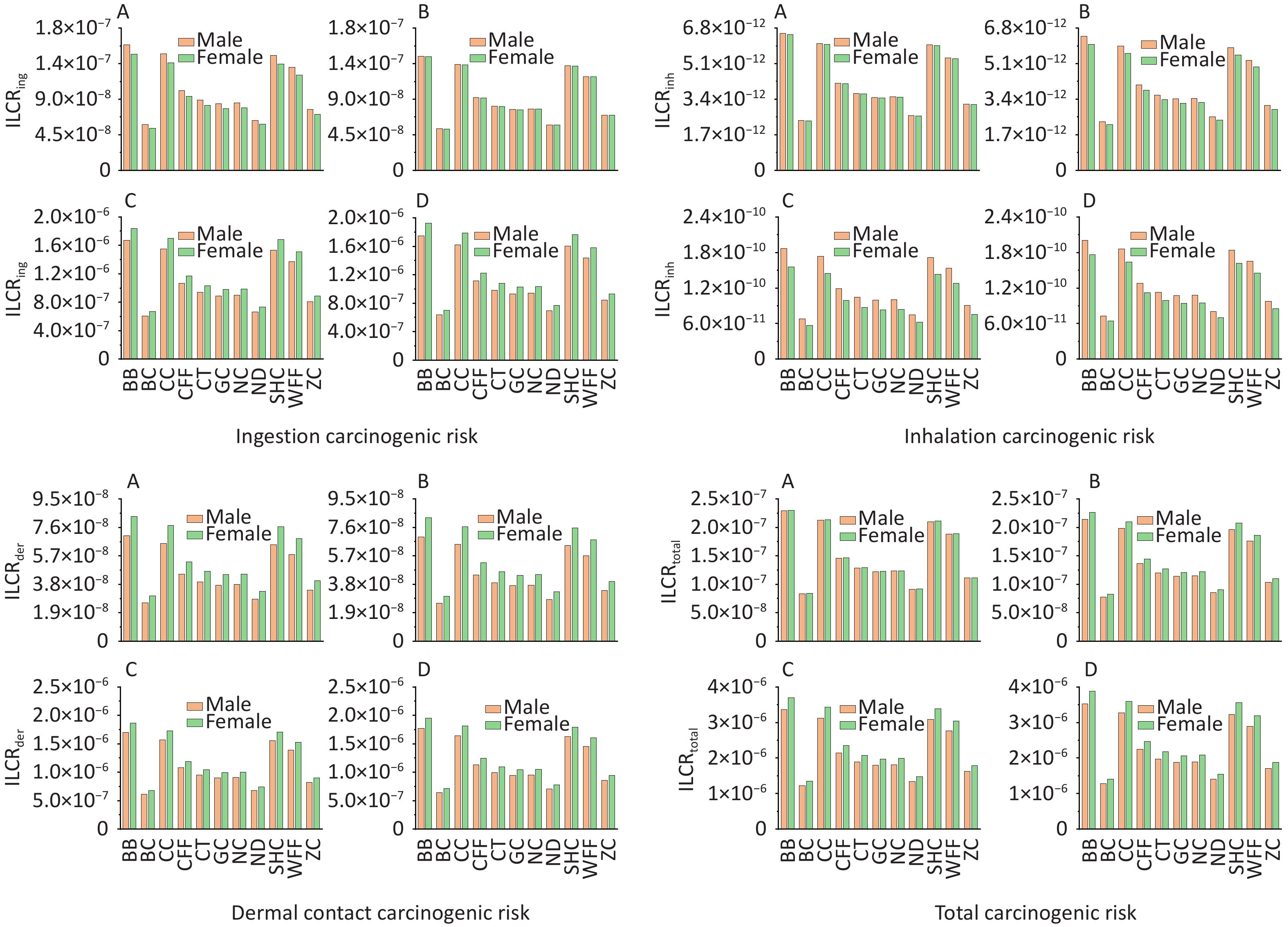
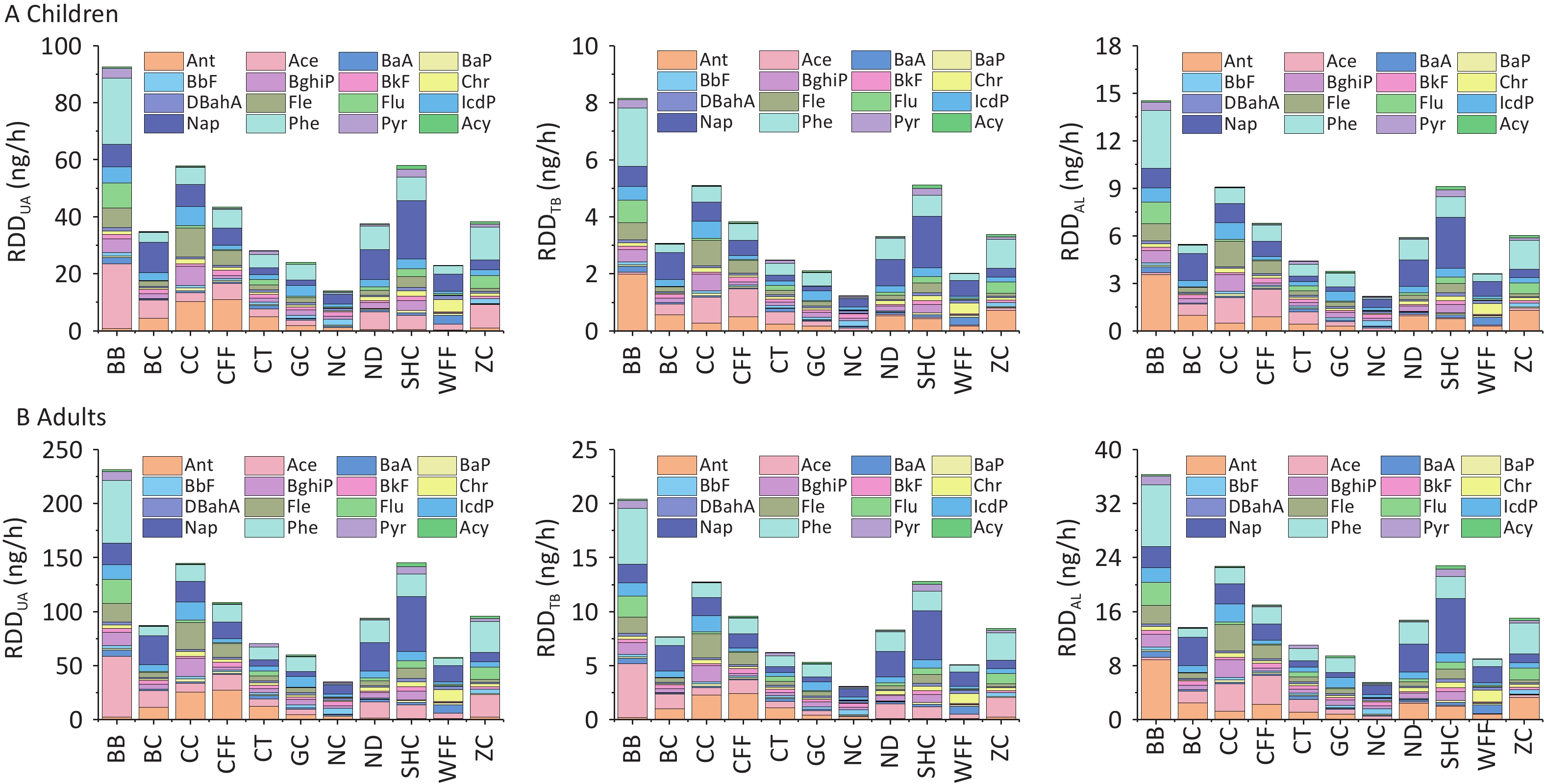
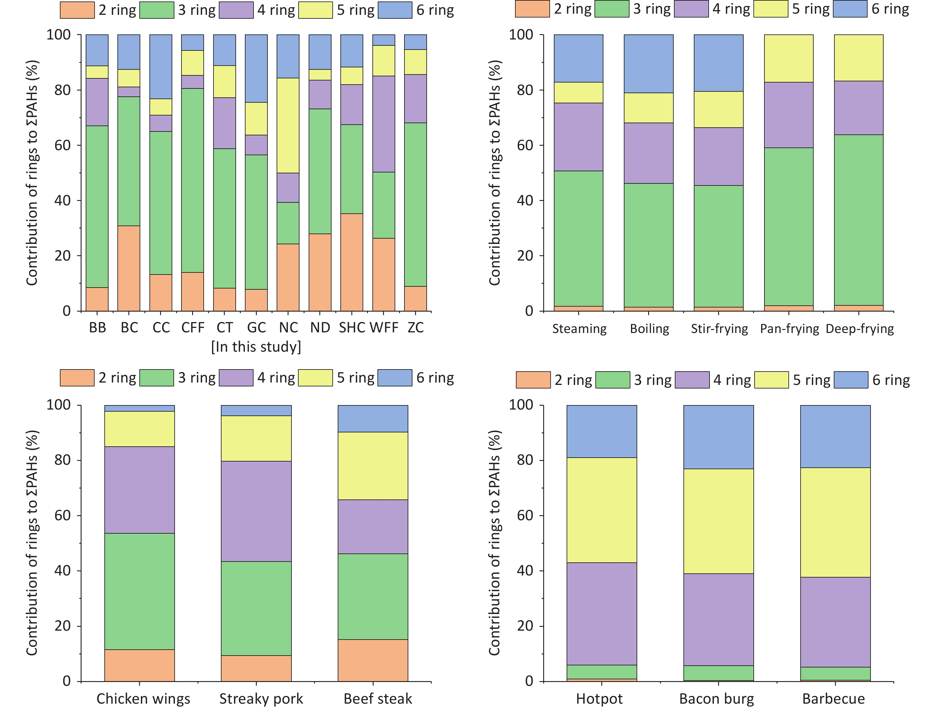
Health Risks from Exposure to PM2.5-bound Polycyclic Aromatic Hydrocarbons in Fumes Emitted from Various Cooking Styles and Their Respiratory Deposition in a City Population Stratified by Age and Sex
Junfeng Zhang, Xi Chen, Ke Gao, Shuiyuan Cheng, Wenjiao Duan, Liying Fu, Jianjia Li, Shushu Lan, Cuilan Fang
2025, 38(10): 1230-1245. doi: 10.3967/bes2025.129
  Objectives  To characterize fine particulate matter (PM2.5)-bound polycyclic aromatic hydrocarbons (PAHs) emitted from different cooking fumes and their exposure routes and assess their health-associated impact to provide a reference for health risk prevention from PAH exposure across different age and sex groups.  Methods  Sixteen PM2.5-bound PAHs emitted from 11 cooking styles were analyzed using GC-MS/MS. The health hazards of these PAHs in the Handan City population (stratified by age and sex) were predicted using the incremental lifetime cancer risk (ILCR) model. The respiratory deposition doses (RDDs) of the PAHs in children and adults were calculated using the PM2.5 deposition rates in the upper airway, tracheobronchial, and alveolar regions.  Results  The total concentrations of PM2.5-bound PAHs ranged from 61.10 to 403.80 ng/m3. Regardless of cooking styles, the ILCRtotal values for adults (1.23 × 10−6 to 3.70 × 10−6) and older adults (1.28 × 10−6 to 3.88 × 10−6) exceeded the acceptable limit of 1.00 × 10–6. With increasing age, the ILCRtotal value first declined and then increased, varying substantially among the population groups. Cancer risk exhibited particularly high sensitivity to short exposure to barbecue-derived PAHs under equivalent body weights. Furthermore, barbecue, Sichuan and Hunan cuisine, Chinese cuisine, and Chinese fast food were associated with higher RDDs for both adults and children.  Conclusion  ILCRtotal values exceeded the acceptable limit for both females and males of adults, with all cooking styles showing a potentially high cancer risk. Our findings serve as an important reference for refining regulatory strategies related to catering emissions and mitigating health risks associated with cooking styles.
Impact of PCSK9 Inhibitor Recaticimab on Hyperlipidemia and Plasma Glucose: A Randomized, Double-Blind, Placebo-Controlled Phase 1b/2 Study
Ye Hu, Chen Chen, Xiaohui He, Shuyu Zhang, Xuhong Wang
2025, 38(10): 1246-1254. doi: 10.3967/bes2025.123
  Objective  Recaticimab (SHR-1209) significantly reduces low-density lipoprotein cholesterol levels. However, its effect on glucose metabolism remains unclear. This study aimed to evaluate its effect on glycemic parameters in a Chinese population.  Methods  Recaticimab versus placebo was administered in a 5:1 ratio to 110 hyperlipidemia patients who were followed up for 24 weeks. Glycated hemoglobin (HbA1c) levels were measured at baseline every 12 weeks. Fasting plasma glucose (FPG) levels were measured at baseline at week 1, 3, 5, 8, 12, 16, 20, and 24. Repeated-measures mixed-effects models were used to determine the longitudinal association between reacticimab and FPG and HbA1c levels.  Results  Among the 81 participants with normal glucose metabolism, HbA1c levels significantly decreased (F = 4.568, P = 0.036). In the 29 participants with abnormal glucose metabolism, a significant time effect was observed for FPG levels (F = 2.492, P = 0.016). For participants with normal and abnormal glucose metabolism, no significant group × time interaction effects on FPG or HbA1c levels were identified.  Conclusion  Recaticimab showed no adverse glycemic effects in participants with normal or abnormal glucose metabolism, indicating its safety in patients with or without diabetes.
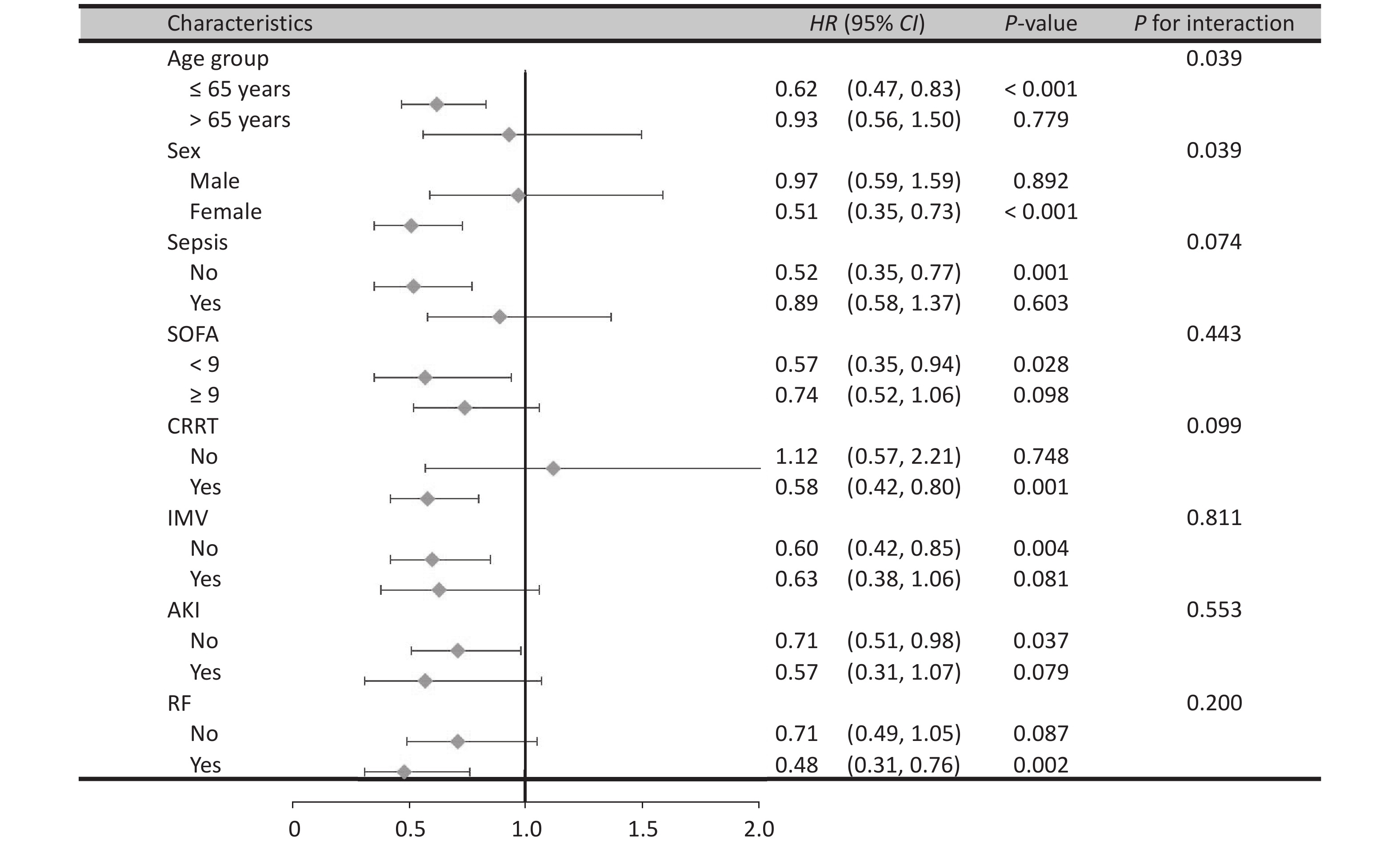
Association between Serum Chloride Levels and Prognosis in Patients with Hepatic Coma in the Intensive Care Unit
Shuxing Wei, Xiya Wang, Yuan Du, Ying Chen, Jinlong Wang, Yue Hu, Wenqing Ji, Xingyan Zhu, Xue Mei, Da Zhang
2025, 38(10): 1255-1269. doi: 10.3967/bes2025.092
  Objective  To explore the relationship between serum chloride levels and prognosis in patients with hepatic coma in the intensive care unit (ICU).  Methods  We analyzed 545 patients with hepatic coma in the ICU from the Medical Information Mart for Intensive Care IV (MIMIC-IV) database. Associations between serum chloride levels and 28-day and 1-year mortality rates were assessed using restricted cubic splines (RCSs), Kaplan-Meier (KM) curves, and Cox regression. Subgroup analyses, external validation, and mechanistic studies were also performed.  Results  A total of 545 patients were included in the study. RCS analysis revealed a U-shaped association between serum chloride levels and mortality in patients with hepatic coma. The KM curves indicated lower survival rates among patients with low chloride levels (< 103 mmol/L). Low chloride levels were independently linked to increased 28-day and 1-year all-cause mortality rates. In the multivariate models, the hazard ratio (HR) for 28-day mortality in the low-chloride group was 1.424 (95% confidence interval [CI]: 1.041–1.949), while the adjusted hazard ratio for 1-year mortality was 1.313 (95% CI: 1.026–1.679). Subgroup analyses and external validation supported these findings. Cytological experiments suggested that low chloride levels may activate the phosphorylation of the NF-κB signaling pathway, promote the expression of pro-inflammatory cytokines, and reduce neuronal cell viability.  Conclusion  Low serum chloride levels are independently associated with increased mortality in patients with hepatic coma.
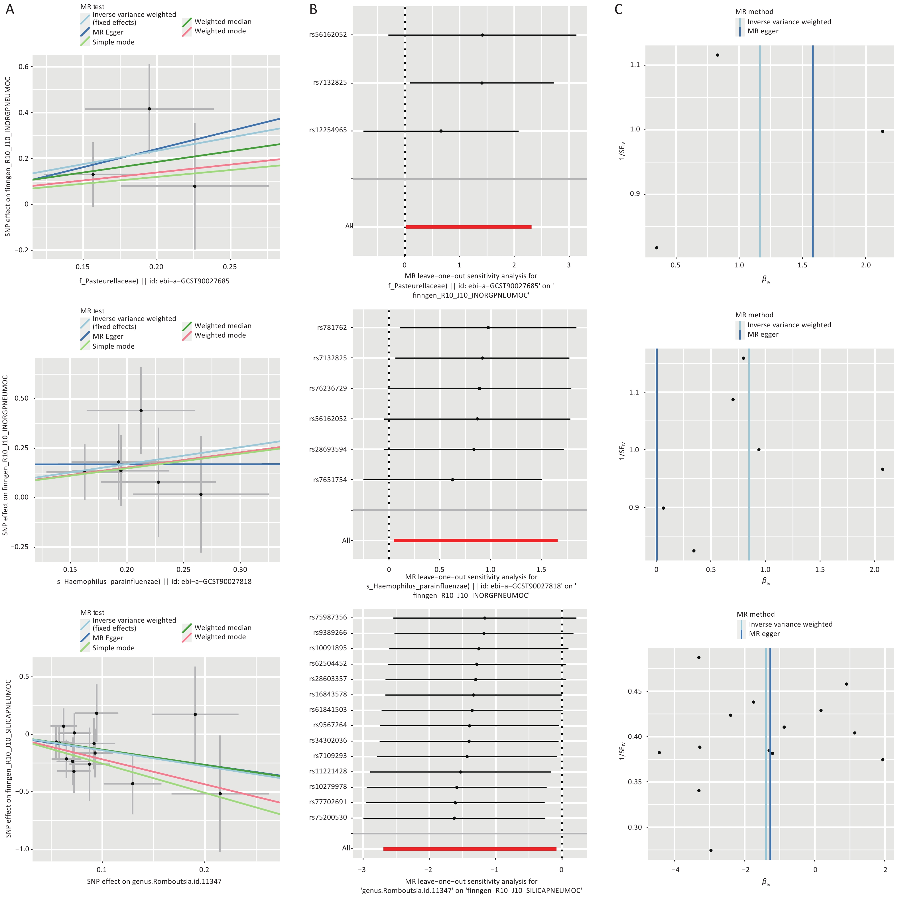
Deciphering the Role of VIM, STX8, and MIF in Pneumoconiosis Susceptibility: A Mendelian Randomization Analysis of the Lung-Gut Axis and Multi-Omics Insights from European and East Asian Populations
Chenwei Zhang, Binbin Wan, Yukai Zhang, Tao Xiong, Yishan Li, Xuesen Su, Gang Liu, Yangyang Wei, Yuanyuan Sun, Jingfen Zhang, Xiao Yu, Yiwei Shi
2025, 38(10): 1270-1286. doi: 10.3967/bes2025.028
  Objective  Pneumoconiosis, a lung disease caused by irreversible fibrosis, represents a significant public health burden. This study investigates the causal relationships between gut microbiota, gene methylation, gene expression, protein levels, and pneumoconiosis using a multi-omics approach and Mendelian randomization (MR).  Methods  We analyzed gut microbiota data from MiBioGen and Esteban et al. to assess their potential causal effects on pneumoconiosis subtypes (asbestosis, silicosis, and inorganic pneumoconiosis) using conventional and summary-data-based MR (SMR). Gene methylation and expression data from Genotype-Tissue Expression and eQTLGen, along with protein level data from deCODE and UK Biobank Pharma Proteomics Project, were examined in relation to pneumoconiosis data from FinnGen. To validate our findings, we assessed self-measured gut flora from a pneumoconiosis cohort and performed fine mapping, drug prediction, molecular docking, and Phenome-Wide Association Studies to explore relevant phenotypes of key genes.  Results  Three core gut microorganisms were identified: Romboutsia (OR = 0.249) as a protective factor against silicosis, Pasteurellaceae (OR = 3.207) and Haemophilus parainfluenzae (OR = 2.343) as risk factors for inorganic pneumoconiosis. Additionally, mapping and quantitative trait loci analyses revealed that the genes VIM, STX8, and MIF were significantly associated with pneumoconiosis risk.  Conclusions  This multi-omics study highlights the associations between gut microbiota and key genes (VIM, STX8, MIF) with pneumoconiosis, offering insights into potential therapeutic targets and personalized treatment strategies.
Astragalus Promotes Osteogenic Differentiation of hBMSCs and Alleviates Osteoporosis by Targeting SOX11 Via miR-181d-5p
Yuan Xiao, Yongli Situ, Tingting Wang, Shang Kong, Jiangqi Liu, Hong Nie
2025, 38(10): 1287-1301. doi: 10.3967/bes2025.115
  Objective   This study aimed to investigate the effect of Astragalus (AST) on osteoporosis (OP) and the downstream mechanisms.  Methods  Human bone marrow-derived mesenchymal stem cells (hBMSCs) were induced to differentiate into osteogenic cells. After transfection with relevant plasmids, cell proliferation, cell cycle progression, and apoptosis were assessed. Alizarin red staining was used to detect calcium nodules in the cells, alkaline phosphatase (ALP) staining was used to detect ALP activity in the cells, and quantitative reverse transcription-polymerase chain reaction and western blotting were used to determine RUNX2 and Osterix expression levels. An OP rat model was established using ovariectomy and micro-computed tomography scanning. Hematoxylin and eosin staining and Masson’s trichrome staining were used to evaluate the pathological conditions of bone tissues, while immunohistochemistry was conducted to detect RUNX2 in bone tissues.  Results   AST promoted the osteogenic differentiation of BMSCs, reduced miR-181d-5p expression levels, and increased SOX11 expression levels. Restoring miR-181d-5p expression or reducing SOX11 expression levels reversed the effects of AST on the osteogenic differentiation of hBMSCs. miR-181d-5p was found to target SOX11 in hBMSCs. AST improved OP in rats, and miR-181d-5p overexpression or SOX11 inhibition reversed the therapeutic effects of AST on OP in rats.  Conclusion  AST promoted the osteogenic differentiation of hBMSCs and alleviated OP by targeting SOX11 via miR-181d-5p.
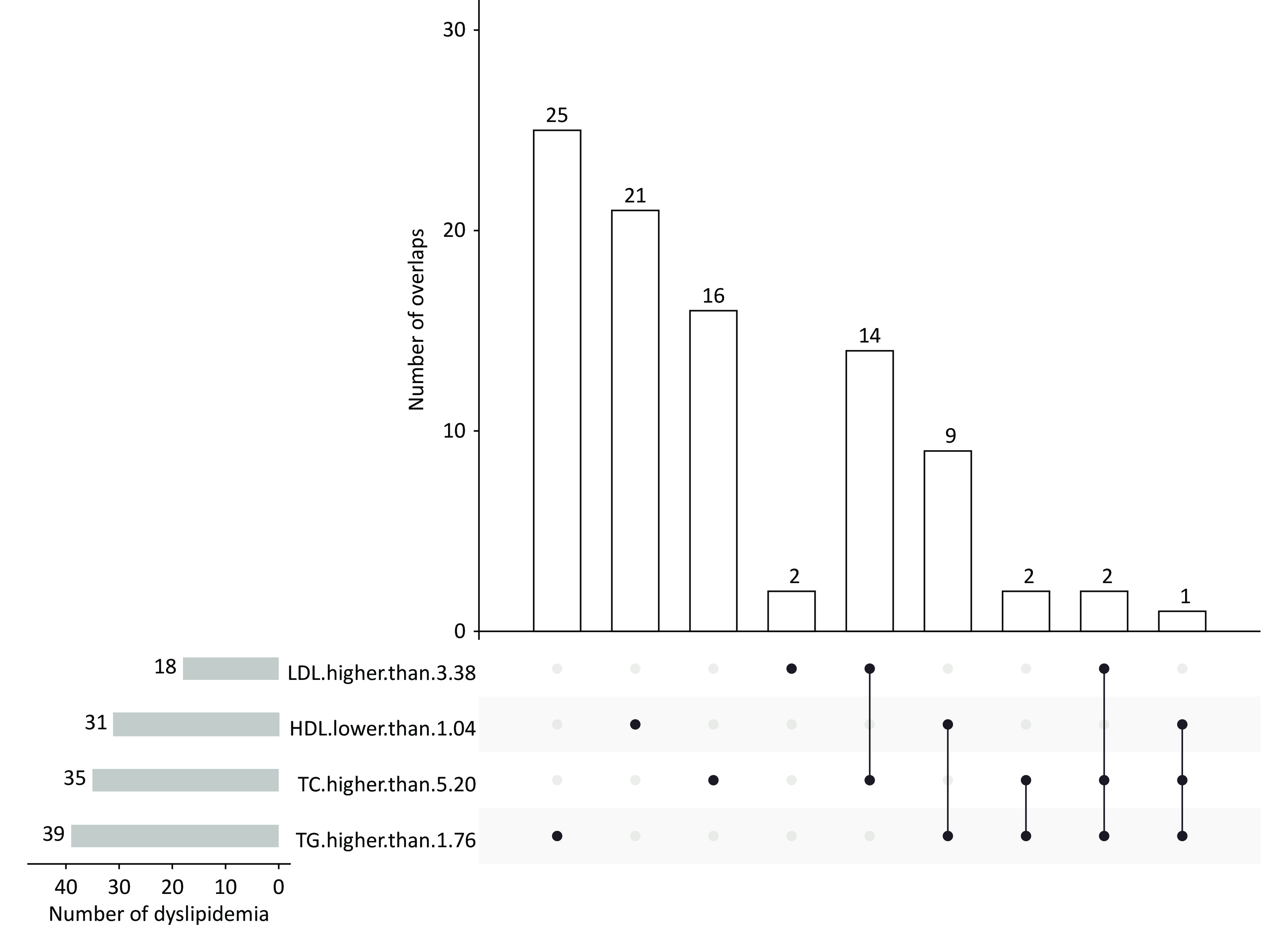
Joint Effect of Multiple Air Pollutant Exposure on Dyslipidemia in Chinese Primary School Children
Yuanduo Zhu, Yingying Han, Dandan Li, Yanlong Xu
2025, 38(10): 1302-1307. doi: 10.3967/bes2025.130
Mutual Relationship between Grip Strength and Cognitive Function in Chinese Middle-Aged and Elderly People over 10 Years: A Cross-Lagged Panel Analysis
Jiaqi Wang, Ye Ruan, Yanfei Guo, Shuangyuan Sun, Anli Jiang, Yujun Dong, Yan Shi, Fan Wu
2025, 38(10): 1308-1313. doi: 10.3967/bes2025.126
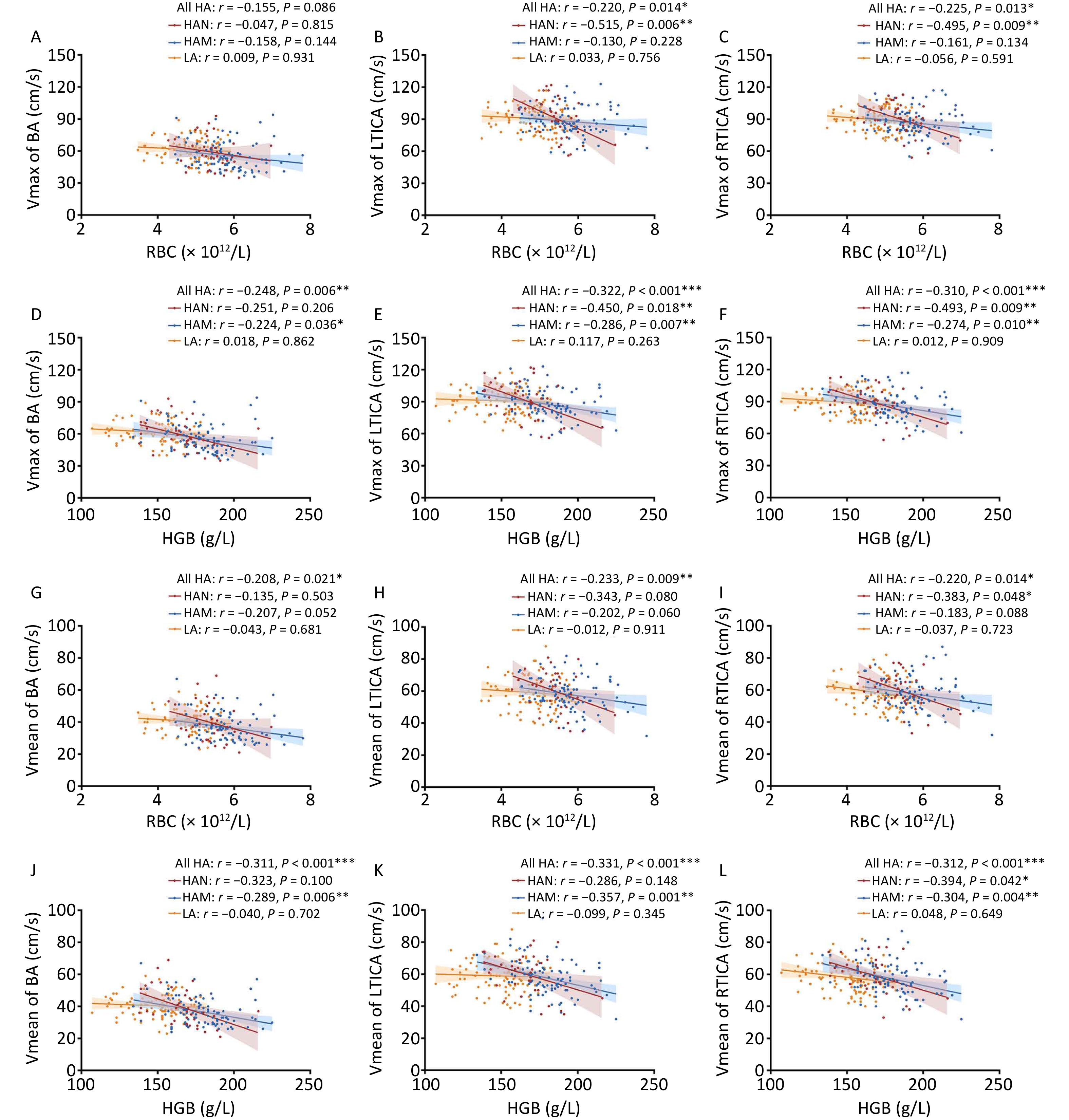
Associations between Red Cell Indices and Cerebral Blood Flow Velocity in High Altitude
Haolun Sun, Taiming Zhang, Dongyu Fan, Haoxiang Wang, Luran Xu, Qing Du, Jun Liang, Li Zhu, Xu Wang, Li Lei, Xiaoshu Li, Wangsheng Jin
2025, 38(10): 1314-1319. doi: 10.3967/bes2025.131
NFKBIE: Novel Biomarkers for Diagnosis, Prognosis, and Immunity in Colorectal Cancer: Insights from Pan-cancer Analysis
Chenyang Hou, Peng Wang, Fengxu Yan, Yanyan Bo, Zhenpeng Zhu, Xiran Wang, Shan Liu, Dandan Xu, JiaJia Xiao, Jun Xue, Fei Guo, Qingxue Meng, Rensen Ran, Weizheng Liang
2025, 38(10): 1320-1325. doi: 10.3967/bes2025.124
Correction
2025, 38(10): 1326-1326. doi: 10.3967/bes2025.132