Current Issue

Select articles
封面
2026-4 Cover
2026, 39(4)
2026-4 Contents
2026, 39(4): 1-2.
Enhancing Aging Research in Public Health
Liming Zhang, Zuyun Liu
2026, 39(4): 393-395. doi: 10.3967/bes2026.035
Identification of Critical Intervention Windows for Central Obesity from Childhood to Early Adulthood: A 30-year Longitudinal Study in China
Weiwei Zhou, Hanyi Li, Feifei Huang, Jiguo Zhang, Chang Su, Xiaofang Jia, Xianglin Qin, Wenwen Du, Huijun Wang, Aidong Liu
2026, 39(4): 396-407. doi: 10.3967/bes2026.027
  Objective   To characterize long-term transition probabilities in waist circumference (WC) status from childhood into early adulthood and identify critical age windows for the development, persistence, and reversal of central obesity.  Methods   Using the China Health and Nutrition Survey data (1993–2022), 7,007 WC measurements from 2,440 participants aged 6–17 years at baseline were analyzed. Participants were grouped by baseline age: 6–11, 12–14, and 15–17 years. Generalized linear mixed-effects models were used to estimate WC transition probabilities, adjusting for sociodemographic factors.  Results   Central obesity prevalence increased from age 6, declined in early adulthood (approximately 22 years), and subsequently increased again. The 6–14-year age window exhibited dynamic, bidirectional transitions; specifically, the 10-year reversal probabilities from central obesity to normal WC were 44.19% (ages 6–11) and 41.39% (ages 12–14), decreasing to 26.93% for ages 15–17. Among those aged 15–17 years with central obesity, boys had a > 80% probability of maintaining increased WC for 20 years.  Conclusion   Ages 6–14 years represent a critical “reversal period” for central obesity. Interventions should prioritize this window using age- and sex-specific strategies to maximize normalization and curb long-term obesity risk.
Hemoglobin Thresholds for Defining Anemia among Healthy Infants Aged 0–5 Months in China: A Population-based Study
Shuxia Wang, Shan Jiang, Xuehong Pang, Qian Zhang, Bowen Chen, Tao Xu, Yuying Wang, Wenhua Zhao, Zhenyu Yang
2026, 39(4): 408-417. doi: 10.3967/bes2025.144
  Objective  To develop hemoglobin (Hb) percentiles and thresholds for defining anemia among infants aged 0–5 months in China.  Methods  The National Nutrition and Health Systematic Survey for children aged 017 years in China, a nationwide cross-sectional study, was conducted between 2019 and 2021. Hb levels were measured in infants using the HemoCue 201+ analyzer. Age- and sex-specific Hb distributions were constructed for “healthy infants”, defined as those with adequate iron reserves at birth, exclusive breastfeeding, normal weight-for-age Z-score and weight growth velocity, normal neuropsychological development, and absence of acute or chronic diseases. A generalized additive model for location, scale, and shape was applied to fit the Hb percentiles. The 5th percentile of the Hb distribution was defined as the threshold for anemia.  Results  A total of 10,174 infants aged 0–5 months participated in the study, among whom 2,155 healthy infants were included in the analysis. Hb levels peaked at birth, gradually decreased to a nadir around 60 days after birth, and then rose to a plateau. The Hb thresholds defining anemia were 102.7 g/L, 96.3 g/L, 92.8 g/L, 95.4 g/L, 97.1 g/L, and 95.8 g/L for the 0-, 1-, 2-, 3-, 4-, and 5-month age groups, respectively.  Conclusion  This study establishes hemoglobin thresholds for defining anemia in infants aged 0–5 months based on a nationwide, population-based dataset in China.
Association between Dietary Diversity during Pregnancy and Gestational Diabetes Mellitus: A Prospective Cohort Study
Weiming Wang, Qian Liang, Jin Liu, Chenfan Zhang, Yuhui Luo, Xuefeng Yang, Liping Hao, Nianhong Yang
2026, 39(4): 418-426. doi: 10.3967/bes2025.160
  Objective  The study aims to prospectively examine the association between the minimum dietary diversity for women (MDD-W) score and risk of gestational diabetes mellitus (GDM).  Methods  All participants were pregnant women enrolled in the Tongji Maternal and Child Health Cohort. Dietary intake was assessed using a food frequency questionnaire (FFQ) or 24-h dietary recall. The MDD-W score was constructed by categorizing all food items into 10 food groups, following the Food and Agriculture Organization guidelines. Oral glucose tolerance tests (OGTT) were conducted during 24−28 weeks of gestation to screen for GDM. Poisson regression models were used to assess the association between MDD-W scores and GDM risk.  Results  In total, 357 (11.8%) of the 3,026 women were diagnosed with GDM. Compared with participants whose MDD-W score was ≥ 8, those with a score of 5−7 had an increased risk of GDM (relative risk (RR): 1.32; 95% confidence interval (CI): 1.03, 1.69), and those with a score ≤ 4 had a significantly higher GDM risk (RR: 1.58; 95% CI: 1.12, 2.26). Furthermore, these findings indicate that pregnant women with MDD-W scores < 8, in conjunction with being overweight or obese before pregnancy and excessive gestational weight gain, have the highest risk of developing GDM.  Conclusions  These data suggest that a higher MDD-W score during pregnancy is independently associated with a lower GDM risk. Therefore, promoting dietary diversity and weight management is recommended to protect pregnant women from developing gestational diabetes.
Association between Sensitivity to Thyroid Hormones and Metabolic Dysfunction-Associated Fatty Liver Disease: A Cohort Study
Xuan Wang, Jianmin Tang, Linrun Kong, Yumei Han, Shuo Chen, Bo Gao, Xinghua Yang
2026, 39(4): 427-436. doi: 10.3967/bes2026.005
  Objective   To investigate the association between thyroid hormone sensitivity indices and metabolic dysfunction-associated fatty liver disease (MAFLD) in euthyroid Chinese adults.  Methods   This cohort study included 5,356 euthyroid patients. The peripheral and central thyroid hormone sensitivity indices were calculated. Cox regression models were used to evaluate associations with MAFLD risk, and restricted cubic splines were used to assess potential nonlinearity. Mediation analyses based on an accelerated failure-time model were used to examine the role of the triglyceride-glucose (TyG) index.  Results   MAFLD incidence in euthyroid participants was 18.26%. After adjustment, higher free thyroxine (FT4) levels were inversely associated with MAFLD (HR = 0.973, 95% CI: 0.948 to 0.999, P = 0.043), whereas higher free triiodothyronine (FT3) levels increased MAFLD risk (HR = 1.118, 95% CI: 1.000 to 1.250, P = 0.050). Enhanced thyroid hormone sensitivity, as reflected by elevated FT3/FT4 levels and lower total thyroxine resistance index (TT4RI), thyroid stimulating hormone index (TSHI), and thyroid feedback quantile-based index (TFQIFT4), was also associated with a higher incidence (all P < 0.05). Mediation analyses indicated that TyG partially mediated the FT3/FT4-MAFLD and TFQIFT4-MAFLD associations, with indirect effects of –96.27 (95% CI: –124.67 to –70.42) and –4.95 (95% CI: –8.29 to –2.10), respectively.  Conclusion   Increased FT3/FT4 and decreased TFQIFT4 levels were significantly associated with a higher MAFLD risk in euthyroid adults, with TyG acting as a partial mediator.
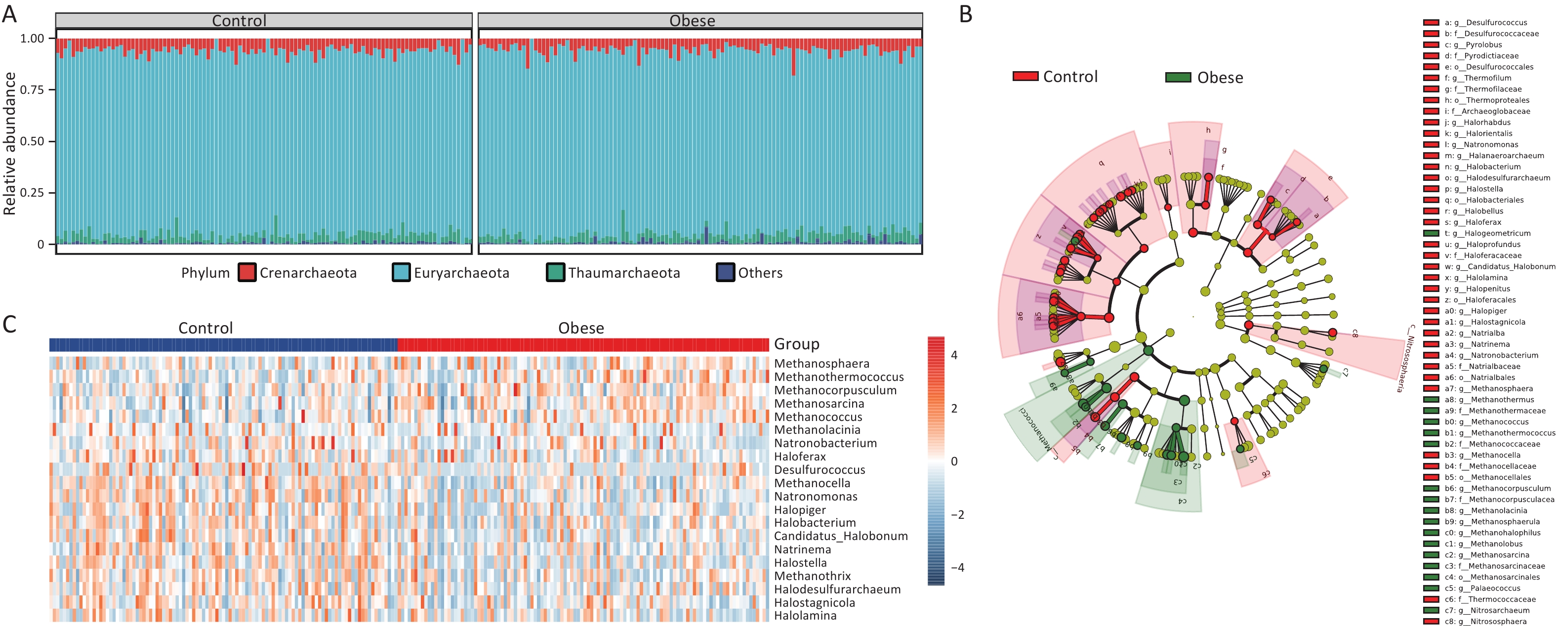
Dysbiosis of Gut Archaea is Associated with Obesity and Could be Recovered after Bariatric Surgery
Keli Yang, Jianning Zhai, Junwen Ye, Xuneng Zhang, Qichun Wei, Hui Wang, Huaiming Wang, Lili Chu, Jia Yang
2026, 39(4): 437-446. doi: 10.3967/bes2026.019
  Objective   Obesity is closely associated with an altered gut microbiota; however, the role of archaea in obesity remains unknown. We aimed to delineate the alterations in gut archaea in obese subjects and explore the changes in bariatric surgery-associated gut archaeal composition.  Methods   Metagenomic sequencing data from 191 obese subjects and 184 lean controls were retrieved from three public cohorts. Of these, 23 obese patients who underwent bariatric surgery were followed up for 3 months.  Results   The gut archaea of obese subjects showed significantly lower Shannon diversity index than those of lean controls. Principal component analysis of the gut archaea revealed distinct clusters in obese subjects and lean controls. A model using the 20 top archaeal genera discriminated obese from lean controls with an area under the receiver operating characteristic curve (AUC) of 0.79, 0.83, and 0.86 in three cohorts. Ecological analysis showed decreased trans-kingdom correlations between archaea and bacteria in obese subjects compared to those in lean controls, with partial restoration observed after bariatric surgery.  Conclusion  This is the first study to demonstrate that obesity is characterized by gut archaeal dysbiosis across multiple cohorts. Bariatric surgery-induced weight loss is associated with significant changes in the gut archaea.
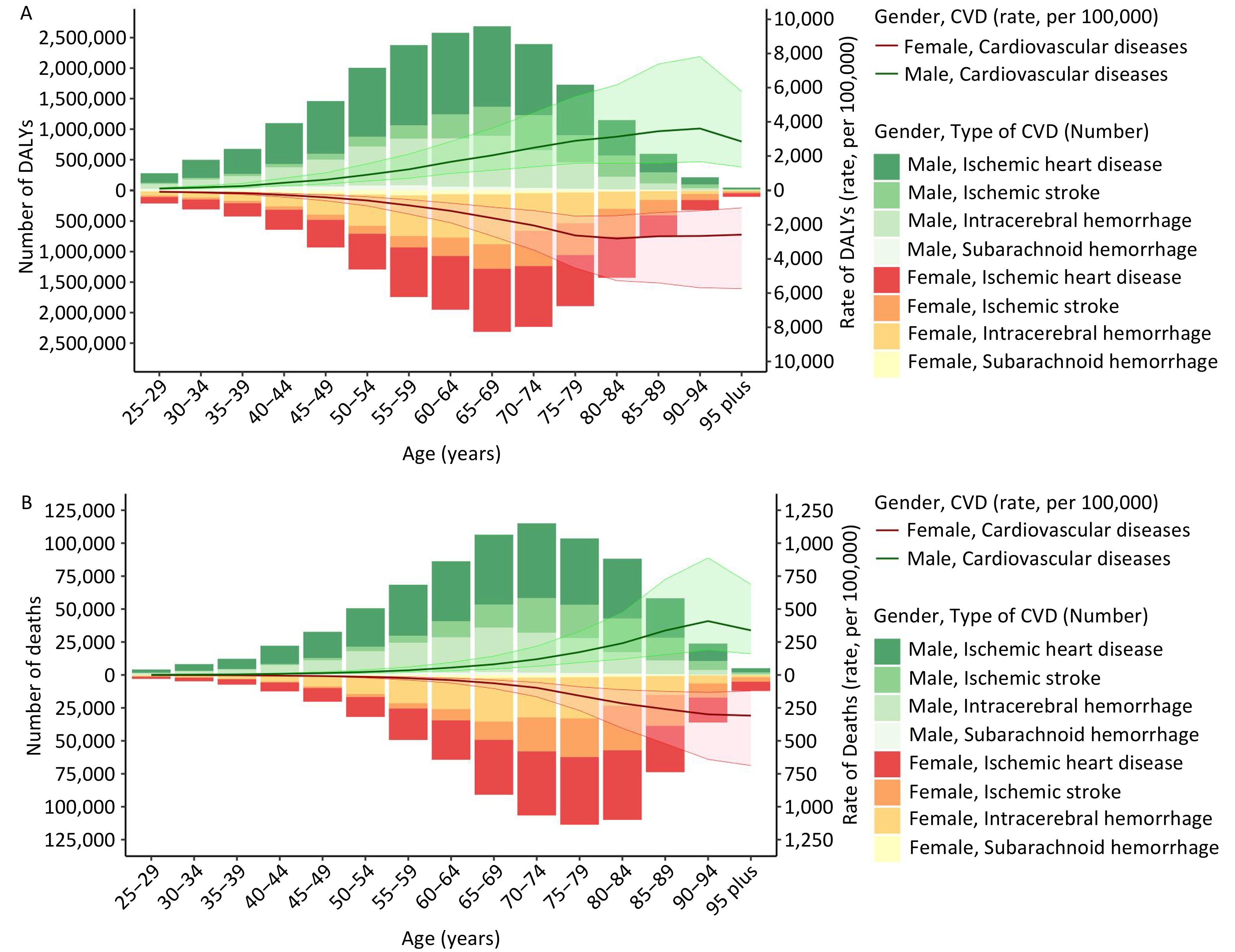
The Global, Regional, and National Burden of Cardiovascular Diseases Attributable to Household Air Pollution from 1990 to 2021: Findings from the Global Burden of Disease Study 2021
Zehao Zhao, Yong Zeng
2026, 39(4): 447-463. doi: 10.3967/bes2025.141
  Objective  This study investigates the global, regional, and national cardiovascular disease (CVD) burden caused by household air pollution (HAP) from 1990 to 2021 across regions, time periods, sexes, and age groups.  Methods  The global CVD mortality and disability-adjusted life years (DALYs) attributable to HAP are analyzed to assess their current status and historical trends. Quantitative methods are used to assess health inequalities. Projections up to the year 2040 are made using the Nordpred method.  Results  In 2021, 0.758 million deaths and 18.175 million DALYs were attributed to HAP-related CVD, with age-standardized rates (ASR) for mortality and DALYs of 8.950 and 210.354 per 100,000 individuals, respectively. The disease burden increased with age and was higher in men. While mortality and DALYs rates have decreased over the past three decades, with more significant reductions in low- and middle-income regions, health inequalities persist despite improvements. Projections indicate a slow increase in the CVD burden attributable to HAP by 2040, even as the per capita rates decline.  Conclusion  Although significant reductions in CVD attributable to HAP have occurred globally, particularly in low- and middle-income countries, disparities persist. Health inequalities have improved but remain significant. As the global population grows and ages, total cases will increase, highlighting the need for continued, targeted interventions.
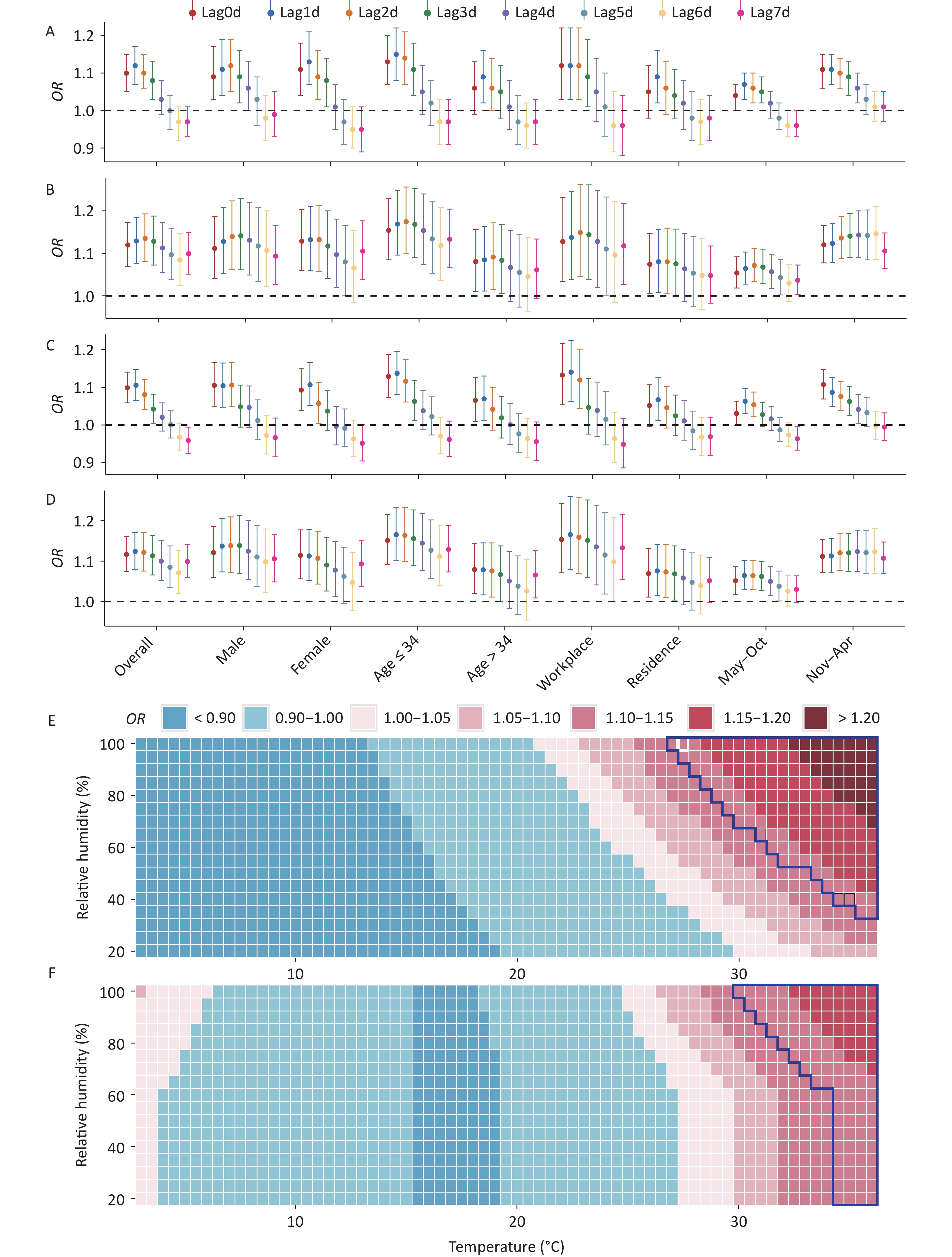
Heat Wave and Mortality Burden of Chronic Kidney Disease: Current Assessment and Future Projection in China
Mengen Guo, Jiangmei Liu, Guanhao He, Jinlei Qi, Jianxiong Hu, Peng Yin, Sujuan Chen, Yulin Zhuo, Yi Lin, Xuelong Gu, Tao Liu, Ziqiang Lin, Fengrui Jing, Jinling You, Wenjun Ma, Fanna Liu, Maigeng Zhou
2026, 39(4): 464-475. doi: 10.3967/bes2026.013
  Objective  Although many studies have examined temperature-related non-accidental mortality, the impact of heat waves on the mortality burden of chronic kidney disease (CKD) remains poorly understood. This study aimed to assess the CKD mortality burden associated with heat waves in China under global warming.  Methods  Mortality data on CKD from 2,790 counties/districts in China from 2004 to 2022 were collected from the Chinese Center for Disease Control and Prevention; meteorological data for the same period were obtained from the fifth-generation European Reanalysis Land dataset. A time-stratified case-crossover design combined with a distributed lag nonlinear model was used to examine the association between heat waves and CKD mortality. Future CKD mortality burdens attributable to heat waves under climate change and future population scenarios were projected.  Results  In total, 236,260 CKD deaths were included in this study. Compared to that during non–heat wave days, CKD mortality increased by 3.48% (95% confidence interval [CI]: 1.67% to 5.33%) during heat waves, and the mortality risk escalated by 2.48% (95% confidence interval [CI]: 0.12% to 4.91%) for each 1 °C increment during heat wave days. Stratified analyses revealed that CKD mortality risks were greater for women (Excess Risk [ER] = 5.52%, 95% CI: 2.71% to 8.40%), individuals aged 65 years and older (ER = 4.60%, 95% CI: 2.30% to 6.96%), and people in mesic/cold regions (ER = 6.20%, 95% CI: 1.13% to 11.53%). The projections showed that the attributable fraction(AF) of CKD mortality due to heat waves would rise from 0.64% (95% CI: 0.52% to 0.78%) in the 2020s to 2.44% (95% CI: 1.97% to 2.95%) in the 2090s under the SSP5-8.5 scenario, with the highest burden in southeastern China, including Hainan (3.31%, 95% CI: 1.66% to 5.02%), Yunnan (3.05%, 95% CI: 1.46% to 4.75%), and Guangdong Province (2.84%, 95% CI: 1.24% to 4.41%).  Conclusion  This nationwide study demonstrated that exposure to heat waves significantly increased the mortality risk of CKD, and that women, older individuals, and people in mesic/cold regions are more susceptible to heat waves. Global warming will significantly increase the future CKD mortality burden attributed to heat waves, particularly in southeastern China. Our findings emphasize the need to address CKD in the context of ongoing climate change.
Association of Planetary Health Diet with Decreased Risk of All-cause Mortality and Environmental Benefits: Insights from a Multi-national Prospective Cohort Study
Xi Li, Liyuan Tao, Jue Liu
2026, 39(4): 476-481. doi: 10.3967/bes2026.026
Whether adherence to the Planetary Health Diet (PHD) benefits human and environmental health is less known. We included 131,130 adults from the National Health and Nutrition Examination Survey and UK Biobank. Adherence to the PHD was measured using the Planetary Health Diet Index (PHDI) and mortality was ascertained by linking to national registries. Cox proportional hazards and linear/ordinal logistic regression models were used to analyze the association between PHD and the risk of mortality and environmental impacts, respectively. During a median follow-up of 10.6 years, participants in higher adherence groups (Quartile 2: hazard ratio = 0.88, 95% confidence interval = 0.82–0.95; Quartile 3: 0.87, 0.82–0.93; Quartile 4: 0.70, 0.54–0.92) had a lower risk of mortality, compared to Quartile 1. The relationship between the PHDI and mortality showed linearity in the two cohorts (P = 0.1877 and 0.5456, respectively), and body mass index mediated 11.88% of the relationship. A higher PHDI was associated with lower greenhouse gas emissions but higher freshwater use. Our findings suggest that greater compliance with the PHD reduces mortality risk; however, its benefits for environmental sustainability are less certain.
Total Energy Expenditure in Healthy Middle-aged Chinese Adults with Light-intensity Physical Activity: A Doubly Labeled Water Study
Minghang Guo, Jie Feng, Guangbo Tong, Weidong Li, Xinghua Tong, Zhibin Ren, Deqian Mao, Lichen Yang
2026, 39(4): 482-485. doi: 10.3967/bes2026.028
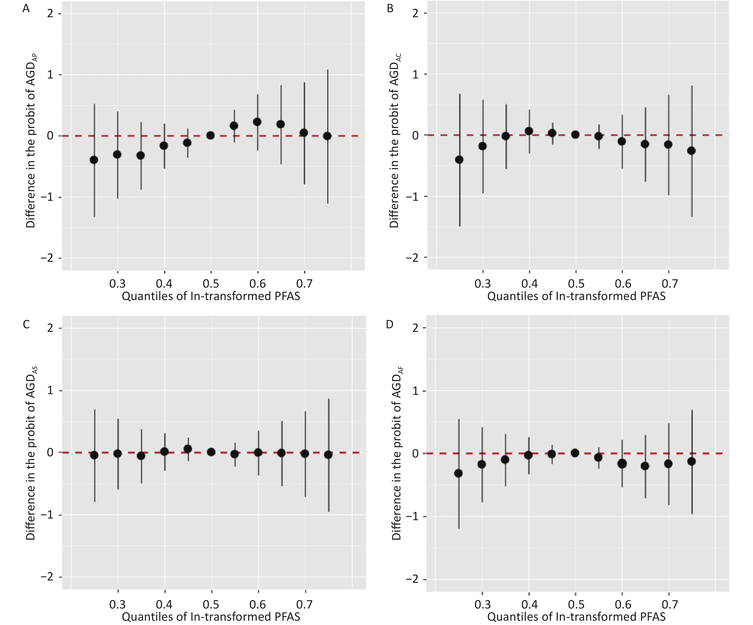
Sex-specific Associations of Prenatal Exposure to Legacy and Emerging PFAS with Fetal Anogenital Distance: A Study based on the Jiashan Birth Cohort
Yanmei Wu, Mingzhu Wu, Hong Liang, Jianya Xi, Honglei Ji, Maohua Miao, Hongkai Zhu, Jingchuan Xue
2026, 39(4): 486-492. doi: 10.3967/bes2026.029
Compound Temperature–humidity Extremes Increase Acute Mental Health Outcomes: A 12-year Case-crossover Metropolitan Study
Xin Liu, Xin Huang, Jingya Zhang, Haoran Li, Ning Zhang, Yingying Su, Yang Wang, Tongyan Liu, Rengyu Wu, Jincai Wei, Bin Zhu
2026, 39(4): 493-498. doi: 10.3967/bes2025.150