2018 Vol. 31, No. 9

2018-09cover
2018, 31(9): 1-1.
2018-09contents
2018, 31(9): 2-2.
Original Articles
Evaluating the Nutritional Status of Oncology Patientsand Its Association with Quality of Life
ZHANG Ya Hui, XIE Fang Yi, CHEN Ya Wen, WANG Hai Xia, TIAN Wen Xia, SUN Wen Guang, WU Jing
2018, 31(9): 637-644. doi: 10.3967/bes2018.088
Objective The primary aim of the study was to compare two nutritional status evaluation tools:the Patient-Generated Subjective Global Assessment (PG-SGA) and Nutritional Risk Screening (NRS-2002). Using the European Organization for Research and Treatment of Cancer Quality of Life Core Questionnaire 30 (EORTC QLQ-C30), the second aim was to provide constructive advice regarding the quality of life of patients with malignancy. Methods This study enrolled 312 oncology patients and assessed their nutritional status and quality of life using the PG-SGA, NRS-2002, and EORTC QLQ-C30. Results The data indicate that 6% of the cancer patients were well nourished. The SGA-A had a higher sensitivity (93.73%) but a poorer specificity (2.30%) than the NRS-2002 (69.30% and 25.00%, respectively) after comparison with albumin. There was a low negative correlation and a high similarity between the PG-SGA and NRS-2002 for evaluating nutritional status, and there was a significant difference in the median PG-SGA scores for each of the SGA classifications (P < 0.001). The SGA-C group showed the highest PG-SGA scores and lowest body mass index. The majority of the target population received 2 points for each item in our 11-item questionnaire from the EORTC QLQ-C30. Conclusion The data indicate that the PG-SGA is more useful and suitable for evaluating nutritional status than the NRS-2002. Additionally, early nutrition monitoring can prevent malnutrition and improve the quality of life of cancer patients.
Effect of Reduction in Iodine Content of Edible Salt on the Iodine Status of the Chinese Population
HE Qian, SU Xiao Hui, LIU Peng, FAN Li Jun, MENG Fan Gang, LIU Li Xiang, LI Ming, LIU Shou Jun
2018, 31(9): 645-653. doi: 10.3967/bes2018.089
Objective The aim of this study was to evaluate the impact of the revised Chinese National Standard GB26878-2011 'Iodine Content in Edible Salt' on the iodine status among the Chinese population. Methods In 2011 and 2014, the probability proportionate to size sampling (PPS) was used in each Chinese province to obtain the representative data. In each sampling unit, school children aged 8-10 years and pregnant women were selected. Key indicators included urinary iodine concentration (UIC), thyroid volume (TV), and the iodine content in edible household salt. Results The median urinary iodine concentration (MUIC) decreased between 2011 and 2014 from 238.6 to 197.9 μg/L in school-age children. The number of provinces with iodine excess decreased to zero. The proportion of children whose UIC was > 300 μg/L was 18.8% and decreased to 11% compared with 29.8% in 2011. There was no significant difference in UIC < 50 μg/L between 2014 (4.3%) and 2011 (3.7%) (P > 0.05). The MUIC among pregnant women in 2014 was more concentrated between 110 and 230 μg/L. The goiter rate among children aged 8-10 years was unchanged, both the goiter rate of 2011 and 2014 remaining below 5%, in view of the sustainable elimination of iodine deficiency disorders. Conclusion The National Standard GB26878-2011 'Iodine Content in Edible Salt' that was introduced in March 2012 resulted in an overall improvement in iodine status, reducing the risk of excessive iodine intake in the Chinese population.
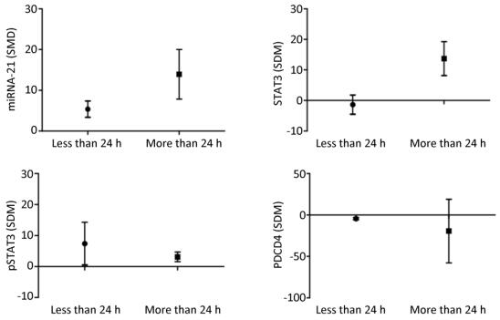
The Bidirectional Effects of Arsenic on miRNA-21: A Systematic Review and Meta-analysis
LIU Jia Qing, NIU Qing, HU Yun Hua, LI Yu, WANG Hai Xia, XU Shang Zhi, DING Yu Song, LI Shu Gang, MA Ru Lin
2018, 31(9): 654-666. doi: 10.3967/bes2018.090
Objective Arsenic is a metalloid environmental carcinogen involved in the occurrence and development of many cancers. miRNA-21 plays a crucial role in arsenic-induced carcinogenesis. We aimed to elucidate the mechanism by which miRNA-21 influences arsenic-induced cancer. Methods We used meta-analysis of published studies to determine how arsenic induces cancerous cells through miRNA-21. Results Low-dose arsenic exposure (≤ 5 μmol/L) can increase miRNA-21 and phosphorylated signal transducter and activator of transcription 3 (pSTAT3) expression, and decrease programmed cell death protein 4 (PDCD4) and protein sprouty homolog 1 (Spry1) expression. High-dose arsenic exposure (> 5 μmol/L), can increase miRNA-21 expression, and decrease Spry1 and E-cadherin expression. Short-term arsenic exposure (≤ 24 h) can increase miRNA-21 and pSTAT3 expression, and decrease PDCD4 expression. Moreover, long-term arsenic exposure (> 24 h) can increase the miRNA-21, STAT3, and pSTAT3 expression, and decrease PDCD4 expression. We found that activation of miRNA-21 and pSTAT3 were most pronounced following long-term arsenic exposure at low doses, and the effects on PDCD4 expression were most pronounced following short-term arsenic exposure at low doses. miRNA-21 inhibitors increased the expression of tumor suppressor genes PDCD4, PTEN, and Spry1 and miRNA-21-mimics suppressed the expression of these tumor suppressor genes. Conclusion Arsenic can cause cancer by activating miRNA-21 and inhibiting the expression of PDCD4, PTEN, and Spry1.
Fermented Barley Extracts with Lactobacillus plantarum dy-1 Rich in Vanillic Acid Modulate GlucoseConsumption in Human HepG2 Cells
ZHANG Jia Yan, XIAO Xiang, DONG Ying, ZHOU Xing Hua
2018, 31(9): 667-676. doi: 10.3967/bes2018.091
Objective To investigate the effect of fermented barley extracts with Lactobacillus plantarum dy-1 (LFBE) for modulating glucose consumption in HepG2 cells via miR-212 regulation. Methods Hepatocellular carcinoma (HepG2) cells were treated with palmitate. After 12 h, palmitate-induced HepG2 cells were treated with LFBE and its main components. Changes in glucose consumption, proinflammatory cytokine secretion, and miRNA-212 expression in HepG2 cells was observed. Results Treatment with LFBE rich in vanillic acid (VA) increased glucose consumption and reduced proinflammatory cytokine secretion in HepG2 cells. LFBE and VA normalized the upregulation of miR-212, which led to the upregulation of dual-specificity phosphatase-9 (DUSP9), a direct target of miR-212, at both protein and mRNA levels. Downregulation of miR-212 markedly increased glucose consumption and reduced proinflammatory cytokine secretion by enhancing DUSP9 expression. Conclusion The results showed the benefit of LFBE and miR-212 downregulation in modulating glucose consumption and reducing proinflammatory cytokine secretion by targeting DUSP9. VA in LFBE was a strong regulator of palmitate-induced abnormal glucose consumption in HepG2 cells and can be a primary mediator.
Eye-movement Patterns of Chinese Children with Developmental Dyslexia during the Stroop Test
WU Yu Jia, YANG Wen Han, WANG Qing Xiong, YANG De Sheng, HU Xiao Yun, JING Jin, LI Xiu Hong
2018, 31(9): 677-685. doi: 10.3967/bes2018.092
Objective To compare the eye-movement patterns of Chinese children with developmental dyslexia (DD children) with those of non-dyslexic children as they perform the Stroop Color and Word Test (SCWT), and to explore the relationship between their eye-movement patterns and interference effect. Methods An EyeLink Ⅱ was used to record the eye-movement parameters of 32 DD children and 37 non-dyslexic children as they performed the SCWT. The independent samples t-test and repeated measures were used to analyze behavioral and eye-movement parameters. Results Compared to the control group, Chinese DD children presented lower accuracy (F=8.488), slower response time (F=25.306), and larger interference effect (t=2.29); Chinese DD children also exhibited lower frequency of fixations (F=6.069), greater numbers of saccades (F=7.914) and fixations (F=5.272), and shorter mean saccade distance (F=4.03). All behavioral and eye-movement parameters differed significantly among the three tasks in the SCWT. There was significant interaction between groups and tasks in accuracy (F=5.844), and marginally significant interaction in response time (F=3.040). Chinese DD children tended to have lower accuracy and longer response time than the control group in the 'color-word naming' task. Conclusion Compared to non-dyslexic children, Chinese DD children are subject to a stronger interference effect. When performing the SCWT, Chinese DD children exhibit abnormal eye-movement patterns, namely shorter mean saccade distance, lower frequency of fixations, and more fixations and saccades. These abnormal eye movements may be relatively stable oculomotor patterns of DD children performing visual processing, and not influenced by impaired interference effect.
Review
Interaction between the Circadian Clock and Chronic Stress
KUANG Xiao Dong, YU Xin Bo, CAO Yuan, LI Dong Shui, ZHU Hai Yan
2018, 31(9): 686-699. doi: 10.3967/bes2018.093
Letters to the Editor
Abnormal Activity of Sympathetic Nervous System in Girls with Adolescent Idiopathic Scoliosis: A Cross-sectional Study
HU Zong Shan, ZHAO Zhi Hui, TSENG Chang-Chun, LI Jie, MAN Gene Chi-Wai, LAM Tsz-Ping, QIU Yong, CHENG Chun-Yiu Jack, ZHU Ze Zhang, LIU Zhen
2018, 31(9): 700-704. doi: 10.3967/bes2018.094
Community Needs Assessment in Relation to Urban Heat Effects: A Study in Greater Kuala Lumpur, Malaysia
Li Ping WONG, Haridah Alias, Nasrin Aghamohammadi, Nik Meriam Nik Sulaiman
2018, 31(9): 705-711. doi: 10.3967/bes2018.095