2025 Vol. 38, No. 12

Select articles
Cover
2025-12 Cover
2025, 38(12)
2025-12 Contents
2025, 38(12): 1-2.
Beyond the Number: Re-evaluating the History, Limitations, and Future of Body Mass Index
Jianqiang Lai
2025, 38(12): 1463-1465. doi: 10.3967/bes2025.172
Tackling Adult Obesity in China: A Time for Action
Xiao Zhang, Limin Wang
2025, 38(12): 1466-1469. doi: 10.3967/bes2025.149
Health Determinants in Association with Cancer Mortality from a Health Ecological Perspective
Chenran Wang, Zilin Luo, Jiaxin Xie, Xiaolu Chen, Yadi Zheng, Zeming Guo, Xiaoyue Shi, Xinyue Zhu, Wei Cao, Fei Wang, Xuesi Dong, Ni Li
2025, 38(12): 1470-1481. doi: 10.3967/bes2025.152
  Objective  To explore the health determinants of all-cancer mortality from a health-ecological perspective.  Methods  Using the health-ecological model, we identified 15 health determinants across five domains: personal innate, behavioral, interpersonal network, socioeconomic, and macroenvironmental characteristics. Data on cancer outcomes and health determinants from 185 countries, classified using the Human Development Index (HDI), were extracted from GLOBOCAN 2022, the World Health Organization Global Health Observatory, the Global Burden of Disease Study 2021, the United Nations, and the World Bank. A multivariate linear regression model was used to estimate the association between health determinants and cancer outcomes.  Results  A total of 153 countries with complete information on cancer outcomes and health determinants were enrolled in the study. A higher all-cancer age-standardized mortality rate (ASMR) was associated with current tobacco use, alcohol consumption, obesity, agricultural employment, and lag-distributed income. In women aged 15–49 years, being married or in a union was associated with a lower ASMR. Early-onset ASMR was positively associated with agricultural employment, lag-distributed income, and unsafe sanitation. Notable sex differences were observed, although tobacco use and obesity were identified as risk factors in both sexes.  Conclusion  We underscore the crucial need to incorporate cross-sectoral interventions within a resilient healthcare system to effectively mitigate the cancer mortality burden.
Excess Body Weight and Its Influence on Colonoscopy Adherence and Findings: Results from an Opportunistic Colorectal Cancer Screening Program in Chongqing
Xiaoyue Shi, Jia Du, Xuesi Dong, Zeming Guo, Jiaxin Xie, Zilin Luo, Xiaolu Chen, Chenran Wang, Yadi Zheng, Yan Zhang, Wei Cao, Fei Wang, Ni Li, Mei He
2025, 38(12): 1482-1489. doi: 10.3967/bes2025.153
  Objective   To examine the effect of excess body weight on adherence and lesion detection in colorectal cancer (CRC) screening.  Methods   A cross-sectional analysis was conducted within an opportunistic CRC screening program in Chongqing, which enrolled 43,797 adults aged 35–74 years between 2021 and 2022. A total of 42,279 participants were included in the final analysis, of whom 19,462 (46.0%) had excess body weight (BMI > 24.0 kg/m2). Colonoscopy adherence and detection were compared between normal and excess body weight group, and associated factors were examined.  Results   Of the 7,002 participants recommended for colonoscopy, 3,808 (54.4%) had excess body weight. Adherence was significantly lower in the excess weight group (6.6%) than in the normal weight group (10.7%, P < 0.001), and this trend was consistent across sex and age groups. The detection rates of advanced neoplasms (3.6% vs. 1.8%) and non-advanced adenomas (10.7% vs. 6.7%) were higher in the excess weight cohort, with a significant difference for any neoplasm (14.2% vs. 8.9%, P < 0.05). Differences in adherence- and detection-related factors were also observed between the groups.  Conclusion   Excess body weight was associated with lower colonoscopy adherence but higher neoplasm detection. These findings support the integration of weight management with targeted screening promotion to improve CRC prevention in this high-risk population.
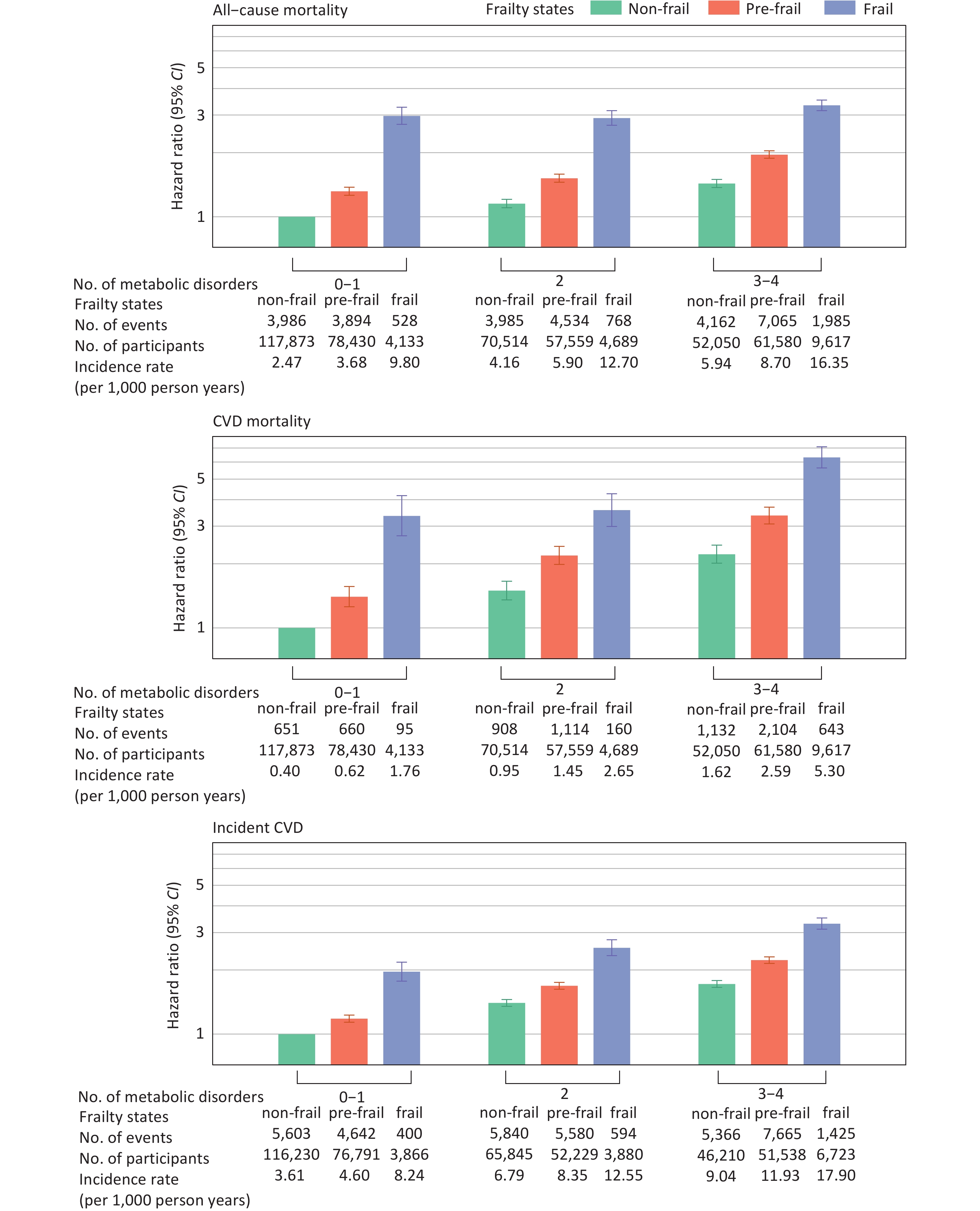
Association of Frailty with Mortality and Incident Cardiovascular Disease: The Role of Metabolic Status
Youjing Wang, Tingting Geng, Ku Xun, Jinchi Xie, Dan Xue, Yuxiang Wang, Gang Liu, An Pan
2025, 38(12): 1490-1501. doi: 10.3967/bes2025.154
  Objective  To identify whether metabolic status mediates the associations between frailty and mortality and incident cardiovascular disease (CVD), and to assess of interactive or joint relationships between frailty and metabolic status on these outcomes.  Methods  In this prospective cohort study of 456,445 UK Biobank participants, frailty was assessed using five phenotype criteria. Metabolic status was scored (0–4) based on central obesity, hypertension, hyperglycemia, and dyslipidemia. Multivariable-adjusted Cox regression models were used to assess the associations between frailty and mortality and incident CVD.  Results  During a median follow-up of 13.8 years for mortality and 13.6 years for CVD, 30,907 deaths (7,467 CVD-related) and 37,115 incident CVD cases occurred. Frailty was associated with higher risks of all-cause mortality (hazard ratio [HR], 2.41; 95% confidence interval [CI], 2.31–2.51), CVD mortality (HR, 2.64; 95% CI, 2.43–2.87), and incident CVD (HR, 1.83; 95% CI, 1.75–1.91), compared with non-frail individuals. Metabolic status mediated 8.7%, 16.1%, and 16.4% of these associations, respectively. Frailty and metabolic status interacted multiplicatively for all-cause mortality (P-value for interaction < 0.001) and additively for CVD mortality [relative excess risk due to interaction (RERI), 1.78; 95% CI, 0.88–2.68] and incident CVD (RERI, 0.60; 95% CI, 0.33–0.86). Joint exposure to frailty and three to four metabolic disorders conferred 3.34-, 6.32-, and 3.30-fold risks of all-cause mortality, CVD mortality, and incident CVD, respectively, compared with metabolically healthy non-frail individuals.  Conclusion  This study highlights the need for integrated management strategies targeting both frailty and metabolic conditions to mitigate cardiovascular and mortality risks.
Anthropometric Obesity Measures and Diabetes Progression from Prediabetes in Older Adults: A Comparison of American Diabetes Association and World Health Organization Criteria
Xiujuan Zhang, Huijie An, Virginia Byers Kraus, Xin Gao, Yunfan Li, Bowen Wang, Zhaoxue Yin
2025, 38(12): 1502-1509. doi: 10.3967/bes2025.090
  Objective  We examined the associations between obesity-related indices and the risk of diabetes progression from prediabetes in older adults, comparing the differences in using the American Diabetes Association (ADA) and World Health Organization (WHO) criteria.  Methods  Data were obtained from the Healthy Aging Evaluation Longitudinal Study conducted in China. At baseline, prediabetes (in participants without diabetes) was classified based on fasting plasma glucose (FPG) levels using both criteria. Body mass index (BMI) and waist circumference (WC) were categorized according to data distribution and diagnostic cut-off values, respectively. Cox proportional hazards regression models were used to estimate the adjusted hazard ratios (aHRs) with 95% confidence intervals (CIs) for obesity-related indices and diabetes progression from prediabetes.  Results  Among the 1,127 participants classified as prediabetic according to the ADA criteria, 474 met the WHO criteria. Under ADA-defined prediabetes, the highest WC quartile (≥ 93 cm) was significantly associated with an increased diabetes risk (aHR 1.93 [1.06, 3.53, P < 0.05]), whereas BMI-related and cut-off-based abdominal obesity demonstrated no significant associations (P > 0.05). Under WHO-defined prediabetes, both the high tertile of WC (≥ 90 cm) and general obesity (BMI ≥ 28.0 kg/m2) were significantly associated with progression to diabetes (P < 0.05), with aHR 2.13 (1.06, 4.27) and 2.44 (1.19, 5.01), respectively. However, cut-off-based abdominal obesity and the high BMI tertile (≥ 25.75 kg/m2) were not significantly associated with diabetes progression (P > 0.05).  Conclusion  Elevated WC, rather than BMI-based indices or cut-off-based abdominal obesity, was significantly associated with diabetes progression according to the ADA-defined prediabetes criteria. However, both the evaluated WC and general obesity predicted progression to diabetes according to the WHO criteria.
The Impacts of Major Chronic Diseases on Changes in Healthy Life Expectancy among Older Adults in China from 2011 to 2020
Xiang Cui, Fangchao Liu, Shenying Fang, Zixing Zhang, Jianli Wang, Jian Liao, Dongfeng Gu
2025, 38(12): 1510-1519. doi: 10.3967/bes2025.064
  Objectives  This study aimed to quantify the impact of major chronic diseases on changes in healthy life expectancy (HLE) from 2011 to 2020 in China using an age-specific disability weights (DW) estimation method.  Methods  HLE at age 60 (HLE60) was used as the indicator of HLE in China. Cause-specific mortality rates were obtained from the cause-of-death database of the National Health Commission. Self-reported disease and disability status were derived from the China Health and Retirement Longitudinal Study. A total of 55,861 participants were included for DW estimation. Rates of disability, which was assessed using the Activities of Daily Living questionnaires, were estimated using data from 5,465 participants in 2011 and 9,910 participants in 2020. Age-specific DWs were calculated using a Bayesian logistic regression model. Changes in HLE60 were decomposed into mortality and disability effects by cause, based on the estimated DWs.  Results  HLE60 in China increased by 0.83 years from 2011 to 2020. Ischemic heart disease (IHD) contributed the most to the decline in HLE60, remaining the leading cause of reduction in terms of mortality effects. Diabetes showed the greatest impact on HLE60 due to disability, followed by stroke. The largest sex disparities in HLE60 were associated with disability from arthritis.  Conclusion  HLE60 in China improved from 2011 to 2020 and IHD remained the leading contributor to its decline, particularly through increased mortality. Disabilities related to diabetes, stroke, and arthritis had significant negative impacts. These findings highlight the need to strengthen integrated chronic disease prevention and rehabilitation services at community health centers.
Sex-Specific Association of Telomere Length with Individualized Expected Years of Life Lost among 203,731 Males and 241,668 Females
Feifei Xu, Chenjie Li, Yifan Wang, Xiao Wang, Yumnah Babar, Shuang Liang, Fan Yang, Zhazheng He, Honggang Yi, Juncheng Dai
2025, 38(12): 1520-1528. doi: 10.3967/bes2025.053
  Objective  Telomere length is a key aging biomarker, but its sex-specific impact on individualized life expectancy remains uncertain. This study explores sex differences in leukocyte telomere length (LTL) and individualized expected years of life lost (YLL).  Methods  A prospective cohort of 445,399 participants (203,731 males and 241,668 females) from the UK Biobank was analyzed. LTL values were log-transformed, and YLL was calculated using life tables. Multiple linear regression was applied to examine sex-specific associations.  Results  In males, each standard deviation (S.D.) increase in LTL was linked to a 0.965-year decrease in YLL (95% CI: –1.025, –0.900; P < 0.001). In females, longer LTL was related to a 0.102-year increase in YLL (95% CI: 0.057, 0.146; P < 0.001). Among postmenopausal females, LTL showed a protective effect similar to that in males (0.387-year decrease, 95% CI: −0.446, –0.328; P < 0.001), while premenopausal females exhibited a detrimental association (0.705-year increase, 95% CI: 0.625, 0.785; P < 0.001). Comparable trends were observed across major aging-related diseases, pointing to a consistent biological pattern.  Conclusion  The influence of LTL on life expectancy varies significantly by sex, with protective associations seen in males and postmenopausal females. This suggests hormonal involvement in telomere dynamics. The results support integrating sex-specific perspectives into aging and telomere research and clinical practice.
Time Trends in Depressive Disorder Burden across BRICS Plus Countries: An Age-period-cohort Analysis for the Global Burden of Disease Study 2021
Jianhui Guo, Huan Wang, Carolina L Zilli Vieira, Linghui Meng, Yaqi Wang, Xiaoran Yu, Xinyao Lian, Jing Li, Zhiyong Zou
2025, 38(12): 1529-1543. doi: 10.3967/bes2025.155
  Objective  To analyze trends in the depressive disorder burden across BRICS Plus countries and their associations with age, period, and cohort effects.  Methods  Prevalence, incidence, and disability-adjusted life years (DALYs) estimates of the depressive disorder burden were obtained from the Global Burden of Disease Study, 2021. This study further assessed the period and cohort effects on depressive disorders from 1992 to 2021 using an age-period-cohort model.  Results  In 2021, 152.6 million people had depressive disorders across the BRICS Plus countries, showing an increase of 85.6% from 1990, which caused 23.7 million DALYs. The age-standardized prevalence rate (ASPR) of depressive disorders declined by 4.1% from 1990 to 2019, followed by a substantial increase (11.3%) from 2019 to 2021. Furthermore, period and cohort effects showed that the depressive disorder burden increased over time and in the recent birth cohort. Meanwhile, the depressive disorder burden increased among adolescents, young adults, and older adults in the BRICS Plus group. Ultimately, projections for 2050 suggest a 150.0% increase in the ASPR.  Conclusion  This study revealed a heavy depressive disorder burden across BRICS Plus countries, especially among adolescents, young adults, and older adults. This highlights the need to strengthen specific public health strategies and policies targeting populations with different priorities.
Predictors of Short-term Relapse after Successful Smoking Cessation among Patients Attending Smoking Cessation Clinics in China, 2019–2021: A Retrospective Cohort Study
Li Xie, Shiwei Liu, Xinying Zeng, Lin Xiao
2025, 38(12): 1544-1549. doi: 10.3967/bes2025.148
The Chinese government promotes smoking cessation through smoking cessation clinics (SCCs). This study aimed to identify factors associated with relapse and provide evidence to inform interventions that reduce relapse risk. Participants were SCC patients aged ≥ 18 years who enrolled between June 2019 and December 2021, completed follow-up assessments at one and three months, and reported abstinence at one month. Short-term relapse was defined as self-reported smoking at the three-month follow-up. Treatments included counseling, first-line cessation medications, and traditional Chinese medicine (TCM). Logistic regression was used to identify factors associated with short-term relapse. Among 10,724 eligible SCC patients, 11.6% experienced short-term relapse. Factors positively associated with relapse included the number of previous quit attempts (1–5 attempts: OR = 1.422, 95% CI: 1.254–1.613, > 5 attempts: OR = 1.382, 95% CI: 1.057–1.808), high perceived difficulty in quitting (OR = 1.297, 95% CI: 1.061–1.586), and moderate (OR = 1.383, 95% CI: 1.174–1.629) or weak (OR = 1.517, 95% CI: 1.251–1.841) willingness to quit. Factors negatively associated with relapse included having a college degree or higher (OR = 0.796; 95% CI: 0.650–0.973), high confidence in quitting (OR = 0.786; 95% CI: 0.629–0.983), and use of TCM (OR = 0.276; 95% CI: 0.158–0.482). Enhancing self-efficacy in quitting appears crucial for preventing short-term relapse. The use of TCM may reduce relapse risk and warrants further investigation.
Chinese Expert Consensus on the Application of Metagenomic Sequencing Technology in Ocular Infectious Diseases: A Delphi Method
Songtao Xu, Zhuyun Qian, Yong Tao
2025, 38(12): 1550-1557. doi: 10.3967/bes2025.156
Genomic Epidemiology of Foodborne blaNDM-9 Gene-Carrying Extensively Drug-Resistant (XDR) Salmonella enterica Serovar Indiana ST17
Yujie Hu, Peiyuan Huang, Maosong Tian, Lei Zheng, Jun He, Bingbing Li, Jianyun Zhao, Séamus Fanning, Li Bai, Yinping Dong
2025, 38(12): 1558-1563. doi: 10.3967/bes2025.147
Targeted Lipidomic Signatures of Rat Plasma and Machine Learning-Based Triage Models after Total-Body Gamma Irradiation
Cong Xi, Tianjing Cai, Xue Lu, Xuelei Tian, Yizhe Gao, Qi Chen, Qingjie Liu
2025, 38(12): 1564-1568. doi: 10.3967/bes2025.157
TRIM27: A Bifunctional Biomarker for Immune Microenvironment Regulation and Prognostic Assessment in Skin Cutaneous Melanoma
Weizheng Liang, Chenyang Hou, Fengxu Yan, Yanyan Bo, Shan Liu, Dandan Xu, Jiajia Xiao, Xiran Wang, Fei Guo, Qingxue Meng, Zhongwu Li, Rensen Ran
2025, 38(12): 1569-1574. doi: 10.3967/bes2025.158