Association between Serum Chloride Levels and Prognosis in Patients with Hepatic Coma in the Intensive Care Unit

Shuxing Wei Xiya Wang Yuan Du Ying Chen Jinlong Wang Yue Hu Wenqing Ji Xingyan Zhu Xue Mei Da Zhang

Shuxing Wei, Xiya Wang, Yuan Du, Ying Chen, Jinlong Wang, Yue Hu, Wenqing Ji, Xingyan Zhu, Xue Mei, Da Zhang. Association between Serum Chloride Levels and Prognosis in Patients with Hepatic Coma in the Intensive Care Unit[J]. Biomedical and Environmental Sciences, 2025, 38(10): 1255-1269. doi: 10.3967/bes2025.092
Citation: Shuxing Wei, Xiya Wang, Yuan Du, Ying Chen, Jinlong Wang, Yue Hu, Wenqing Ji, Xingyan Zhu, Xue Mei, Da Zhang. Association between Serum Chloride Levels and Prognosis in Patients with Hepatic Coma in the Intensive Care Unit[J]. Biomedical and Environmental Sciences, 2025, 38(10): 1255-1269. doi: 10.3967/bes2025.092

doi: 10.3967/bes2025.092

Association between Serum Chloride Levels and Prognosis in Patients with Hepatic Coma in the Intensive Care Unit

More Information
    Author Bio:

    Shuxing Wei, Master's Degree, majoring in emergency and critical care medicine, E-mail: wsx2024@yeah.net

    Xiya Wang, Master Degree's, majoring in emergency and critical care medicine, E-mail: malama1102@163.com

    Corresponding author: Xue Mei, Tel: 86-15340162235, E-mail: meixue96@163.comDa Zhang, Tel: 86-15624557115, E-mail: tigerdada@sohu.com
  • Methodology design, data collection, and manuscript drafting: Shuxing Wei and Xiya Wang; Literature review and data analysis: Yuan Du and Ying Chen; Manuscript revision and data collection assistance: Jinlong Wang, Yue Hu, Wenqing Ji, and Xingyan Zhu; Conceptualization and communication management: Xue Mei and Da Zhang.
  • The authors declare that they have no conflicts of interest.
  • All methods in this study were performed in accordance with the relevant guidelines and regulations (the Declaration of Helsinki). The MIMIC-IV is an anonymous public database. The project was approved by the Institutional Review Boards of both the Massachusetts Institute of Technology (MIT) and Beth Israel Deaconess Medical Center (BIDMC), with an informed consent waiver.
  • The datasets generated and analyzed during the current study are available from the corresponding author on reasonable request.
  • &These authors contributed equally to this work.
    • 关键词:
    •  / 
    •  / 
    •  / 
    •  
    Methodology design, data collection, and manuscript drafting: Shuxing Wei and Xiya Wang; Literature review and data analysis: Yuan Du and Ying Chen; Manuscript revision and data collection assistance: Jinlong Wang, Yue Hu, Wenqing Ji, and Xingyan Zhu; Conceptualization and communication management: Xue Mei and Da Zhang.
    The authors declare that they have no conflicts of interest.
    All methods in this study were performed in accordance with the relevant guidelines and regulations (the Declaration of Helsinki). The MIMIC-IV is an anonymous public database. The project was approved by the Institutional Review Boards of both the Massachusetts Institute of Technology (MIT) and Beth Israel Deaconess Medical Center (BIDMC), with an informed consent waiver.
    The datasets generated and analyzed during the current study are available from the corresponding author on reasonable request.
    &These authors contributed equally to this work.
    注释:
    1) Authors’ Contributions: 2) Competing Interests: 3) Ethics: 4) Data Sharing:
  • Figure  1.  Patient selection process. MIMIC, Medical Information Mart for Intensive Care; ICU, intensive care unit.

    Figure  2.  Association between chloride levels and hazard ratio of 28-day (A) and 1-year (B) all-cause mortality. HR, hazard ratio; CI, confidence interval.

    Figure  3.  Kaplan-Meier survival curves of patients with hepatic coma with moderate (yellow, chloride 103–103 mmol/L ), high (red, chloride > 113 mmol/L ), and low (blue, chloride < 103 mmol/L) chloride levels at 28-day (A) and 1-Year (B) follow-up.

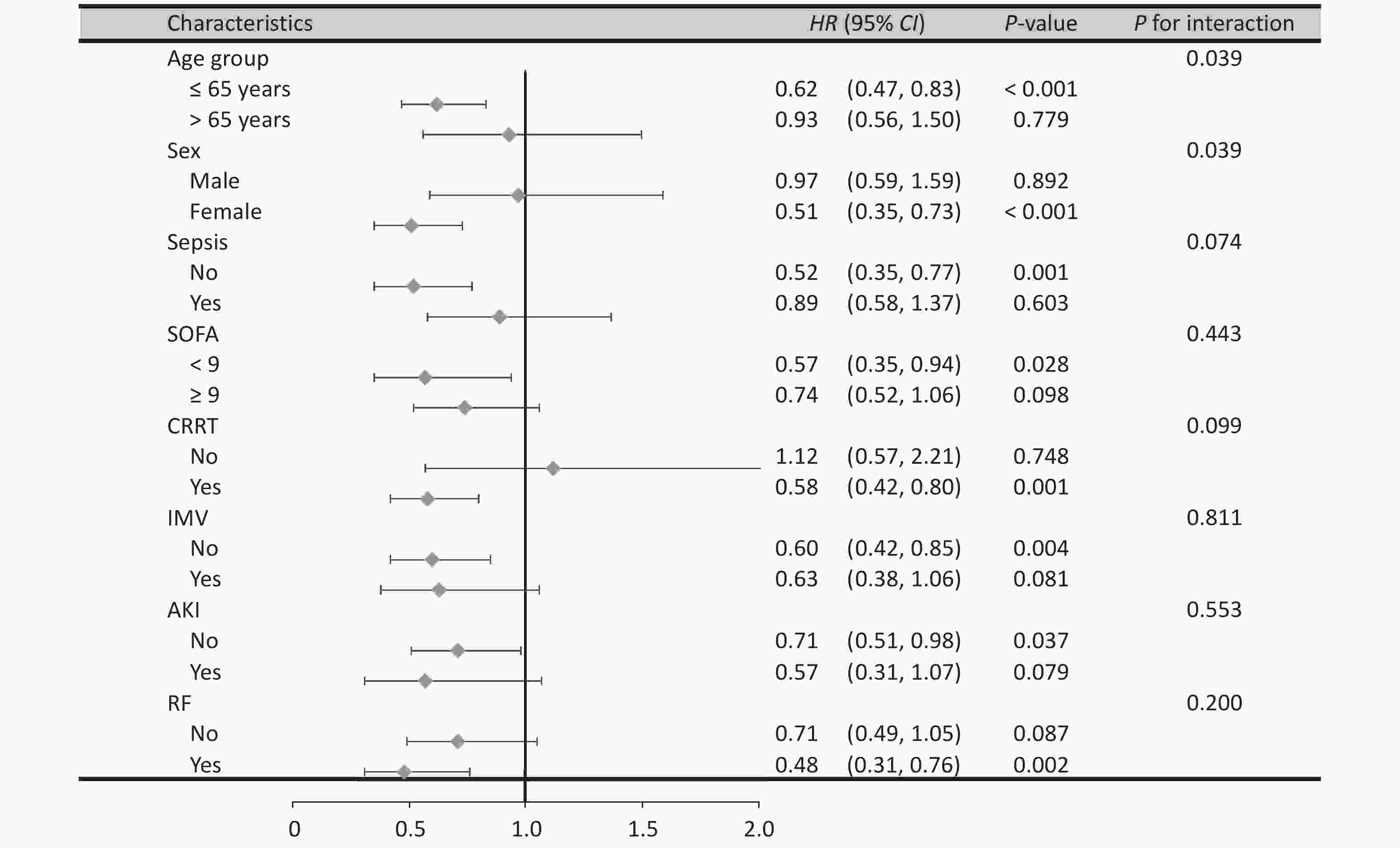
    Figure  4.  Subgroup analysis of patients with hepatic coma for 28-day mortality rates. HR, hazard ratio; CI, confidence interval; SOFA, Sequential Organ Failure Assessment; CRRT, continuous renal replacement therapy; IMV, invasive mechanical ventilation; AKI, acute kidney injury; RF, respiratory failure.

    Figure  5.  Subgroup analysis of patients with hepatic coma for 1-year mortality rates. HR, hazard ratio; CI, confidence interval; SOFA, Sequential Organ Failure Assessment; CRRT, continuous renal replacement therapy; IMV, invasive mechanical ventilation; AKI, acute kidney injury; RF, respiratory failure.

    Figure  6.  Kaplan-Meier survival curves of patients with hepatic coma with low (red, chloride < 103 mmol/L) and non-low chloride (blue, chloride ≥ 103 mmol/L) levels at the 28-Day follow-Up.

    Figure  7.  Effects of low-chloride environment on cell viability and the NF-κB inflammatory pathway. (A) Effects of culture media containing different chloride ion concentrations on neuronal cell viability. (B) Expression of p-NF-κB protein in mouse neurons cultured in a medium containing 20% reduced chloride ions. (C) Comparison of TNF-α mRNA expression between the low-chloride group and the normal group. (D) Comparison of IL-1β mRNA expression between the low-chloride and normal groups. (E) Comparison of IL-6 mRNA expression between the low-chloride and normal groups.

    Table  1.   Comparisons of the baseline characteristics at the 28-day follow-up

    Variables Survivors Non-survivors P-value
    N 356 189
    Age, years 57.11 (12.80) 59.33 (14.52) 0.067
    Albumin, g/dL 3.08 (0.73) 2.95 (0.72) 0.063
    ALT*, U/L 34.00 [22.00, 101.00] 51.00 [31.00, 240.00] 0.001
    AST*, U/L 72.00 [43.00, 191.00] 128.00 [64.50, 392.50] < 0.001
    BUN*, mg/dL 27.00 [15.00, 47.75] 37.00 [20.75, 57.00] < 0.001
    Calcium, mmol/L 8.29 (1.20) 8.22 (1.05) 0.520
    Chloride, mmol/L 104.16 (7.20) 101.05 (9.33) < 0.001
    Creatinine*, mg/dL 1.20 [0.70, 2.10] 1.70 [1.00, 2.60] 0.001
    DBP, mmHg 66.93 (18.17) 65.95 (18.93) 0.556
    Glucose*, mg/dL 122.00 [100.00, 158.00] 116.00 [91.50, 151.00] 0.065
    Hematocrit (%) 29.09 (5.96) 29.80 (6.93) 0.213
    Hemoglobin, g/dL 9.71 (2.04) 9.87 (2.24) 0.403
    HR, number/min 92.45 (19.54) 95.64 (22.36) 0.085
    INR* 1.70 [1.40, 2.20] 2.10 [1.70, 2.80] < 0.001
    Lactate*, mmol/L 2.30 [1.50, 3.60] 2.90 [2.00, 4.85] < 0.001
    Platelet*, K/μL 112.00 [64.50, 165.00] 104.00 [66.00, 183.00] 0.909
    Potassium, mmol/L 4.15 (0.82) 4.32 (0.90) 0.027
    PT*, seconds 18.70 [15.80, 23.42] 22.20 [18.40, 29.50] < 0.001
    PTT*, seconds 38.90 [32.82, 48.18] 45.50 [36.35, 57.55] < 0.001
    RR*, number/min 19.00 [16.00, 23.00] 20.00 [16.00, 23.00] 0.130
    SBP, mmHg 120.19 (23.02) 118.29 (23.28) 0.362
    LDH*, U/L 280.50 [208.50, 458.75] 388.50 [246.75, 733.75] < 0.001
    Sodium, mmol/L 137.10 (6.09) 135.93 (8.22) 0.061
    SpO2,% 97.32 (3.52) 96.59 (3.35) 0.019
    Tbil*, umol/L 3.90 [1.70, 9.05] 5.90 [2.30, 16.90] 0.001
    WBC*, k/μL 8.80 [5.70, 13.00] 11.40 [7.30, 17.50] < 0.001
    MAP*, mmHg 78.00 [69.00, 90.50] 75.50 [65.00, 88.00] 0.116
    Temperature, °C 36.72 (0.78) 36.53 (0.95) 0.016
    SOFA*, scores 8.00 [6.00, 10.25] 10.00 [8.00, 13.00] < 0.001
    Magnesium, mmol/L 2.01 (0.47) 2.14 (0.48) 0.002
    Sex 0.042
    Female 150 (42.1) 62 (32.8)
    Male 206 (57.9) 127 (67.2)
    CRRT (%) 44 (12.4) 36 (19.0) 0.049
    IMV (%) 216 (60.7) 126 (66.7) 0.199
    AF (%) 62 (17.4) 35 (18.5) 0.839
    AKI (%) 199 (55.9) 149 (78.8) < 0.001
    CKD (%) 55 (15.4) 23 (12.2) 0.362
    HF (%) 50 (14.0) 27 (14.3) > 0.999
    RF 128 (36.0) 104 (55.0) < 0.001
    Sepsis 78 (21.9) 85 (45.0) < 0.001
      Note. *Mann-Whitney U test. Categorical variables are presented as n (%); Continuous variables are expressed as means ± standard deviations for normally distributed data or medians [interquartile ranges] for non-normally distributed data; ALT, alanine aminotransferase; AST, aspartate aminotransferase; BUN, blood urea nitrogen; DBP, diastolic blood pressure; HR, heart rate; INR, international normalized ratio; PT, prothrombin time; PTT, partial thromboplastin time; RR, respiratory rate; SBP, systolic blood pressure; LDH, lactate dehydrogenase; SpO2, peripheral oxygen saturation; Tbil, total bilirubin; WBC, white blood cells; MAP, mean arterial pressure; SOFA, sequential organ failure assessment; CRRT, continuous renal replacement therapy; IMV, invasive mechanical ventilation; AF, atrial fibrillation; AKI, acute kidney injury; CKD, chronic kidney disease; HF, heart failure; RF, respiratory failure.
    下载: 导出CSV

    Table  2.   Comparisons of the baseline characteristics at the 1-year follow-up

    Variables Survivors Non-survivors P-value
    N 245 300
    Age, years 55.34 (12.48) 59.95 (13.87) < 0.001
    Albumin, g/dL 3.04 (0.65) 3.02 (0.79) 0.735
    ALT*, U/L 39.00 [23.00, 146.00] 42.00 [24.00, 105.00] 0.842
    AST*, U/L 79.00 [45.00, 299.00] 94.00 [50.00, 235.00] 0.470
    BUN*, mg/dL 24.50 [14.00, 47.00] 35.00 [19.25, 53.00] < 0.001
    Calcium, mmol/L 8.18 (1.25) 8.34 (1.06) 0.112
    Chloride, mmol/L 104.30 (7.20) 102.09 (8.70) 0.002
    Creatinine*, mg/dL 1.10 [0.70, 2.00] 1.60 [1.00, 2.50] < 0.001
    DBP, mmol/L 67.56 (18.57) 65.79 (18.30) 0.266
    Glucose*, mg/dL 123.50 [100.00, 162.00] 118.00 [94.00, 150.00] 0.125
    Hematocrit (%) 29.55 (6.01) 29.17 (6.56) 0.489
    Hemoglobin, g/dL 9.89 (2.07) 9.67 (2.14) 0.224
    HR, number/min 92.66 (19.19) 94.29 (21.68) 0.358
    INR* 1.70 [1.40, 2.30] 1.90 [1.60, 2.50] 0.009
    Lactate*, mmol/L 2.30 [1.50, 3.70] 2.70 [1.90, 4.50] 0.003
    Platelet*, k/μL 118.50 [65.00, 173.00] 102.00 [64.75, 166.50] 0.239
    Potassium, mmol/L 4.15 (0.86) 4.25 (0.85) 0.152
    PT*, seconds 18.70 [16.15, 24.45] 20.65 [17.28, 26.60] 0.012
    PTT*, seconds 38.40 [32.60, 48.80] 43.80 [35.32, 54.45] 0.001
    RR*, number/min 19.00 [16.00, 23.00] 19.00 [16.00, 23.00] 0.459
    SBP, mmol/L 119.91 (21.93) 119.23 (24.07) 0.735
    LDH*, U/L 285.50 [213.25, 529.00] 347.00 [230.25, 540.75] 0.276
    Sodium, mmol/L 137.16 (6.04) 136.31 (7.55) 0.152
    SpO2, % 97.40 (3.29) 96.79 (3.60) 0.041
    Tbil*, umol/L 3.50 [1.70, 8.00] 5.20 [2.20, 13.20] < 0.001
    WBC*, k/μL 9.25 [6.10, 13.20] 9.90 [6.40, 15.53] 0.089
    MAP*, mmHg 78.00 [69.00, 92.00] 76.00 [66.00, 88.00] 0.083
    Temperature, °C 36.77 (0.81) 36.56 (0.86) 0.006
    SOFA*, scores 8.00 [6.00, 11.00] 9.00 [7.00, 12.00] < 0.001
    Magnesium, mmol/L 2.02 (0.49) 2.09 (0.46) 0.083
    Sex 0.204
    Female 103 (42.0) 109 (36.3)
    Male 142 (58.0) 191 (63.7)
    CRRT (%) 27 (11.0) 53 (17.7) 0.039
    IMV (%) 158 (64.5) 184 (61.3) 0.503
    AF (%) 38 (15.5) 59 (19.7) 0.250
    AKI (%) 126 (51.4) 222 (74.0) < 0.001
    CKD (%) 28 (11.4) 50 (16.7) 0.107
    HF (%) 32 (13.1) 45 (15.0) 0.601
    RF (%) 91 (37.1) 141 (47.0) 0.026
    Sepsis (%) 43 (17.6) 120 (40.0) < 0.001
      Note. *Mann-Whitney U test. Categorical variables are presented asn(%); Continuous variables are expressed as means ± standard deviations for normally distributed data or medians [interquartile ranges] for non-normally distributed data; ALT, alanine aminotransferase; AST, aspartate aminotransferase; BUN, blood urea nitrogen; DBP, diastolic blood pressure; HR, heart rate; INR, international normalized ratio; PT, prothrombin time; PTT, partial thromboplastin time; RR, respiratory rate; SBP, systolic blood pressure; LDH, lactate dehydrogenase; SpO2, peripheral oxygen saturation; Tbil, total bilirubin; WBC, white blood cells; MAP, mean arterial pressure; SOFA, sequential organ failure assessment; CRRT, continuous renal replacement therapy; IMV, invasive mechanical ventilation; AF, atrial fibrillation; AKI, acute kidney injury; CKD, chronic kidney disease; HF, heart failure; RF, respiratory failure.
    下载: 导出CSV

    Table  3.   Findings of the univariate and multivariable analyses

    Chloride Model 1 Model 2 Model 3
    HR, 95% CI P-value HR, 95% CI P-value HR, 95% CI P-value
    28-day death
    Continuous 0.964 (0.948, 0.981) < 0.001 0.962 (0.946, 0.979) < 0.001 0.964 (0.948, 0.982) < 0.001
    Categorical
    Moderate Reference Reference Reference Reference Reference Reference
    High 1.052 (0.580, 1.911) 0.866 1.126 (0.619, 2.049) 0.697 0.867 (0.471, 1.594) 0.646
    Low 1.615 (1.188, 2.195) 0.002 1.624 (1.194, 2.209) 0.002 1.424 (1.041, 1.949) 0.027
    1-year death
    Continuous 0.973 (0.959, 0.987) < 0.001 0.970 (0.956, 0.984) < 0.001 0.974 (0.960, 0.989) 0.001
    Categorical
    Moderate Reference Reference Reference Reference Reference Reference
    High 1.246 (0.807, 1.923) 0.321 1.335 (0.863, 2.065) 0.195 1.071 (0.686, 1.672) 0.764
    Low 1.482 (1.164, 1.887) 0.001 1.509 (1.185, 1.921) 0.001 1.313 (1.026, 1.679) 0.031
    External 28-day death
    Non-Low Reference Reference Reference Reference Reference Reference
    Low 2.673 (1.085, 6.560) 0.032 2.626 (1.044, 6.603) 0.040 4.311 (1.495, 12.432) 0.007
      Note. HR, hazard ratio; CI, confidence interval. Model 1: Unadjusted. Model 2: Adjusted for sex and age. Model 3: Adjusted for sex, age, SOFA score, CRRT, IMV, AKI, RF, and sepsis.
    下载: 导出CSV

    Table  4.   Comparisons of the baseline characteristics at the 28-day follow-up of the external cohort

    Variables Survivors Non-survivors P-value
    N 46 22
    Age, years 59.13 ± 13.78 62.09 ± 10.19 0.374
    Chloride, mmol/L 105.93 (6.35) 100.18 (5.76) 0.001
    SOFA, scorces 7.50 [5.00, 10.00] 10.00 [7.25, 14.00] 0.004
    Sex > 0.999
    Female 20 (43.5) 9 (40.9)
    Male 26 (56.5) 13 (59.1)
    CRRT 6 (13.0) 1 ( 4.5) 0.514
    IMV 13 (28.3) 12 (54.5) 0.067
    AKI 17 (37.0) 14 (63.6) 0.071
    RF 24 (52.2) 10 (45.5) 0.795
    Sepsis 13 (28.3) 6 (27.3) > 0.999
      Note. SOFA, sequential organ failure assessment; CRRT, continuous renal replacement therapy; IMV, invasive mechanical ventilation; AKI, acute kidney injury; RF, respiratory failure.
    下载: 导出CSV
  • [1] Prakash R, Mullen KD. Mechanisms, diagnosis and management of hepatic encephalopathy. Nat Rev Gastroenterol Hepatol, 2010; 7, 515−25. doi:  10.1038/nrgastro.2010.116
    [2] Rudler M, Weiss N, Bouzbib C, et al. Diagnosis and management of hepatic encephalopathy. Clin Liver Dis, 2021; 25, 393−417. doi:  10.1016/j.cld.2021.01.008
    [3] Vilstrup H, Amodio P, Bajaj J, et al. Hepatic encephalopathy in chronic liver disease: 2014 practice guideline by the American association for the study of liver diseases and the European association for the study of the liver. Hepatology, 2014; 60, 715−35.
    [4] Elsaid MI, Rustgi VK. Epidemiology of hepatic encephalopathy. Clin Liver Dis, 2020; 24, 157−74. doi:  10.1016/j.cld.2020.01.001
    [5] Romero-Gómez M, Montagnese S, Jalan R. Hepatic encephalopathy in patients with acute decompensation of cirrhosis and acute-on-chronic liver failure. J Hepatol, 2015; 62, 437−47. doi:  10.1016/j.jhep.2014.09.005
    [6] Berend K, Van Hulsteijn LH, Gans ROB. Chloride: the queen of electrolytes?. Eur J Intern Med, 2012; 23, 203−11. doi:  10.1016/j.ejim.2011.11.013
    [7] Neyra JA, Canepa-Escaro F, Li XL, et al. Association of hyperchloremia with hospital mortality in critically ill septic patients. Crit Care Med, 2015; 43, 1938−44. doi:  10.1097/CCM.0000000000001161
    [8] Suetrong B, Pisitsak C, Boyd JH, et al. Hyperchloremia and moderate increase in serum chloride are associated with acute kidney injury in severe sepsis and septic shock patients. Crit Care, 2016; 20, 315. doi:  10.1186/s13054-016-1499-7
    [9] McCallum L, Jeemon P, Hastie CE, et al. Serum chloride is an independent predictor of mortality in hypertensive patients. Hypertension, 2013; 62, 836−43. doi:  10.1161/HYPERTENSIONAHA.113.01793
    [10] Prins KW, Kalra R, Rose L, et al. Hypochloremia is a noninvasive predictor of mortality in pulmonary arterial hypertension. J Am Heart Assoc, 2020; 9, e015221. doi:  10.1161/JAHA.119.015221
    [11] Li RG, Chen YX, Liang QH, et al. Lower serum chloride concentrations are associated with an increased risk of death in ICU patients with acute kidney injury: an analysis of the MIMIC-IV database. Minerva Anestesiol, 2023; 89, 166−74.
    [12] Cuthbert JJ, Bhandari S, Clark AL. Hypochloraemia in patients with heart failure: causes and consequences. Cardiol Ther, 2020; 9, 333−47. doi:  10.1007/s40119-020-00194-3
    [13] Cuthbert JJ, Pellicori P, Rigby A, et al. Low serum chloride in patients with chronic heart failure: clinical associations and prognostic significance. Eur J Heart Fail, 2018; 20, 1426−35. doi:  10.1002/ejhf.1247
    [14] Johnson AEW, Bulgarelli L, Shen L, et al. MIMIC-IV, a freely accessible electronic health record dataset. Sci Data, 2023; 10, 1. doi:  10.1038/s41597-022-01899-x
    [15] Chen C, Zhu AH, Ye SK, et al. A new dyslipidemia-based scoring model to predict transplant-free survival in patients with hepatitis E-triggered acute-on-chronic liver failure. Lipids Health Dis, 2023; 22, 80. doi:  10.1186/s12944-023-01826-y
    [16] Hu XP, Gao J. International normalized ratio and model for end-stage liver disease score predict short-term outcome in cirrhotic patients after the resolution of hepatic encephalopathy. World J Gastroenterol, 2019; 25, 3426−37. doi:  10.3748/wjg.v25.i26.3426
    [17] Riggio O, Celsa C, Calvaruso V, et al. Hepatic encephalopathy increases the risk for mortality and hospital readmission in decompensated cirrhotic patients: a prospective multicenter study. Front Med, 2023; 10, 1184860. doi:  10.3389/fmed.2023.1184860
    [18] Gallego-Durán R, Hadjihambi A, Ampuero J, et al. Ammonia-induced stress response in liver disease progression and hepatic encephalopathy. Nat Rev Gastroenterol Hepatol, 2024; 21, 774−91. doi:  10.1038/s41575-024-00970-9
    [19] Geng C, Xue Y, Yang JH, et al. SIRT1 mediates sestrin1-induced improvement in hepatic insulin resistance. Biomed Environ Sci, 2022; 35, 79−83.
    [20] Häussinger D, Dhiman RK, Felipo V, et al. Hepatic encephalopathy. Nat Rev Dis Primers, 2022; 8, 43. doi:  10.1038/s41572-022-00366-6
    [21] Doyon N, Vinay L, Prescott SA, et al. Chloride regulation: a dynamic equilibrium crucial for synaptic inhibition. Neuron, 2016; 89, 1157−72. doi:  10.1016/j.neuron.2016.02.030
    [22] Wang ZY, Choi K. Pharmacological modulation of chloride channels as a therapeutic strategy for neurological disorders. Front Physiol, 2023; 14, 1122444. doi:  10.3389/fphys.2023.1122444
    [23] De Koninck Y. Altered chloride homeostasis in neurological disorders: a new target. Curr Opin Pharmacol, 2007; 7, 93−9. doi:  10.1016/j.coph.2006.11.005
    [24] Ditch KL, Flahive JM, West AM, et al. Hyperchloremia, not concomitant hypernatremia, independently predicts early mortality in critically ill moderate-severe traumatic brain injury patients. Neurocrit Care, 2020; 33, 533−41. doi:  10.1007/s12028-020-00928-0
    [25] Huang KB, Hu YH, Wu YM, et al. Hyperchloremia is associated with poorer outcome in critically ill stroke patients. Front Neurol, 2018; 9, 485. doi:  10.3389/fneur.2018.00485
    [26] Bei HZ, You SJ, Zheng D, et al. Prognostic role of hypochloremia in acute ischemic stroke patients. Acta Neurol Scand, 2017; 136, 672−9. doi:  10.1111/ane.12785
    [27] Rodríguez-Triviño CY, Castro IT, Dueñas Z. Hypochloremia in patients with severe traumatic brain injury: a possible risk factor for increased mortality. World Neurosurg, 2019; 124, e783−8. doi:  10.1016/j.wneu.2019.01.025
    [28] Sumarsono A, Wang JX, Xie LY, et al. Prognostic value of hypochloremia in critically ill patients with decompensated cirrhosis. Crit Care Med, 2020; 48, e1054−61. doi:  10.1097/CCM.0000000000004620
    [29] Ji Y, Li LB. Lower serum chloride concentrations are associated with increased risk of mortality in critically ill cirrhotic patients: an analysis of the MIMIC-III database. BMC Gastroenterol, 2021; 21, 200. doi:  10.1186/s12876-021-01797-3
    [30] Semmler G, Scheiner B, Balcar L, et al. Disturbances in sodium and chloride homeostasis predict outcome in stable and critically ill patients with cirrhosis. Aliment Pharm Ther, 2023; 58, 71−9. doi:  10.1111/apt.17507
    [31] Eliakim R, Shouval D, Eliakim M. Pathophysiological changes associated with increasing grade of hepatic encephalopathy. J Natl Med Assoc, 1988; 80, 986−91.
    [32] Iwasa M, Sugimoto R, Mifuji-Moroka R, et al. Factors contributing to the development of overt encephalopathy in liver cirrhosis patients. Metab Brain Dis, 2016; 31, 1151−6. doi:  10.1007/s11011-016-9862-6
    [33] Wunsch E, Naprawa G, Koziarska D, et al. Serum natremia affects health-related quality of life in patients with liver cirrhosis: a prospective, single centre study. Ann Hepatol, 2013; 12, 448−55.
    [34] Jiang R, Tang J, Zhang X, et al. CCN1 Promotes inflammation by inducing IL-6 Production viaα6β1/PI3K/Akt/NF-κB pathway in autoimmune hepatitis. Front Immunol, 2022; 13, 810671. doi:  10.3389/fimmu.2022.810671
  • [1] Juanjuan Li, Zhe Zhang, Jijuan Zhang, Yuxiang Wang, Hancheng Yu, Gang Liu, An Pan, Yunfei Liao, Tingting Geng.  Joint Associations of Sarcopenia and Social Isolation with Mortality: Two Prospective Cohort Studies across Different Cultural Contexts . Biomedical and Environmental Sciences, 2026, 39(1): 3-14. doi: 10.3967/bes2025.113
    [2] Mengen Guo, Jiangmei Liu, Guanhao He, Jinlei Qi, Jianxiong Hu, Peng Yin, Sujuan Chen, Yulin Zhuo, Yi Lin, Xuelong Gu, Tao Liu, Ziqiang Lin, Fengrui Jing, Jinling You, Wenjun Ma, Fanna Liu, Maigeng Zhou.  Heat Wave and Mortality Burden of Chronic Kidney Disease: Current Assessment and Future Projection in China . Biomedical and Environmental Sciences, 2026, 39(): 1-12. doi: 10.3967/bes2026.013
    [3] Mingbo Liu, Xinye He, Xiaohong Yang, Zengwu Wang.  Interpretation of Annual Report on Cardiovascular Health and Diseases in China 2024 . Biomedical and Environmental Sciences, 2025, 38(8): 893-917. doi: 10.3967/bes2025.099
    [4] Haiming Luo, Wenbiao Hu, Yanjun Xu, Xueyan Zheng, Qun He, Lu Lyu, Ruilin Meng, Xiaojun Xu, Fei Zou.  Identifying High-Risk Areas for Type 2 Diabetes Mellitus Mortality in Guangdong, China: Spatiotemporal Clustering and Socioenvironmental Determinants . Biomedical and Environmental Sciences, 2025, 38(5): 585-597. doi: 10.3967/bes2025.048
    [5] Juanjuan Huang, Yuanzhi Di, Lingyu Shen, Jianguo Liang, Jiang Du, Xuefang Cao, Weitao Duan, Aiwei He, Jun Liang, Limei Zhu, Zisen Liu, Fang Liu, Shumin Yang, Zuhui Xu, Cheng Chen, Bin Zhang, Jiaoxia Yan, Yanchun Liang, Rong Liu, Tao Zhu, Hongzhi Li, Fei Shen, Boxuan Feng, Yijun He, Zihan Li, Yaqi Zhao, Tonglei Guo, Liqiong Bai, Wei Lu, Qi Jin, Lei Gao, Henan Xin.  Association of Body Mass Index with All-Cause Mortality and Cause-Specific Mortality in Rural China: 10-Year Follow-up of a Population-Based Multicenter Prospective Study . Biomedical and Environmental Sciences, 2025, 38(10): 1179-1193. doi: 10.3967/bes2025.128
    [6] Likun Liu, Xueli Yuan, Wenqing Ni, Jing Wei, Tingting Liu, Ruijun Xu, Yingxin Li, Zihua Zhong, Yi Zheng, Sihan Liang, Rui Wang, Jian Xu, Yuewei Liu.  Long-Term Exposure to Low-Level Ambient Air Pollution and Mortality among 0.3 Million Chinese Older Adults . Biomedical and Environmental Sciences, 2024, 37(12): 1362-1372. doi: 10.3967/bes2024.183
    [7] The Writing Committee of the Report on Cardiovascular Health and Diseases in China.  Report on Cardiovascular Health and Diseases in China 2022: an Updated Summary . Biomedical and Environmental Sciences, 2023, 36(8): 669-701. doi: 10.3967/bes2023.106
    [8] ZHAI Yi, SI Xiang, WANG Wen Zhi, ZHAO Wen Hua.  Effect of Age and Sex on Stroke Mortality of Young and Middle-aged Adults in China, 2002–2019, and Predictions to 2030 . Biomedical and Environmental Sciences, 2023, 36(4): 305-312. doi: 10.3967/bes2023.036
    [9] LIU Han Rui, LI Chen Yang, XIA Xue, CHEN Shu Feng, LU Xiang Feng, GU Dong Feng, LIU Fang Chao, HUANG Jian Feng.  Association of Estimated Pulse Wave Velocity and the Dynamic Changes in Estimated Pulse Wave Velocity with All-Cause Mortality among Middle-Aged and Elderly Chinese . Biomedical and Environmental Sciences, 2022, 35(11): 1001-1011. doi: 10.3967/bes2022.129
    [10] The Writing Committee of the Report on Cardiovascular Health and Diseases in China.  Report on Cardiovascular Health and Diseases in China 2021: An Updated Summary . Biomedical and Environmental Sciences, 2022, 35(7): 573-603. doi: 10.3967/bes2022.079
    [11] WANG Zhuo Qun, ZHAI Yi, LI Man, YANG Xiu Feng, ZHANG Jian, REN Ze Ping, ZHANG Mei, SONG Peng Kun, ZHAO Yan Fang, MI Sheng Quan, ZHANG Lu, YANG Mao Xiang, ZHAO Wen Hua.  Association between Baseline SBP/DBP and All-Cause Mortality in Residents of Shanxi, China: A Population-based Cohort Study from 2002 to 2015 . Biomedical and Environmental Sciences, 2021, 34(1): 1-8. doi: 10.3967/bes2021.002
    [12] LAI Yu Ji, LIU Er Yong, WANG Li Ming, Jamie P MORANO, WANG Ning, Kaveh KHOSHNOOD, ZHOU Lin, CHENG Shi Ming.  Human Immunodeficiency Virus Infection-Associated Mortality during Pulmonary Tuberculosis Treatment in Six Provinces of China . Biomedical and Environmental Sciences, 2015, 28(6): 421-428. doi: 10.3967/bes2015.059
    [13] QU Hong Mei, BAI Ya Na, CHENG Ning, DAI Min, ZHENG Tong Zhang, WANG Dennis, LI Hai Yan, HU Xiao Bin, LI Juan Sheng, REN Xiao Wei, SHANG Hui.  Trend Analysis of Cancer Mortality in the Jinchang Cohort, China, 2001-2010 . Biomedical and Environmental Sciences, 2015, 28(5): 364-369. doi: 10.3967/bes2015.050
    [14] OU Chun Quan, YANG Jun, OU Qiao Qun, LIU Hua Zhang, LIN Guo Zhen, CHEN Ping Yan, QIAN Jun.  The Impact of Relative Humidity and Atmospheric Pressure on Mortality in Guangzhou, China . Biomedical and Environmental Sciences, 2014, 27(12): 917-925. doi: 10.3967/bes2014.132
    [15] YANG Jun, LIU Hua Zhang, OU Chun Quan, LIN Guo Zhen, DING Yan, ZHOU Qin, SHEN Ji Chuan, CHEN Ping Yan.  Impact of Heat Wave in 2005 on Mortality in Guangzhou, China . Biomedical and Environmental Sciences, 2013, 26(8): 647-654. doi: 10.3967/0895-3988.2013.08.003
    [16] LI Tian Tian, GAO Yan Lin, WEI Zai Hua, WANG Jing, GUO Ya Fei, LIU Fan, LIU Zhao Rong, CHENG Yan Li.  Assessing Heat-related Mortality Risks in Beijing, China . Biomedical and Environmental Sciences, 2012, 25(4): 458-464. doi: 10.3967/0895-3988.2012.04.011
    [17] ZHENG XiaoYing, SONG XinMing, CHEN Gong, YOU YunZhong, REN Qiang, LIU JuFen, ZHANG Lei, TAN LingFang, WEI JiHong, CHEN QiuYuan.  Health Inequalities during 20 Years of Rapid Economic Development in China (1980-2000): A Mortality Analysis . Biomedical and Environmental Sciences, 2011, 24(4): 329-334. doi: 10.3967/0895-3988.2011.04.002
    [18] WEN HongBo, ZHANG ZhenXin, HUANG JueBin, DUAN LeiLei, WANG QingHua.  Mortality of Dementia and Its Major Subtypes in Urban and Rural Communities of Beijing . Biomedical and Environmental Sciences, 2011, 24(5): 483-490. doi: 10.3967/0895-3988.2011.05.005
    [19] GUO-HAI CHEN, GUI-XIANG SONG, LI-LI JIANG, YUN-HUI ZHANG, NAI-QING ZHAO, BING-HENG CHEN, HAI-DONG KAN.  Interaction Between Ambient Particles and Ozone and Its Effect on Daily Mortality . Biomedical and Environmental Sciences, 2007, 20(6): 502-505.
    [20] LU LI, TONG-DA SUN, Xing ZHANG, RUI-NAN LAI, XIU-YANG LI, XUE-JIN FAN, KENJI MORINAGA.  Cohort Studies on Cancer Mortality Among Workers Exposed Only to Chrysotile Asbestos:a Meta-analysis . Biomedical and Environmental Sciences, 2004, 17(4): 459-468.
  • 加载中
图(7) / 表ll (4)
计量
  • 文章访问数:  888
  • HTML全文浏览量:  443
  • PDF下载量:  32
  • 被引次数: 0
出版历程
  • 收稿日期:  2024-11-08
  • 录用日期:  2025-06-16
  • 网络出版日期:  2025-08-27
  • 刊出日期:  2025-10-20

Association between Serum Chloride Levels and Prognosis in Patients with Hepatic Coma in the Intensive Care Unit

doi: 10.3967/bes2025.092
    作者简介:

    Shuxing Wei, Master's Degree, majoring in emergency and critical care medicine, E-mail: wsx2024@yeah.net

    Xiya Wang, Master Degree's, majoring in emergency and critical care medicine, E-mail: malama1102@163.com

    通讯作者: Xue Mei, Tel: 86-15340162235, E-mail: meixue96@163.comDa Zhang, Tel: 86-15624557115, E-mail: tigerdada@sohu.com
注释:
1) Authors’ Contributions: 2) Competing Interests: 3) Ethics: 4) Data Sharing:

English Abstract

Shuxing Wei, Xiya Wang, Yuan Du, Ying Chen, Jinlong Wang, Yue Hu, Wenqing Ji, Xingyan Zhu, Xue Mei, Da Zhang. Association between Serum Chloride Levels and Prognosis in Patients with Hepatic Coma in the Intensive Care Unit[J]. Biomedical and Environmental Sciences, 2025, 38(10): 1255-1269. doi: 10.3967/bes2025.092
Citation: Shuxing Wei, Xiya Wang, Yuan Du, Ying Chen, Jinlong Wang, Yue Hu, Wenqing Ji, Xingyan Zhu, Xue Mei, Da Zhang. Association between Serum Chloride Levels and Prognosis in Patients with Hepatic Coma in the Intensive Care Unit[J]. Biomedical and Environmental Sciences, 2025, 38(10): 1255-1269. doi: 10.3967/bes2025.092
    • Hepatic encephalopathy (HE) is a common complication of both acute and chronic liver diseases, and is characterized by neurological and psychiatric symptoms[1]. Approximately 30%–45% of patients with liver cirrhosis develop significant HE[2]. The condition manifests with varying degrees of cognitive impairment, including deficits in psychomotor speed, working memory, and more severe neuropsychiatric symptoms. Hepatic coma, the most severe form of HE, is defined as complete unconsciousness or unresponsiveness to the external environment[3]. HE is associated with reduced survival in patients with liver cirrhosis[4], and hepatic coma further elevates mortality risk[5]. Timely prognostic assessment is crucial for improving the outcomes of these patients.

      Critically ill patients often experience both hypochloremia and hyperchloremia because of underlying conditions or treatments[6]. Chloride levels have recently gained attention as a prognostic marker in critically ill patients, with studies demonstrating that hyperchloremia is associated with acute kidney injury (AKI) and in-hospital mortality in severe sepsis[7,8]. Javier et al. found that in critically ill patients with sepsis with hyperchloremia (chloride levels of ≥ 110 mmol/L) at intensive care unit (ICU) admission, worsening hyperchloremia within 72 h correlated with increased hospital mortality. Similarly, Bandarn et al. reported that hyperchloremia frequently occurs in severe sepsis and septic shock, and is independently associated with AKI. Even patients without initial hyperchloremia may develop AKI with a moderate increase in serum chloride levels (a change in serum chloride ≥ 5 mmol/L). Hypochloremia has also been identified as an independent prognostic factor in conditions such as hypertension[9], pulmonary arterial hypertension[10], AKI[11], and chronic heart failure[12,13]. Therefore, it can serve as a predictive factor for mortality in these diseases.

      However, the effect of serum chloride levels on the prognosis of patients with severe hepatic coma remains unclear. This study aimed to investigate the association between serum chloride levels and 28-day and 1-year all-cause mortality in patients with hepatic coma. In addition, we explored potential interventions that could improve outcomes and reduce the healthcare burden associated with severe hepatic coma.

    • This retrospective observational study used data from the Medical Information Mart for Intensive Care IV (MIMIC-IV, v2.2). The MIMIC-IV is a large, publicly available, single-center database that includes over 40,000 patients admitted to the Beth Israel Deaconess Medical Center’s (BIDMC) ICUs from 2008 to 2019[14]. Although patients in the MIMIC-IV database are no longer identifiable, it contains comprehensive records including demographic information, physiological readings from bedside monitors, laboratory results, diagnoses, treatment information, and other clinical data collected during routine medical care. The use of this database was approved by the Institutional Review Board (IRB) of the Massachusetts Institute of Technology (Cambridge, Massachusetts, USA). One author of this study has completed the “Protecting Human Research Participants” course and obtained database access certification (Certificate Number: 47937607). Additionally, patients with hepatic coma who presented to the emergency department of Beijing Chaoyang Hospital between March 2022 and September 2024 were included for external validation.

    • After a comprehensive screening, all patients with hepatic coma were included in the analysis. For patients with multiple admissions, only data from the first ICU admission were analyzed. The inclusion criteria were as follows: (1) diagnosis of hepatic coma based on diagnostic codes, including ICD-9 codes (700, 7020, 7021, 7022, 7023, 7041, 7042, 7043, 7044, 7049, 706, 7071, 709, 5722) and ICD-10 codes (B150, B160, B162, B1711, B190, B1911, B1921, K7041, K7111, K7201, K7211, K7291); and (2) age over 16 years. The exclusion criteria were (1) patients with ICU stays of < 24 h and (2) missing serum chloride measurements.

    • We collected comprehensive patient data, including baseline characteristics such as age and sex, and vital signs, including body temperature, heart rate, respiratory rate (RR), diastolic blood pressure (DBP), systolic blood pressure (SBP), mean arterial pressure (MAP), and peripheral oxygen saturation (SpO2). Comorbidities, such as atrial fibrillation (AF), heart failure (HF), respiratory failure (RF), chronic kidney disease (CKD), AKI, and sepsis, were also noted. Laboratory tests included albumin, alanine aminotransferase (ALT), aspartate aminotransferase (AST), blood urea nitrogen (BUN), calcium, chloride, creatinine, glucose, hematocrit, hemoglobin, international normalized ratio (INR), lactate, platelet count, potassium, prothrombin time (PT), partial thromboplastin time (PTT), lactate dehydrogenase (LDH), sodium, total bilirubin (Tbil), white blood cell count (WBC), and magnesium levels. Life support therapies, including continuous renal replacement therapy (CRRT) and invasive mechanical ventilation (IMV), were also recorded along with the sequential organ failure assessment (SOFA) score. For variables with repeated measurements, only the initial values were included in the analysis.

    • The primary outcome analyzed in this study was 28-day all-cause mortality, whereas the secondary outcome was 1-year all-cause mortality.

    • Continuous variables are expressed as means ± standard deviations for normally distributed data or medians (interquartile ranges) for non-normally distributed data. Categorical variables are presented as counts and percentages. Between-group comparisons were made using Student's t-tests for normally continuous variables, Mann-Whitney U tests for non-normally continuous variables, and the chi-squared test for categorical variables.

      We employed restricted cubic spline (RCS) Cox regression models to explore potential linear or nonlinear associations between serum chloride levels and 28-day/1-year all-cause mortality. The cohort was then stratified into subgroups based on RCS-derived optimal cutoff points. Kaplan–Meier (KM) curves with log-rank tests were generated to compare the survival probabilities across the chloride-level subgroups. Univariate and multivariate Cox proportional hazard models were used to assess associations, with results reported as hazard ratios (HRs) and 95% confidence intervals (CIs). Model 1 represents the unadjusted univariate Cox regression analysis. Model 2 accounts for adjustments based on age and sex, whereas Model 3 includes additional adjustments for age, sex, comorbidities, and the SOFA score.

      Additional analyses were conducted to verify the robustness of the findings. First, we examined the potential interactions between serum chloride levels and key stratification variables. Second, subgroup analyses were conducted to determine whether the association between serum chloride levels and 28-day mortality persisted after accounting for potential confounders. Finally, we validated the primary outcome (28-day all-cause mortality) using data from Beijing Chaoyang Hospital, reproducing both the KM survival analyses and Cox regression models.

      Statistical significance was set at P < 0.05. All statistical analyses were performed using the R software version 4.3.1.

    • To investigate the mechanism by which chloride ions influence hepatic encephalopathy, we extracted primary neurons from 6–8-week-old C57BL/6J mice and cultured them in media containing different concentrations of chloride ions. Neuronal viability was assessed, and the expression of inflammatory cytokines, as well as the phosphorylation level of the NF-κB signaling pathway, was measured using polymerase chain reaction (PCR) and western blot (WB) analysis. The detailed procedures were as follows:

      C57BL/6J mice aged 6–8 weeks, weighing 18–20 g (purchased from Beijing Vital River Laboratory Animal Technology Co., Ltd.), were selected, and brain tissue was aseptically collected. After dissecting the cerebral cortex, the tissues were incubated with 0.25% trypsin (25200072; Gibco) at 37 °C for 15 min. The digestion was terminated and neutralized with DMEM (PM150220A, Procell System) containing 10% fetal bovine serum (FBS) (10099141C, Gibco), followed by filtration through a cell strainer. After counting, the cells were seeded into six-well plates pre-coated with poly-D-lysine (PDL) (E607014-0002, Sangon Biotech) and cultured in Neurobasal medium (PM151223, Procell System) supplemented with B27 and L-glutamine. Once the cells adhered and reached stable growth (day 3), the medium was replaced with one containing different chloride ion concentrations.

      Control group: standard neurobasal medium (PM151223; Procell system); low-chloride group 1: chloride concentration reduced by 10% compared to standard neurobasal medium; low-chloride group 2: chloride concentration reduced by 20%. Both the low-chloride media were custom-formulated by Procell Systems (PM151223).

      After 48 h of incubation, neuronal viability was assessed using a CCK-8 assay (ab228554, Abcam). Ten microliters of CCK-8 reagent was added to each well and incubated for 2 h, after which the absorbance was measured at 450 nm.

      After 12 h of incubation, total RNA was extracted from the cells, and complementary DNA (cDNA) was synthesized using a reverse transcription kit (ANG0818A, TAKARA). Real-time quantitative PCR using SYBR Green (11199ESO8, YEASEN) was performed to measure the mRNA expression levels of tumor necrosis factor-α (TNF-α) (Fwd: 5’- AGTGGTGCCAGCCGATGGGTTGT -3’; Rev: 5’- GCTGAGTTGGTCCCCCTTCTCCAG -3’), interleukin-1β(IL-1β) (Fwd: 5’- GCCACCTTTTGACAGTGATG -3’; Rev: 5’- GCTCTTGTTGATGTGCTGCT -3’), and interleukin-6 (IL-6) (Fwd: 5’- CCCCAATTTCCAATGCTCTCC -3’; Rev: 5’- GGATGGTCTTGGTCCTTAGCC -3’). Glyceraldehyde-3-phosphate dehydrogenase (GAPDH)GAPDH (Fwd: 5’- CCCAGCTTAGGTTCATCAGG -3’; Rev: 5’- CCAAATCCGTTCACACCGAC -3’) served as the internal control, and relative expression levels were calculated using the 2–ΔΔCt method. For protein analysis, total cellular proteins were extracted, separated by sodium dodecyl sulfate-polyacrylamide gel electrophoresis, and transferred onto membranes. The membranes were then incubated with antibodies against NF-κB p65 (1:1000, ab32536, Abcam), phosphorylated p65 (p-p65) (1:1000, ab76302, Abcam), and GAPDH (1:1000, 60004-1-Ig, Proteintech). Protein expression was detected using an enhanced chemiluminescence (ECL) chemiluminescence system, and grayscale intensity was analyzed using the ImageJ software.

      Statistical analyses were performed using GraphPad Prism version 9. Comparisons between the groups were performed using t-tests, one-way analysis of variance (ANOVA) , and Tukey’s multiple comparison tests. Statistical significance was set at P < 0.05.

    • Figure 1 illustrates the participant selection process; 545 patients diagnosed with hepatic coma were included. Of these, 333 were male and 212 were female. Upon a 28-day follow-up, 356 patients (65.32%) survived and 189 patients (34.68%) died. Upon 1-year follow-up, 245 patients (44.95%) survived and 300 (55.05%) died. Tables 1 and 2 display the clinical characteristics of survivors and non-survivors during the 28-day and 1-year follow-ups, respectively. During both follow-up periods, the non-survivor group exhibited lower serum chloride concentrations and higher BUN, creatinine, lactate, Tbil, and INR levels than the survivor group. A higher proportion of patients in the non-survivor group received CRRT and IMV, although the difference in IMV use was not statistically significant (P > 0.05). Comorbidity analysis indicated a significantly higher prevalence of AKI, respiratory failure, and sepsis among non-survivors at both follow-up intervals (all P > 0.05).

      Figure 1.  Patient selection process. MIMIC, Medical Information Mart for Intensive Care; ICU, intensive care unit.

      Table 1.  Comparisons of the baseline characteristics at the 28-day follow-up

      Variables Survivors Non-survivors P-value
      N 356 189
      Age, years 57.11 (12.80) 59.33 (14.52) 0.067
      Albumin, g/dL 3.08 (0.73) 2.95 (0.72) 0.063
      ALT*, U/L 34.00 [22.00, 101.00] 51.00 [31.00, 240.00] 0.001
      AST*, U/L 72.00 [43.00, 191.00] 128.00 [64.50, 392.50] < 0.001
      BUN*, mg/dL 27.00 [15.00, 47.75] 37.00 [20.75, 57.00] < 0.001
      Calcium, mmol/L 8.29 (1.20) 8.22 (1.05) 0.520
      Chloride, mmol/L 104.16 (7.20) 101.05 (9.33) < 0.001
      Creatinine*, mg/dL 1.20 [0.70, 2.10] 1.70 [1.00, 2.60] 0.001
      DBP, mmHg 66.93 (18.17) 65.95 (18.93) 0.556
      Glucose*, mg/dL 122.00 [100.00, 158.00] 116.00 [91.50, 151.00] 0.065
      Hematocrit (%) 29.09 (5.96) 29.80 (6.93) 0.213
      Hemoglobin, g/dL 9.71 (2.04) 9.87 (2.24) 0.403
      HR, number/min 92.45 (19.54) 95.64 (22.36) 0.085
      INR* 1.70 [1.40, 2.20] 2.10 [1.70, 2.80] < 0.001
      Lactate*, mmol/L 2.30 [1.50, 3.60] 2.90 [2.00, 4.85] < 0.001
      Platelet*, K/μL 112.00 [64.50, 165.00] 104.00 [66.00, 183.00] 0.909
      Potassium, mmol/L 4.15 (0.82) 4.32 (0.90) 0.027
      PT*, seconds 18.70 [15.80, 23.42] 22.20 [18.40, 29.50] < 0.001
      PTT*, seconds 38.90 [32.82, 48.18] 45.50 [36.35, 57.55] < 0.001
      RR*, number/min 19.00 [16.00, 23.00] 20.00 [16.00, 23.00] 0.130
      SBP, mmHg 120.19 (23.02) 118.29 (23.28) 0.362
      LDH*, U/L 280.50 [208.50, 458.75] 388.50 [246.75, 733.75] < 0.001
      Sodium, mmol/L 137.10 (6.09) 135.93 (8.22) 0.061
      SpO2,% 97.32 (3.52) 96.59 (3.35) 0.019
      Tbil*, umol/L 3.90 [1.70, 9.05] 5.90 [2.30, 16.90] 0.001
      WBC*, k/μL 8.80 [5.70, 13.00] 11.40 [7.30, 17.50] < 0.001
      MAP*, mmHg 78.00 [69.00, 90.50] 75.50 [65.00, 88.00] 0.116
      Temperature, °C 36.72 (0.78) 36.53 (0.95) 0.016
      SOFA*, scores 8.00 [6.00, 10.25] 10.00 [8.00, 13.00] < 0.001
      Magnesium, mmol/L 2.01 (0.47) 2.14 (0.48) 0.002
      Sex 0.042
      Female 150 (42.1) 62 (32.8)
      Male 206 (57.9) 127 (67.2)
      CRRT (%) 44 (12.4) 36 (19.0) 0.049
      IMV (%) 216 (60.7) 126 (66.7) 0.199
      AF (%) 62 (17.4) 35 (18.5) 0.839
      AKI (%) 199 (55.9) 149 (78.8) < 0.001
      CKD (%) 55 (15.4) 23 (12.2) 0.362
      HF (%) 50 (14.0) 27 (14.3) > 0.999
      RF 128 (36.0) 104 (55.0) < 0.001
      Sepsis 78 (21.9) 85 (45.0) < 0.001
        Note. *Mann-Whitney U test. Categorical variables are presented as n (%); Continuous variables are expressed as means ± standard deviations for normally distributed data or medians [interquartile ranges] for non-normally distributed data; ALT, alanine aminotransferase; AST, aspartate aminotransferase; BUN, blood urea nitrogen; DBP, diastolic blood pressure; HR, heart rate; INR, international normalized ratio; PT, prothrombin time; PTT, partial thromboplastin time; RR, respiratory rate; SBP, systolic blood pressure; LDH, lactate dehydrogenase; SpO2, peripheral oxygen saturation; Tbil, total bilirubin; WBC, white blood cells; MAP, mean arterial pressure; SOFA, sequential organ failure assessment; CRRT, continuous renal replacement therapy; IMV, invasive mechanical ventilation; AF, atrial fibrillation; AKI, acute kidney injury; CKD, chronic kidney disease; HF, heart failure; RF, respiratory failure.

      Table 2.  Comparisons of the baseline characteristics at the 1-year follow-up

      Variables Survivors Non-survivors P-value
      N 245 300
      Age, years 55.34 (12.48) 59.95 (13.87) < 0.001
      Albumin, g/dL 3.04 (0.65) 3.02 (0.79) 0.735
      ALT*, U/L 39.00 [23.00, 146.00] 42.00 [24.00, 105.00] 0.842
      AST*, U/L 79.00 [45.00, 299.00] 94.00 [50.00, 235.00] 0.470
      BUN*, mg/dL 24.50 [14.00, 47.00] 35.00 [19.25, 53.00] < 0.001
      Calcium, mmol/L 8.18 (1.25) 8.34 (1.06) 0.112
      Chloride, mmol/L 104.30 (7.20) 102.09 (8.70) 0.002
      Creatinine*, mg/dL 1.10 [0.70, 2.00] 1.60 [1.00, 2.50] < 0.001
      DBP, mmol/L 67.56 (18.57) 65.79 (18.30) 0.266
      Glucose*, mg/dL 123.50 [100.00, 162.00] 118.00 [94.00, 150.00] 0.125
      Hematocrit (%) 29.55 (6.01) 29.17 (6.56) 0.489
      Hemoglobin, g/dL 9.89 (2.07) 9.67 (2.14) 0.224
      HR, number/min 92.66 (19.19) 94.29 (21.68) 0.358
      INR* 1.70 [1.40, 2.30] 1.90 [1.60, 2.50] 0.009
      Lactate*, mmol/L 2.30 [1.50, 3.70] 2.70 [1.90, 4.50] 0.003
      Platelet*, k/μL 118.50 [65.00, 173.00] 102.00 [64.75, 166.50] 0.239
      Potassium, mmol/L 4.15 (0.86) 4.25 (0.85) 0.152
      PT*, seconds 18.70 [16.15, 24.45] 20.65 [17.28, 26.60] 0.012
      PTT*, seconds 38.40 [32.60, 48.80] 43.80 [35.32, 54.45] 0.001
      RR*, number/min 19.00 [16.00, 23.00] 19.00 [16.00, 23.00] 0.459
      SBP, mmol/L 119.91 (21.93) 119.23 (24.07) 0.735
      LDH*, U/L 285.50 [213.25, 529.00] 347.00 [230.25, 540.75] 0.276
      Sodium, mmol/L 137.16 (6.04) 136.31 (7.55) 0.152
      SpO2, % 97.40 (3.29) 96.79 (3.60) 0.041
      Tbil*, umol/L 3.50 [1.70, 8.00] 5.20 [2.20, 13.20] < 0.001
      WBC*, k/μL 9.25 [6.10, 13.20] 9.90 [6.40, 15.53] 0.089
      MAP*, mmHg 78.00 [69.00, 92.00] 76.00 [66.00, 88.00] 0.083
      Temperature, °C 36.77 (0.81) 36.56 (0.86) 0.006
      SOFA*, scores 8.00 [6.00, 11.00] 9.00 [7.00, 12.00] < 0.001
      Magnesium, mmol/L 2.02 (0.49) 2.09 (0.46) 0.083
      Sex 0.204
      Female 103 (42.0) 109 (36.3)
      Male 142 (58.0) 191 (63.7)
      CRRT (%) 27 (11.0) 53 (17.7) 0.039
      IMV (%) 158 (64.5) 184 (61.3) 0.503
      AF (%) 38 (15.5) 59 (19.7) 0.250
      AKI (%) 126 (51.4) 222 (74.0) < 0.001
      CKD (%) 28 (11.4) 50 (16.7) 0.107
      HF (%) 32 (13.1) 45 (15.0) 0.601
      RF (%) 91 (37.1) 141 (47.0) 0.026
      Sepsis (%) 43 (17.6) 120 (40.0) < 0.001
        Note. *Mann-Whitney U test. Categorical variables are presented asn(%); Continuous variables are expressed as means ± standard deviations for normally distributed data or medians [interquartile ranges] for non-normally distributed data; ALT, alanine aminotransferase; AST, aspartate aminotransferase; BUN, blood urea nitrogen; DBP, diastolic blood pressure; HR, heart rate; INR, international normalized ratio; PT, prothrombin time; PTT, partial thromboplastin time; RR, respiratory rate; SBP, systolic blood pressure; LDH, lactate dehydrogenase; SpO2, peripheral oxygen saturation; Tbil, total bilirubin; WBC, white blood cells; MAP, mean arterial pressure; SOFA, sequential organ failure assessment; CRRT, continuous renal replacement therapy; IMV, invasive mechanical ventilation; AF, atrial fibrillation; AKI, acute kidney injury; CKD, chronic kidney disease; HF, heart failure; RF, respiratory failure.
    • The RCS analysis revealed a significant U-shaped association between serum chloride levels and mortality, with inflection points at 103 and 113 mmol/L (Figure 2). Based on these thresholds, the patients were stratified into three groups: low chloride (< 103 mmol/L, n = 269), moderate chloride (103–113 mmol/L, n = 232), and high chloride (> 113 mmol/L, n = 44) levels. Both the low- and high-chloride groups showed elevated mortality risks (HR > 1), with KM curves confirming significantly worse 28-day and 1-year survival compared to the moderate group (P < 0.05; Figure 3A–B).

      Figure 2.  Association between chloride levels and hazard ratio of 28-day (A) and 1-year (B) all-cause mortality. HR, hazard ratio; CI, confidence interval.

      Figure 3.  Kaplan-Meier survival curves of patients with hepatic coma with moderate (yellow, chloride 103–103 mmol/L ), high (red, chloride > 113 mmol/L ), and low (blue, chloride < 103 mmol/L) chloride levels at 28-day (A) and 1-Year (B) follow-up.

      Univariate and multivariate Cox regression analyses were also performed (Table 3). Univariate analysis revealed that the low chloride group was significantly associated with increased 28-day (unadjusted HR, 1.615; 95% CI, 1.188–2.195) and 1-year all-cause mortality (unadjusted HR, 1.482; 95% CI, 1.164–1.887) in patients with hepatic coma. After adjusting for age and sex, the association remained significant for both 28-day (adjusted HR, 1.624; 95% CI, 1.194–2.209) and 1-year all-cause mortality (adjusted HR, 1.509; 95% CI, 1.185–1.921). Further adjustment for age, sex, SOFA score, CRRT, IMV, AKI, RF, and sepsis did not alter this trend, and the low chloride group remained significantly associated with higher 28-day (adjusted HR, 1.424; 95% CI, 1.041–1.949) and 1-year all-cause mortality (adjusted HR, 1.313; 95% CI, 1.026–1.679). In contrast, the high chloride group showed no significant association with mortality in either the univariate or multivariate analyses (P > 0.05).

      Table 3.  Findings of the univariate and multivariable analyses

      Chloride Model 1 Model 2 Model 3
      HR, 95% CI P-value HR, 95% CI P-value HR, 95% CI P-value
      28-day death
      Continuous 0.964 (0.948, 0.981) < 0.001 0.962 (0.946, 0.979) < 0.001 0.964 (0.948, 0.982) < 0.001
      Categorical
      Moderate Reference Reference Reference Reference Reference Reference
      High 1.052 (0.580, 1.911) 0.866 1.126 (0.619, 2.049) 0.697 0.867 (0.471, 1.594) 0.646
      Low 1.615 (1.188, 2.195) 0.002 1.624 (1.194, 2.209) 0.002 1.424 (1.041, 1.949) 0.027
      1-year death
      Continuous 0.973 (0.959, 0.987) < 0.001 0.970 (0.956, 0.984) < 0.001 0.974 (0.960, 0.989) 0.001
      Categorical
      Moderate Reference Reference Reference Reference Reference Reference
      High 1.246 (0.807, 1.923) 0.321 1.335 (0.863, 2.065) 0.195 1.071 (0.686, 1.672) 0.764
      Low 1.482 (1.164, 1.887) 0.001 1.509 (1.185, 1.921) 0.001 1.313 (1.026, 1.679) 0.031
      External 28-day death
      Non-Low Reference Reference Reference Reference Reference Reference
      Low 2.673 (1.085, 6.560) 0.032 2.626 (1.044, 6.603) 0.040 4.311 (1.495, 12.432) 0.007
        Note. HR, hazard ratio; CI, confidence interval. Model 1: Unadjusted. Model 2: Adjusted for sex and age. Model 3: Adjusted for sex, age, SOFA score, CRRT, IMV, AKI, RF, and sepsis.
    • Based on these findings, we stratified the patients into two distinct groups: a low-chloride group and a combined non-low-chloride group (incorporating both moderate- and high-chloride categories). To further investigate these associations, we performed comprehensive interaction tests and subgroup analyses to examine the potential effect modifications and differential associations across clinically relevant patient subgroups.

      Our analysis revealed significant interaction effects between chloride levels and demographic factors (Figure 4). During the 28-day follow-up, we observed a notable age-dependent interaction (P interaction = 0.039), where patients aged ≤ 65 years with non-low chloride levels exhibited a significantly reduced mortality risk (HR, 0.62; 95% CI, 0.47–0.83; P < 0.001). A similar sex-based interaction was observed (P interaction = 0.039), with female patients showing a strong inverse association between chloride levels and 28-day mortality (HR, 0.51; 95% CI, 0.35–0.73; P < 0.001). These patterns persisted at 1-year follow-up (Figure 5), with an even more pronounced sex-based interaction (P interaction = 0.009). While female patients continued to show a protective association of non-low chloride levels (HR, 0.56; 95% CI, 0.42–0.75; P < 0.001), no significant association was found among male patients (HR, 1.04; 95% CI, 0.72–1.52; P = 0.823), highlighting a striking sex-based difference in the prognostic value of serum chloride.

      Figure 4.  Subgroup analysis of patients with hepatic coma for 28-day mortality rates. HR, hazard ratio; CI, confidence interval; SOFA, Sequential Organ Failure Assessment; CRRT, continuous renal replacement therapy; IMV, invasive mechanical ventilation; AKI, acute kidney injury; RF, respiratory failure.

      Figure 5.  Subgroup analysis of patients with hepatic coma for 1-year mortality rates. HR, hazard ratio; CI, confidence interval; SOFA, Sequential Organ Failure Assessment; CRRT, continuous renal replacement therapy; IMV, invasive mechanical ventilation; AKI, acute kidney injury; RF, respiratory failure.

    • The validation cohort comprised 68 patients. In addition to chloride levels, data were collected on sex, age, SOFA score, CRRT, IMV, and comorbidities, including AKI, RF, and sepsis. The baseline characteristics are presented in Table 4. The cohort included 46 survivors (67.6%) and 22 non-survivors (32.4%). Notably, non-survivors had significantly lower serum chloride levels (100.18 ± 5.76 mmol/L vs. 105.93 ± 6.35 mmol/L in survivors, P = 0.001) and higher disease severity as reflected by SOFA scores (10.00 [7.25–14.00] vs. 7.50 [5.00–10.00], respectively; P = 0.004). However, no significant differences were found between the groups regarding age, sex, IMV, CRRT, or distribution of comorbidities (AKI, RF, or sepsis) (P > 0.05). The KM curve (Figure 6) demonstrated significantly worse survival rates in the hypochloremia group (log-rank P = 0.026). Cox regression models consistently showed an increased mortality risk in the low chloride group across all three models (Model 1–3), with HRs consistently exceeding 1 (Table 3).

      Table 4.  Comparisons of the baseline characteristics at the 28-day follow-up of the external cohort

      Variables Survivors Non-survivors P-value
      N 46 22
      Age, years 59.13 ± 13.78 62.09 ± 10.19 0.374
      Chloride, mmol/L 105.93 (6.35) 100.18 (5.76) 0.001
      SOFA, scorces 7.50 [5.00, 10.00] 10.00 [7.25, 14.00] 0.004
      Sex > 0.999
      Female 20 (43.5) 9 (40.9)
      Male 26 (56.5) 13 (59.1)
      CRRT 6 (13.0) 1 ( 4.5) 0.514
      IMV 13 (28.3) 12 (54.5) 0.067
      AKI 17 (37.0) 14 (63.6) 0.071
      RF 24 (52.2) 10 (45.5) 0.795
      Sepsis 13 (28.3) 6 (27.3) > 0.999
        Note. SOFA, sequential organ failure assessment; CRRT, continuous renal replacement therapy; IMV, invasive mechanical ventilation; AKI, acute kidney injury; RF, respiratory failure.

      Figure 6.  Kaplan-Meier survival curves of patients with hepatic coma with low (red, chloride < 103 mmol/L) and non-low chloride (blue, chloride ≥ 103 mmol/L) levels at the 28-Day follow-Up.

    • The results of the cellular experiments (Figure 7) showed that neuronal cell viability was significantly reduced in the group with a 20% reduction in chloride concentration compared to that in the standard medium (P < 0.001). This group also exhibited markedly increased phosphorylation of NF-κB (P < 0.001) and elevated mRNA levels of pro-inflammatory cytokines TNF-α, IL-1β, and IL-6 (P < 0.001). These findings suggest that low chloride levels may activate NF-κB pathway phosphorylation, promote the expression of pro-inflammatory cytokines, and reduce neuronal cell viability.

      Figure 7.  Effects of low-chloride environment on cell viability and the NF-κB inflammatory pathway. (A) Effects of culture media containing different chloride ion concentrations on neuronal cell viability. (B) Expression of p-NF-κB protein in mouse neurons cultured in a medium containing 20% reduced chloride ions. (C) Comparison of TNF-α mRNA expression between the low-chloride group and the normal group. (D) Comparison of IL-1β mRNA expression between the low-chloride and normal groups. (E) Comparison of IL-6 mRNA expression between the low-chloride and normal groups.

    • This study represents the first investigation of the correlation between serum chloride levels and both short- and long-term all-cause mortality in patients in the ICU diagnosed with hepatic coma. The primary finding of this study was that diminished serum chloride levels served as a significant and independent predictor of increased 28-day and 1-year all-cause mortality in patients with hepatic coma. Notably, this association remained consistent even after controlling for other variables. The findings of this study provide a simple and effective biomarker for accurately assessing short- and long-term prognoses of hepatic coma. In addition, the cell experiments further validated the potential mechanism by which a low chloride concentration affects neuronal cells, providing evidence for the impact of hypochloremia on the prognosis of patients with HE.

      In the RCS curve, there is a "U"-shaped correlation between serum chloride levels and 28-day and 1-year all-cause mortality in patients with hepatic coma. Specifically, the lowest mortality was observed when the chloride ion concentration was within the range of 103–113 mmol/L. The KM survival curve demonstrated that patients in the low-chloride group had the highest risk of mortality, while those in the high-chloride group had a higher mortality risk than those in the moderate-chloride group. This finding was further supported by Cox regression analysis, which indicated that patients in the low-chloride group had significantly higher overall mortality than those in the moderate- and high-chloride groups. Subgroup analysis confirmed this finding. In summary, this study underscores the utility of serum chloride levels in risk stratification and identification of high-risk patients with hepatic coma, thereby providing valuable insights for the clinical management of these patients.

      Most studies have focused on the prognosis of patients with cirrhosis or HE. Only few research articles have specifically addressed the prognostic prediction in patients with hepatic coma[15-17]. It is important to note that hepatic coma can arise from causes other than liver cirrhosis and represent the most severe manifestation of HE. Consequently, the prognosis of patients with hepatic coma is particularly concerning compared with that of those with mild HE. Therefore, it is important to conduct prognostic assessments that are specifically tailored for patients with hepatic coma. We carefully collected comprehensive and detailed baseline data, including demographic information, vital signs, laboratory tests, disease severity scores, and treatment approaches. To ensure the reliability of our findings, we used multivariate Cox regression and subgroup analyses to account for these variables. We have comprehensively and robustly confirmed the prognostic value of low serum chloride levels in patients with hepatic coma.

      HE is a neuropsychiatric syndrome resulting from hepatic insufficiency or portosystemic shunting, and is one of the most severe complications of decompensated cirrhosis. Clinically, HE presents with a spectrum of neurological disturbances ranging from subtle cognitive impairments to profound coma. The underlying pathophysiology is multifactorial, with hyperammonemia serving as the principal pathogenic mechanism. Additional contributing factors include oxidative stress[18,19] and systemic inflammation[20], which collectively exacerbate neuronal dysfunction. Most toxic metabolic products are typically produced in the intestines, and before being detoxified and cleared by the liver, enter the systemic circulation through collateral pathways, subsequently crossing the blood-brain barrier and leading to brain dysfunction[20]. Serum chloride levels are closely associated with various neurological disorders[21]. Chloride plays a vital role in the physiological functions of the central nervous system (CNS)[22]. Changes in serum chloride levels have been considered as potential targets for the treatment of various neurological diseases[23]. Previous studies have shown that hyperchloremia can predict early mortality in severe traumatic brain injury[24]. Hyperchloremia often occurs in more severe cases and is independently associated with death or disability within 90 days. Avoiding hyperchloremia may reduce mortality or disability observed in patients with cerebral hemorrhage[25]. However, some studies have reported that hyponatremia during hospitalization is associated with in-hospital mortality in patients with acute stroke[26]. Hyponatremia may be an important prognostic factor for determining the risk of death in patients with severe traumatic brain injury[27]. In our study, we found that lower serum chloride ion levels were associated with a poor prognosis in patients with hepatic coma. Although there are inconsistencies in the research results regarding chloride levels and the prognosis of neurological diseases, targeted interventions to normalize serum chloride levels may be a potential approach to improve the prognosis of severe neurological disorders.

      Multiple studies have indicated a close association between the changes in serum chloride levels and adverse outcomes in various diseases, including liver cirrhosis. Several studies have assessed the prognostic significance of serum chloride levels in patients with liver cirrhosis. Sumarsono et al. found that serum chloride levels were independently and negatively correlated with the 180-day mortality in patients with decompensated cirrhosis in the ICU[28]. Yun et al. found that ICU mortality was higher in patients with hypochloremia than in those without. They also observed that serum chloride levels were independently correlated with ICU mortality in patients with severe liver cirrhosis[29]. In addition, one study found an association between low serum chloride levels and long-term mortality in patients with advanced chronic liver disease. Low serum chloride levels were also associated with ICU mortality[30]. However, to date, no study has evaluated the significance of serum chloride level as a prognostic indicator in patients with hepatic coma.

      Serum chloride levels are often overlooked; however, chloride is the second most abundant electrolyte in the serum after sodium. It plays a crucial role in regulating the fluid and electrolyte balance, maintaining electrical neutrality, and managing the acid-base status. Abnormal chloride levels on serum electrolyte evaluations often indicate severe underlying metabolic disturbances such as metabolic acidosis or alkalosis[6]. Chloride levels have several advantages as a prognostic biomarker. First, chloride can be conveniently and rapidly measured in most hospitals, offering the benefits of timeliness and low cost. Second, as mentioned earlier, serum chloride levels can serve as an independent prognostic factor in patients with liver cirrhosis[31-33]. Additionally, patients with HE often experience electrolyte imbalances. Hence, there is a theoretical basis for using serum chloride levels as a predictor of prognosis in patients with hepatic coma. This study also demonstrated the role of low chloride levels in predicting 28-day and 1-year all-cause mortality in patients with hepatic coma.

      In addition, we explored the regulatory effects of chloride ion concentrations on neuronal activity and inflammatory responses using in vitro experiments. The results demonstrated that reducing the chloride concentration in the culture medium significantly suppressed neuronal viability, accompanied by activation of the NF-κB signaling pathway and upregulation of pro-inflammatory cytokines (TNF-α, IL-1β, IL-6). These findings provide new experimental evidence for understanding the potential role of chloride ions in HE. They further confirm that chloride deficiency may aggravate neuronal injury by activating inflammatory pathways that are closely related to the pathogenesis of neurological dysfunction in HE. Moreover, activation of the NF-κB signaling pathway may be a key mechanism through which chloride ions regulate inflammation. NF-κB is a central transcription factor in the inflammatory response, and its phosphorylation promotes the transcription of pro-inflammatory cytokines such as TNF-α and IL-1β[34]. However, the specific underlying mechanisms require further investigation.

      Although our study confirmed that low chloride levels can serve as an effective prognostic factor in clinical practice, we must acknowledge certain limitations. First, this was a retrospective analysis of an observational study; thus, causal relationships could not be definitively established. However, careful, multifaceted, and rigorous statistical methods were employed to obtain valid and reliable results. Further research is required to determine whether interventions targeting chloride levels have a positive impact on clinical outcomes. Second, the data for validation was sourced from a single-center database, and further validation is required to determine its applicability to other settings. Finally, the more mechanism linking elevated serum chloride levels to increased mortality in hepatic coma patients requires further exploration.

    • Chloride levels are independently associated with mortality in patients with hepatic coma in the ICU. Patients with low chloride levels (< 103 mmol/L) had higher 28-day and 1-year all-cause mortality rates than those with high chloride levels. Our findings may provide a rationale for future studies, including targeted interventions to avoid low serum chloride levels and improve outcomes in patients with hepatic coma.

参考文献 (34)

目录

    /

    返回文章
    返回