2025 Vol. 38, No. 5

Select articles
Cover
2025-5 Cover
2025, 38(5)
2025-5 Contents
2025, 38(5): 1-2.
Building China’s Burden of Disease Research System: Priorities and Pathways
Peng Yin, Maigeng Zhou
2025, 38(5): 527-528. doi: 10.3967/bes2025.055
The Disease Burden of Asthma in China, 1990 to 2021 and Projections to 2050: Based on the Global Burden of Disease 2021
Ruiyi Zhang, Miaomiao Zhang, Yuchang Zhou, Jiahuan Guo, Xuankai Wang, Maigeng Zhou
2025, 38(5): 529-538. doi: 10.3967/bes2025.042
  Objective  Asthma imposes a significant global health burden. This study examines changes in the asthma-related disease burden from 1990 to 2021 and projects future burdens for 2050 under different scenarios.  Methods  Using data from the Global Burden of Disease 2021 study, we analyzed asthma incidence, prevalence, mortality, and disability-adjusted life years (DALYs) from 1990 to 2021. We projected the disease burden for 2050 based on current trends and hypothetical scenarios in which all risk factors are controlled. Temporal trends in age-standardized incidence, prevalence, mortality, and DALY rates were explored using Annual Percent Change.  Results  In 2021, the age-standardized rates for asthma incidence, prevalence, mortality, and DALYs in China were 364.17 per 100,000 (95% uncertainty interval [UI]: 283.22–494.10), 1,956.49 per 100,000 (95% UI: 1,566.68–2,491.87), 1.47 per 100,000 (95% UI: 1.15–1.79), and 103.76 per 100,000 (95% UI: 72.50–145.46), respectively. A higher disease burden was observed among Chinese men and individuals aged 70 years or older. Compared to the current trend, a combined scenario involving improvements in environmental factors, behavioral and metabolic health, child nutrition, and vaccination resulted in a greater reduction in the disease burden caused by asthma.  Conclusion  Addressing modifiable risk factors is essential for further reducing the asthma-related disease burden.
Forecast of the Burden of Lower Respiratory Infections in the Elderly Aged 70 and above in China from 1990 to 2050, GBD2021
Miaomiao Zhang, Ruiyi Zhang, Yuchang Zhou, Maigeng Zhou
2025, 38(5): 539-546. doi: 10.3967/bes2025.036
  Objective  This study aims to analyze the burden of lower respiratory infections in Chinese elderly people aged 70 and above.  Methods  This study utilized Global Burden of Disease (GBD) 1990–2050 prediction data to analyze changes in mortality rates and disability-adjusted life year (DALY) rates for lower respiratory infections in the elderly population (aged 70 and above) in China from 1990 to 2050. It also discusses future trends in the burden of lower respiratory infections (LRI) in China under different scenarios.  Results  According to GBD predictions, the burden of lower respiratory infections in the elderly aged 70 years and above in China is lower than the global average. The burden has been decreasing from 1990 to 2020, but is projected to increase from 2020 to 2050. Scenario-based predictions suggest that, under scenarios involving improvements in nutrition and vaccination, the burden of lower respiratory infections in the elderly in China is expected to be the lowest in 2050.  Conclusion  This study indicates that the burden of lower respiratory infections in elderly people aged 70 years and above in China remains a significant public health issue and may worsen. The government should consider strengthening the preventive measures and management strategies for respiratory infections in the elderly population.
Burden of Headache Disorders in China and its Provinces, 1990–2021
Zhe Liu, Xuehua Hu, Lin Yang, Jinlei Qi, Jiangmei Liu, Lijun Wang, Maigeng Zhou, Peng Yin
2025, 38(5): 547-556. doi: 10.3967/bes2025.019
  Objective  To analyze the prevalence and burden of headache disorders in China and its provinces from 1990 to 2021.  Methods  Using data from the Global Burden of Disease Study (GBD) 2021, the number of prevalent cases, prevalence rate, disability-adjusted life years (DALYs), and age-standardized DALY rates were analyzed by sex, age group, and province for headache disorders and their subtypes (migraine and tension-type headache [TTH]) between 1990 and 2021. Percentage changes during this period were also estimated.  Results  In 2021, approximately 426 million individuals in China were affected by headache disorders, with an age-standardized prevalence rate of 27,582.61/100,000. The age-standardized DALY rate for all headache disorders was 487.15/100,000. Between 1990 and 2021, the number of prevalent cases increased by 37.78%, while the prevalence of all headache disorders, migraine, and TTH increased by 6.92%, 7.57%, and 7.86%, respectively. The highest prevalence was observed in the 30–34 age group (39,520.60/100,000). Migraine accounted for a larger proportion of DALYs attributable to headache disorders, whereas TTH has a greater impact on its prevalence. In 2021, the highest age-standardized DALY rates for headache disorders were observed in Heilongjiang (617.85/100,000) and Shanghai (542.86/100,000).  Conclusion  The prevalence of headache disorders is increasing in China. Effective health education, improve diagnosis and treatment are essential, particularly for middle-aged working populations and women of childbearing age.
Disease Burden and Trends of COPD in the Asia-Pacific Region (1990–2019) and Predictions to 2034
Jing Ma, Hong Mi
2025, 38(5): 557-570. doi: 10.3967/bes2025.040
  Objective  The Asia-Pacific region has a high chronic obstructive pulmonary disease (COPD) burden, but studies on its trends are limited. Using the Global Burden of Disease (GBD) 2019 data, we analyzed COPD trends in 36 countries and territories from 1990 to 2019 and predicted future incidence trends through 2034.  Methods  COPD data by age and sex from the GBD 2019 database were analyzed for incidence, prevalence, mortality, and disability-adjusted life years (DALY) rates from 1990 to 2019. Joinpoint regression identified significant annual trends, and age-standardized incidence rates were predicted through 2034 using age–period–cohort models.  Results  The incidence, prevalence, mortality, and disease burden of COPD have been decreasing, and the incidence rates will continue to decrease or remain stable until 2034 in most selected countries and territories, except for a few Southeastern Asian countries. The Lao People’s Democratic Republic and Vietnam are projected to experience an increase in COPD incidence from 165.3 per 100,000 in 2019 to 177 per 100,000 in 2034 and from 179.9 per 100,000 in 2019 to 192.5 per 100,000 in 2034, respectively. Older males had a higher incidence than any other sex or age group. The sex gap in incidence rates continues to widen, though it is smaller and less significant in the younger age group than in those in the older one.  Conclusion  COPD rates are expected to decline until 2034 but remain a health risk, especially in countries with rising rates. Urgent action on tobacco control, air pollution, and public education is needed.
Changes in Esophageal Cancer Survival: A Global Review of Survival Analysis from Cancer Registration Data over the Past Three Decades
Zhuojun Ye, Danni Yang, Yu Jiang, Yuxuan Xiao, Zhuoying Li, Yuting Tan, Huiyun Yuan, Yongbing Xiang
2025, 38(5): 571-584. doi: 10.3967/bes2025.018
  Objective  To describe survival trends and global patterns of esophageal cancer (EC) using survival data from population-based cancer registries.  Methods  We systematically searched PubMed, EMBASE, Web of Science, SEER, and SinoMed databases for articles published up to 31 December 2023. Eligible EC survival estimates were evaluated according to country or region, period, sex, age group, pathology, and disease stage.  Results  After 2010, Jordan exhibited the highest age-standardized 5-year relative survival rates (RSRs)/net survival rates (NSRs) at 41.1% between 2010 and 2014, while India had the lowest, at 4.1%. Survival rates generally improved with diagnostic age across most countries, with significant increases in South Korea and China, of 12.7% and 10.5% between 2000 and 2017, respectively. Survival was higher among women compared to men, ranging from 0.4%–10.9%. Survival rates for adenocarcinoma and squamous cell carcinoma were similar, differing by about 4%. In China, the highest age-standardized RSRs/NSRs was 33.4% between 2015 and 2017. Meanwhile, the lowest was 5.3%, in Qidong (Jiangsu province) between 1992–1996.  Conclusion  Global EC survival rates have improved significantly in recent decades, but substantial geographical, sex, and age disparities still exist. In Asia, squamous cell carcinoma demonstrated superior survival rates compared to adenocarcinoma, while the opposite trend was observed in Western countries. Future research should clarify the prognostic factors influencing EC survival and tailor prevention and screening strategies to the changing EC survival patterns.
Identifying High-Risk Areas for Type 2 Diabetes Mellitus Mortality in Guangdong, China: Spatiotemporal Clustering and Socioenvironmental Determinants
Haiming Luo, Wenbiao Hu, Yanjun Xu, Xueyan Zheng, Qun He, Lu Lyu, Ruilin Meng, Xiaojun Xu, Fei Zou
2025, 38(5): 585-597. doi: 10.3967/bes2025.048
  Objective   This study aimed to identify high-risk areas for type 2 diabetes mellitus (T2DM) mortality to provide relevant evidence for interventions in emerging economies.  Methods   Empirical Bayesian Kriging and a discrete Poisson space-time scan statistic were applied to identify the spatiotemporal clusters of T2DM mortality. The relationships between economic factors, air pollutants, and the mortality risk of T2DM were assessed using regression analysis and the Poisson Log-linear Model.  Results   A coastal district in East Guangdong, China, had the highest risk (Relative Risk [RR] = 4.58, P < 0.01), followed by the 10 coastal districts/counties in West Guangdong, China (RR = 2.88, P < 0.01). The coastal county in the Pearl River Delta, China (RR = 2.24, P < 0.01), had the third-highest risk. The remaining risk areas were two coastal counties in East Guangdong, 16 districts/counties in the Pearl River Delta, and two counties in North Guangdong, China. Mortality due to T2DM was associated with gross domestic product per capita (GDP per capita). In pilot assessments, T2DM mortality was significantly associated with carbon monoxide.  Conclusion   High mortality from T2DM occurred in the coastal areas of East and West Guangdong, especially where the economy was progressing towards the upper middle-income level.
Lumbar Spondylolysis in Chinese Adults: Prevalence and Musculoskeletal Conditions
Dong Yan, Yandong Liu, Ling Wang, Kai Li, Wenshuang Zhang, Yi Yuan, Jian Geng, Kangkang Ma, Fengyun Zhou, Zitong Cheng, Xiaoguang Cheng
2025, 38(5): 598-606. doi: 10.3967/bes2025.043
  Objective   To determine the prevalence of lumbar spondylolysis (LS) and the proportion of spondylolytic spondylolisthesis (SS) in China, and to evaluate the musculoskeletal status of patients with LS and SS.  Methods   Spine Computed Tomography (CT) images were collected from community populations aged 40 and above in a nationwide multi-center project. LS was diagnosed, and SS was graded by an experienced radiologist. Bone mineral density (BMD) and paraspinal muscle parameters were quantified based on CT images.  Results   One hundred and seventeen patients of a total of 3,317 individuals were diagnosed with LS, corresponding to a prevalence rate of 3.53%. 63 of the 1,214 males (5.18%) and 54 of the 2,103 females (2.57%) were diagnosed with LS. SS occurred in 64/121 vertebrae (52.89%). BMD was not associated with LS (P = 0.341). The L5 extensor paraspinal muscle density was higher in the LS group than in the non-LS group. In the LS group, patients with SS had a smaller L5 paraspinal extensor muscle cross-sectional area than those without SS (P = 0.003).  Conclusion   The prevalence of LS in Chinese adults was 3.53%, with prevalence rates of 5.18% in males and 2.57% in females. Patients with LS have higher muscle density, whereas those with SS have smaller muscle cross-sectional areas at the L5 level.
Synaptic Vesicle Glycoprotein 2A Slows down Amyloidogenic Processing of Amyloid Precursor Protein via Regulating Its Intracellular Trafficking
Qian Zhang, Xiaoling Wang, Yuli Hou, Jingjing Zhang, Congcong Liu, Xiaomin Zhang, Yaqi Wang, Yujian Fan, Junting Liu, Jing Liu, Qiao Song, Peichang Wang
2025, 38(5): 607-624. doi: 10.3967/bes2025.049
  Objective  To reveal the effects and potential mechanisms by which synaptic vesicle glycoprotein 2A (SV2A) influences the distribution of amyloid precursor protein (APP) in the trans-Golgi network (TGN), endolysosomal system, and cell membranes and to reveal the effects of SV2A on APP amyloid degradation.  Methods  Colocalization analysis of APP with specific tagged proteins in the TGN, ensolysosomal system, and cell membrane was performed to explore the effects of SV2A on the intracellular transport of APP. APP, β-site amyloid precursor protein cleaving enzyme 1 (BACE1) expressions, and APP cleavage products levels were investigated to observe the effects of SV2A on APP amyloidogenic processing.  Results  APP localization was reduced in the TGN, early endosomes, late endosomes, and lysosomes, whereas it was increased in the recycling endosomes and cell membrane of SV2A-overexpressed neurons. Moreover, Arl5b (ADP-ribosylation factor 5b), a protein responsible for transporting APP from the TGN to early endosomes, was upregulated by SV2A. SV2A overexpression also decreased APP transport from the cell membrane to early endosomes by downregulating APP endocytosis. In addition, products of APP amyloid degradation, including sAPPβ, Aβ1-42, and Aβ1-40, were decreased in SV2A-overexpressed cells.  Conclusion  These results demonstrated that SV2A promotes APP transport from the TGN to early endosomes by upregulating Arl5b and promoting APP transport from early endosomes to recycling endosomes-cell membrane pathway, which slows APP amyloid degradation.
Perioperative Cardiac Arrest in Mechanically Ventilated Older Patients Undergoing Thoracic Surgery
Wenjun Liu, Shuyu Zhang, Sheng Wang
2025, 38(5): 625-628. doi: 10.3967/bes2025.035
Global Burden of Clostridium difficile Infection-Related Diarrhea Mortality from 1990 to 2021: A Study Based on the 2021 Global Burden of Disease Database
Ying Li, Jie Li, Hesheng Chang, Yuehua Hu, Chengdong Xu
2025, 38(5): 629-632. doi: 10.3967/bes2025.039
Effects of Ozone Exposure on Cardiopulmonary Function and Adaptive Responses in Han and Tibetan Children during Physical Activity at High Altitudes
Mengyao Bian, Ling Qi, Qian Guo, Yuchen Zhao, Xiaoli Duan
2025, 38(5): 633-638. doi: 10.3967/bes2025.054
Factors in Work-Related Musculoskeletal Disorders in Dentists: A Structural Equation Model
Shunhang Li, Jian Li, Xin Xu, Yushan Huang, Yilin Zhang, Xiaoshuang Xu, Weizhen Guan, Xiaoping Liu, Jing Li
2025, 38(5): 639-643. doi: 10.3967/bes2025.037
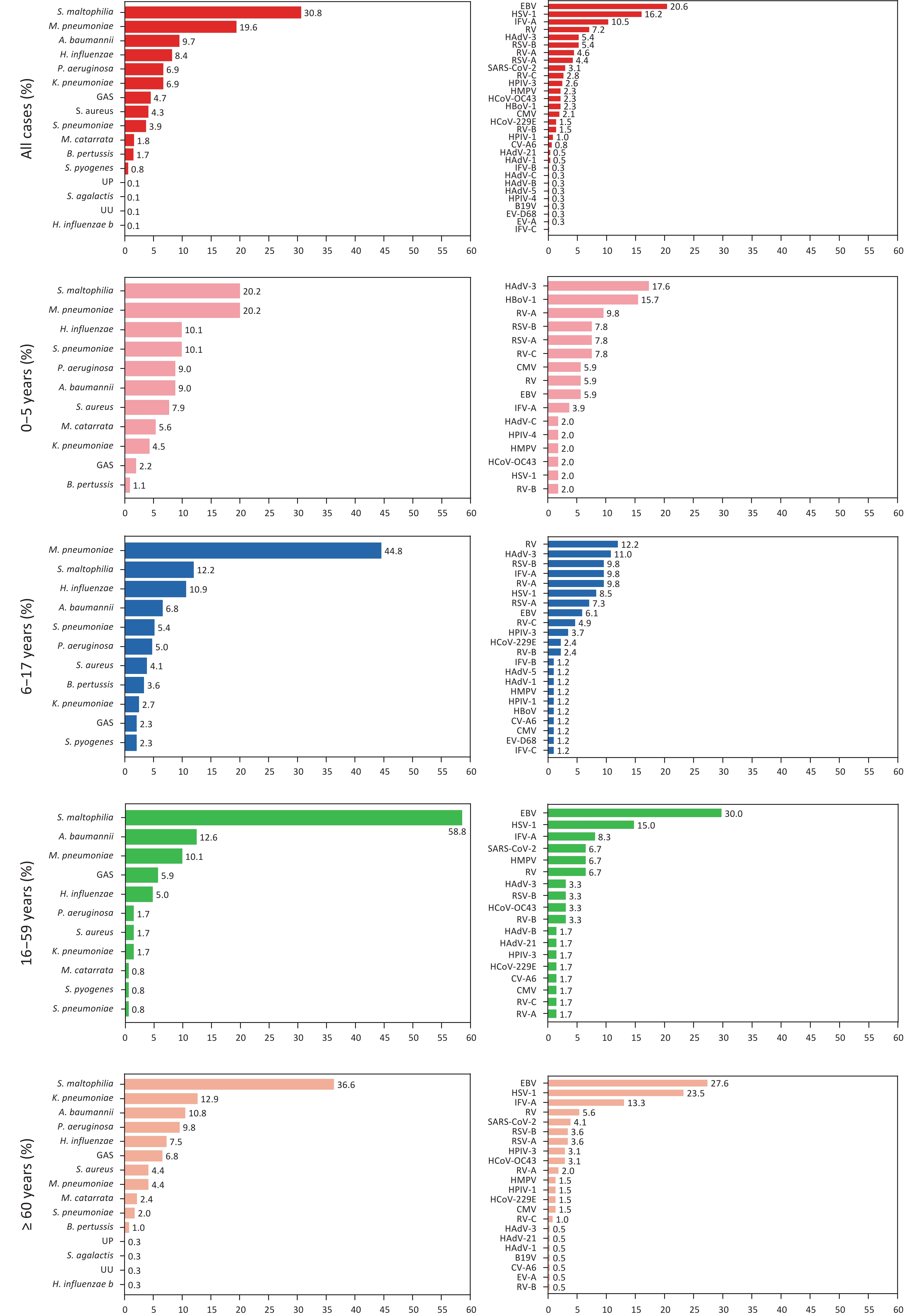
Co-Circulation of Respiratory Pathogens that Cause Severe Acute Respiratory Infections during the Autumn and Winter of 2023 in Beijing, China
Jingzhi Li, Da Huo, Daitao Zhang, Jiachen Zhao, Chunna Ma, Dan Wu, Peng Yang, Quanyi Wang, Zhaomin Feng
2025, 38(5): 644-648. doi: 10.3967/bes2025.050
Correction
2025, 38(5): 649-649.