2022 Vol. 35, No. 7

Cover
Cover
2022, 35(7)
Contents
Contents
2022, 35(7): 1-2.
Special Report
Report on Cardiovascular Health and Diseases in China 2021: An Updated Summary
The Writing Committee of the Report on Cardiovascular Health and Diseases in China
2022, 35(7): 573-603. doi: 10.3967/bes2022.079
In 2019, cardiovascular disease (CVD) accounted for 46.74% and 44.26% of all deaths in rural and urban areas, respectively. Two out of every five deaths were due to CVD. It is estimated that about 330 million patients suffer from CVD in China. The number of patients suffering from stroke, coronary heart disease, heart failure, pulmonary heart disease, atrial fibrillation, rheumatic heart disease, congenital heart disease, lower extremity artery disease and hypertension are 13.00 million, 11.39 million, 8.90 million, 5.00 million, 4.87 million, 2.50 million, 2.00 million, 45.30 million, and 245.00 million, respectively. Given that China is challenged by the dual pressures of population aging and steady rise in the prevalence of metabolic risk factors, the burden caused by CVD will continue to increase, which has set new requirements for CVD prevention and treatment and the allocation of medical resources in China. It is important to reduce the prevalence through primary prevention, increase the allocation of medical resources for CVD emergency and critical care, and provide rehabilitation services and secondary prevention to reduce the risk of recurrence, re-hospitalization and disability in CVD survivors. The number of people suffering from hypertension, dyslipidemia and diabetes in China has reached hundreds of millions. Since blood pressure, blood lipids, and blood glucose levels rise mostly insidiously, vascular disease or even serious events such as myocardial infarction and stroke often already occured at the time of detection in this population. Hence, more strategies and tasks should be taken to prevent risk factors such as hypertension, dyslipidemia, diabetes, obesity, and smoking, and more efforts should be made in the assessment of cardiovascular health status and the prevention, treatment, and research of early pathological changes.
Original Article
Waist Circumference of the Elderly over 65 Years Old in China Increased Gradually from 1993 to 2015: A Cohort Study
YANG Xin Li, OUYANG Yi Fei, ZHANG Xiao Fan, SU Chang, BAI Jing, ZHANG Bing, HONG Zhong Xin, DU Shu Fa, WANG Hui Jun
2022, 35(7): 604-612. doi: 10.3967/bes2022.080
  Objective  This study aimed to analyze the temporal trends and characteristics associated with waist circumference (WC) among elderly Chinese people.  Methods  We used data from 3,096 adults ≥ 65 years who participated in the China Health and Nutrition Survey (CHNS), an ongoing cohort study, between 1993 and 2015. We used longitudinal quantile regression models to explore the temporal trends and characteristics associated with WC.  Results  WC increased gradually among the elderly Chinese population during the survey. The WC curves shifted to the right with wider distributions and lower peaks in men and women. All WC percentile curves shifted upward with similar growth rates in the 25th, 50th, and 75th percentiles. The WC means increased from 78 cm to 86 cm during the 22 years of our study. WC significantly increased with age and body mass index and decreased with physical activity (PA). These associations were stronger in the higher percentiles than in the lower percentiles.  Conclusions  WC is rising among Chinese adults ≥ 65 years. Factors affecting WC in elderly people may have different effects on different percentiles of the WC distribution, and PA was the most important protective factor in the higher percentiles of the WC distribution. Thus, different interventional strategies are needed.
The Influence of Diabetes, Hypertension, and Hyperlipidemia on the Onset of Age-Related Macular Degeneration in North China: The Kailuan Eye Study
ZHANG Yong Peng, WANG Ya Xing, ZHOU Jin Qiong, WANG Qian, YAN Yan Ni, YANG Xuan, YANG Jing Yan, ZHOU Wen Jia, WANG Ping, SHEN Chang, YANG Ming, LUAN Ya Nan, WANG Jin Yuan, WU Shou Ling, CHEN Shuo Hua, WANG Hai Wei, FANG Li Jian, WAN Qian Qian, ZHU Jing Yuan, NIE Zi Han, CHEN Yu Ning, XIE Ying, JONAS JB, WEI Wen Bin
2022, 35(7): 613-621. doi: 10.3967/bes2022.081
  Objective   To analyze the prevalence of dry and wet age-related macular degeneration (AMD) in patients with diabetes, hypertension and hyperlipidemia, and to analyze the risk factors for AMD.  Methods  A population-based cross-sectional epidemiologic study was conducted involving 14,440 individuals. We assessed the prevalence of dry and wet AMD in diabetic and non-diabetic subjects and analyzed the risk factors for AMD.  Results  The prevalence of wet AMD in diabetic and non-diabetic patients was 0.3% and 0.5%, respectively, and the prevalence of dry AMD was 17% and 16.4%, respectively. The prevalence of wet AMD in healthy, hypertensive, hyperlipidemic, and hypertensive/hyperlipidemic populations was 0.5%, 0.3%, 0.2%, and 0.7%, respectively. The prevalence of dry AMD in healthy, hypertensive, hyperlipidemic, and hypertensive/hyperlipidemic populations was 16.6%, 16.2%, 15.2%, and 17.2%, respectively. Age, sex, body mass index, and use of hypoglycemic drugs or lowering blood pressure drugs were corrected in the risk factor analysis of AMD. Diabetes, diabetes/hypertension, diabetes/hyperlipidemia, and diabetes/hypertension/hyperlipidemia were analyzed. None of the factors analyzed in the current study increased the risk for the onset of AMD.  Conclusion  There was no significant difference in the prevalence of wet and dry AMD among diabetic and non-diabetic subjects. Similarly, there was no significant difference in the prevalence of wet and dry AMD among subjects with hypertension and hyperlipidemia. Diabetes co-existing with hypertension and hyperlipidemia were not shown to be risk factors for the onset of dry AMD.
Overexpression of Protein Phosphatase 2 Regulatory Subunit B"Alpha Promotes Glycolysis by Regulating Hexokinase 1 in Hepatocellular Carcinoma
JIAO Ning, JI Wan Sheng, ZHANG Biao, SHANG Yu Kui, ZHANG Yu Chen, YU Wei Qun, JIN Hai Long, LI Chao, ZHANG Cheng Ying, YAN Cheng, YUE Wen, ZHANG Qing
2022, 35(7): 622-632. doi: 10.3967/bes2022.082
  Objective   To investigate the regulatory relationship of Protein Phosphatase 2 Regulatory Subunit B"Alpha (PPP2R3A) and hexokinase 1 (HK1) in glycolysis of hepatocellular carcinoma (HCC).   Methods   In HepG2 and Huh7 cells, PPP2R3A expression was silenced by small interfering RNA (siRNA) and overexpression by plasmid transfection. The PPP2R3A-related genes were searched by RNA sequencing. Glycolysis levels were measured by glucose uptake and lactate production. QRT-PCR, ELISA, western blot and immunofluorescence assay were performed to detect the changes of PPP2R3A and HK1. Cell proliferation, migration and invasion assay were used to study the roles of HK1 regulation by PPP2R3A.   Results   RNA sequencing data revealed that PPP2R3A siRNA significantly downregulated the expression of HK1. PPP2R3A gene overexpression promotes, while gene silencing suppresses, the level of HK1 and glycolysis in HCC cells. In HCC tissue samples, PPP2R3A and HK1 were colocalized in the cytoplasm, and their expression showed a positive correlation. HK1 inhibition abrogated the promotion of glycolysis, proliferation, migration and invasion by PPP2R3A overexpression in liver cancer cells.   Conclusion   Our findings showed the correlation of PPP2R3A and HK1 in the glycolysis of HCC, which reveals a new mechanism for the oncogenic roles of PPP2R3A in cancer.
Protocol
Data Resource Profile: A Protocol of China National Diabetic Chronic Complications Study
HOU Xu Hong, WANG Li Min, CHEN Si Yu, LIANG Ye Bei, ZHANG Mei, HUANG Zheng Jing, CHEN Hong Li, WU Jing Zhu, WU Jing, JIA Wei Ping
2022, 35(7): 633-640. doi: 10.3967/bes2022.078
Letter to the Editor
Effect of Iodine Supplementation on Iodine Nutrition and Thyroid Function in Pregnant Women: A Cross-Sectional Study
SUN Rong, QIAN Ting Ting, LIU Lan Chun, ZHAO Meng, CHE Wen Jing, ZHANG Ling, LI Wei Dong, JIA Qing Zhen, WANG Jian Hui, LI Jin Shu, CHEN Zhi Hui, ZHANG Bi Yun, LIU Peng
2022, 35(7): 641-647. doi: 10.3967/bes2022.083
Correlation between Anxiety, Depression, and Sleep Quality in College Students
ZHANG Yu Tong, HUANG Tao, ZHOU Fang, HUANG Ao Di, JI Xiao Qi, HE Lu, GENG Qiang, WANG Jia, MEI Can, XU Yu Jia, YANG Ze Long, ZHAN Jian Bo, CHENG Jing
2022, 35(7): 648-651. doi: 10.3967/bes2022.084
The putative NAD(P)H Nitroreductase, Rv3131, is the Probable Activating Enzyme for Metronidazole in Mycobacterium Tuberculosis
DONG Wen Zhu, SHI Jin, CHU Ping, LIU Rong Mei, WEN Shu An, ZHANG Ting Ting, PANG Yu, LU Jie
2022, 35(7): 652-656. doi: 10.3967/bes2022.085
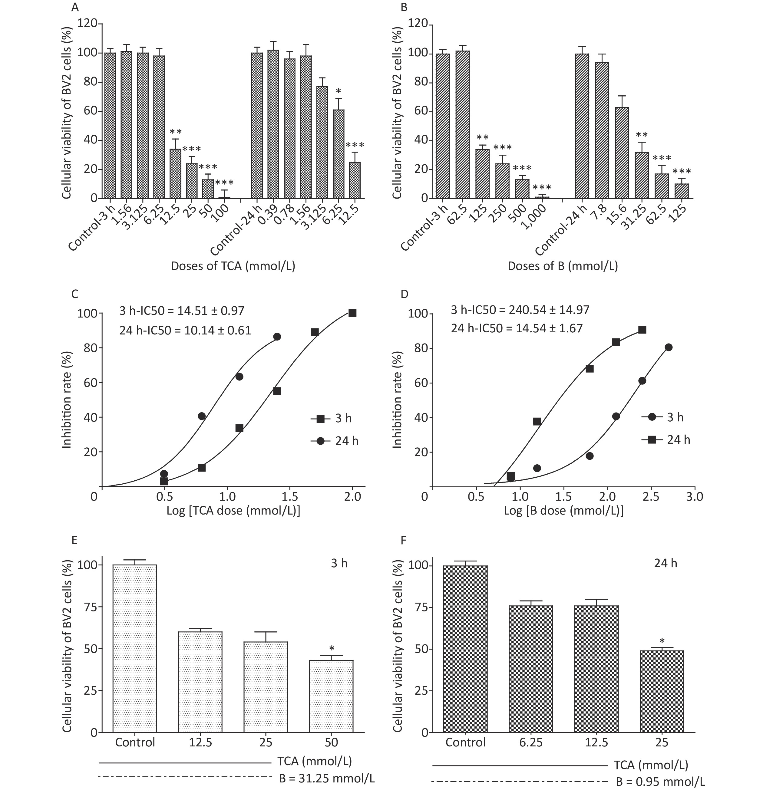
Oxidative Damage to BV2 Cells by Trichloroacetic Acid: Protective Role of Boron via the p53 Pathway
WANG Chong, HUANG Wei, LI Li, WANG Chao, SHI Ying, TANG Song, GU Wen, XU Yong Jun, ZHANG Li Xia, ZHANG Ming, DUAN Lian, ZHAO Kang Feng
2022, 35(7): 657-662. doi: 10.3967/bes2022.086
This study aimed to investigate the neurotoxicity induced by trichloroacetic acid (TCA) and the possible protective mechanisms of boron (B). Mouse BV2 cells were treated with TCA (0, 0.39, 0.78, 1.56, 3.12, 6.25, or 12.5 mmol/L) and B (0, 7.8, 15.6, 31.25, 62.5, 125, 500, or 1,000 mmol/L) for 3 h and 24 h, respectively. Then, reactive oxygen species, and supernatant proinflammatory cytokine and protein levels were analyzed after 24 h of combined exposure. Beyond the dose-dependent decrease in the cellular viability, it clearly increased after B supplementation (P < 0.05). Moreover, B decreased oxidative damage, and significantly down-regulated IL-6 levels and up-regulated TNF-β production (P < 0.05). B also decreased apoptosis via the p53 pathway. The present findings indicated that TCA may induce oxidative damage, whereas B mitigates these adverse effects by decreasing cell apoptosis.
Expression of Thioredoxin System Protein Induced by Silica in Rat Lung Tissue
GUAN Yi, LI Gai, LIU Nan, WANG Yong Heng, ZHOU Qiang, CHANG Mei Yu, ZHAO Lin Lin, YAO San Qiao
2022, 35(7): 663-668. doi: 10.3967/bes2022.087
Oyster Protein Hydrolysate Alleviates Cadmium Toxicity by Restoring Cadmium-Induced Intestinal Damage and Gut Microbiota Dysbiosis in Mice via Its Abundance of Methionine, Tyrosine, and Glutamine
WANG Jing Wen, FANG Zhi Jia, LI Yong Bin, HUANG Lin Ru, SUN Li Jun, LIU Ying, WANG Ya Ling, LIAO Jian Meng
2022, 35(7): 669-673. doi: 10.3967/bes2022.088
Periodontal Ligament Stem Cells Reverse the High Glucose Level-Induced Inflammatory State of Macrophages
LIU Yun Xia, DING Xiao Ling, TANG Shuai, CUI Shu Yue, LIU Jia Jia, DING Gang
2022, 35(7): 674-679. doi: 10.3967/bes2022.089
Correction
Correction
2022, 35(7): 680-680.