2023 Vol. 36, No. 2

Select articles
Cover
Cover
2023, 36(2)
CONTENTS
Contents
2023, 36(2): 1-2.
Changes in Notified Incidence of Pulmonary Tuberculosis in China, 2005–2020
DONG Zhe, YAO Hong Yan, YU Shi Cheng, HUANG Fei, LIU Jian Jun, ZHAO Yan Lin, WANG Qi Qi
2023, 36(2): 117-126. doi: 10.3967/bes2023.015
  Objective  To evaluate the trend of notified incidence of pulmonary tuberculosis (PTB) in China at different periods by population and region and to explore the effect of TB prevention and control in recent years.   Methods  Using pooled data on TB cases reported by the TB Information Management Reporting System (TBIMS) from 2005 to 2020, we calculated the annual percentage change (APC) using the Joinpoint regression model.   Results  From 2005 to 2020, a total of 16.2 million cases of PTB were reported in China, with an average notified incidence of 75.5 per 100,000 population. The age standardization rate (ASR) continued to decline from 116.9 (/100,000) in 2005 to 47.6 (/100,000) in 2020, with an average annual decrease of 5.6% [APC = −5.6, 95% confidence interval (CI): −7.0 to −4.2]. The smallest decline occurred in 2011–2018 (APC = −3.4, 95% CI: −4.6 to −2.3) and the largest decrease in 2018–2020 (APC = −9.2, 95% CI: −16.4 to −1.3). From 2005 to 2020, the ASR in males (159.8 per 100,000 in 2005, 72.0 per 100,000 in 2020) was higher than that in females (62.2 per 100,000 in 2005, 32.3 per 100,000 in 2020), with an average annual decline of 6.0% for male and 4.9% for female. The average notified incidence was the highest among older adults (65 years and over) (182.3/100,000), with an average annual decline of 6.4%; children (0–14 years) were the lowest (4.8/100,000), with an average annual decline of 7.3%, but a significant increase of 3.3% between 2014 and 2020 (APC = 3.3, 95% CI: 1.4 to 5.2); middle-aged (35–64 years) decreased by 5.8%; and youth (15–34 years) decreased by an average annual rate of 4.2%. The average ASR in rural areas (81.3/100,000) is higher than that in urban areas (76.1/100,000). The average annual decline in rural areas was 4.5% and 6.3% in urban areas. South China had the highest average ASR (103.2/100,000), with an average annual decline of 5.9%, while North China had the lowest (56.5/100,000), with an average annual decline of 5.9%. The average ASR in the southwest was 95.3 (/100,000), with the smallest annual decline (APC = −4.5, 95% CI: −5.5 to −3.5); the average ASR in the Northwest China was 100.1 (/100,000), with the largest annual decline (APC = −6.4, 95% CI: −10.0 to −2.7); Central, Northeastern, and Eastern China declined by an average of 5.2%, 6.2%, and 6.1% per year, respectively.   Conclusions  From 2005 to 2020, the notified incidence of PTB in China continued to decline, falling by 55%. For high-risk groups such as males, older adults, high-burden areas in South, Southwest, and Northwest China, and rural regions, proactive screening should be strengthened to provide timely and effective anti-TB treatment and patient management services for confirmed cases. There is also a necessity to be vigilant about the upward trend of children in recent years, the specific reasons for which need to be further studied.
Epidemiological Survey of Hemoglobinopathies Based on Next-Generation Sequencing Platform in Hunan Province, China
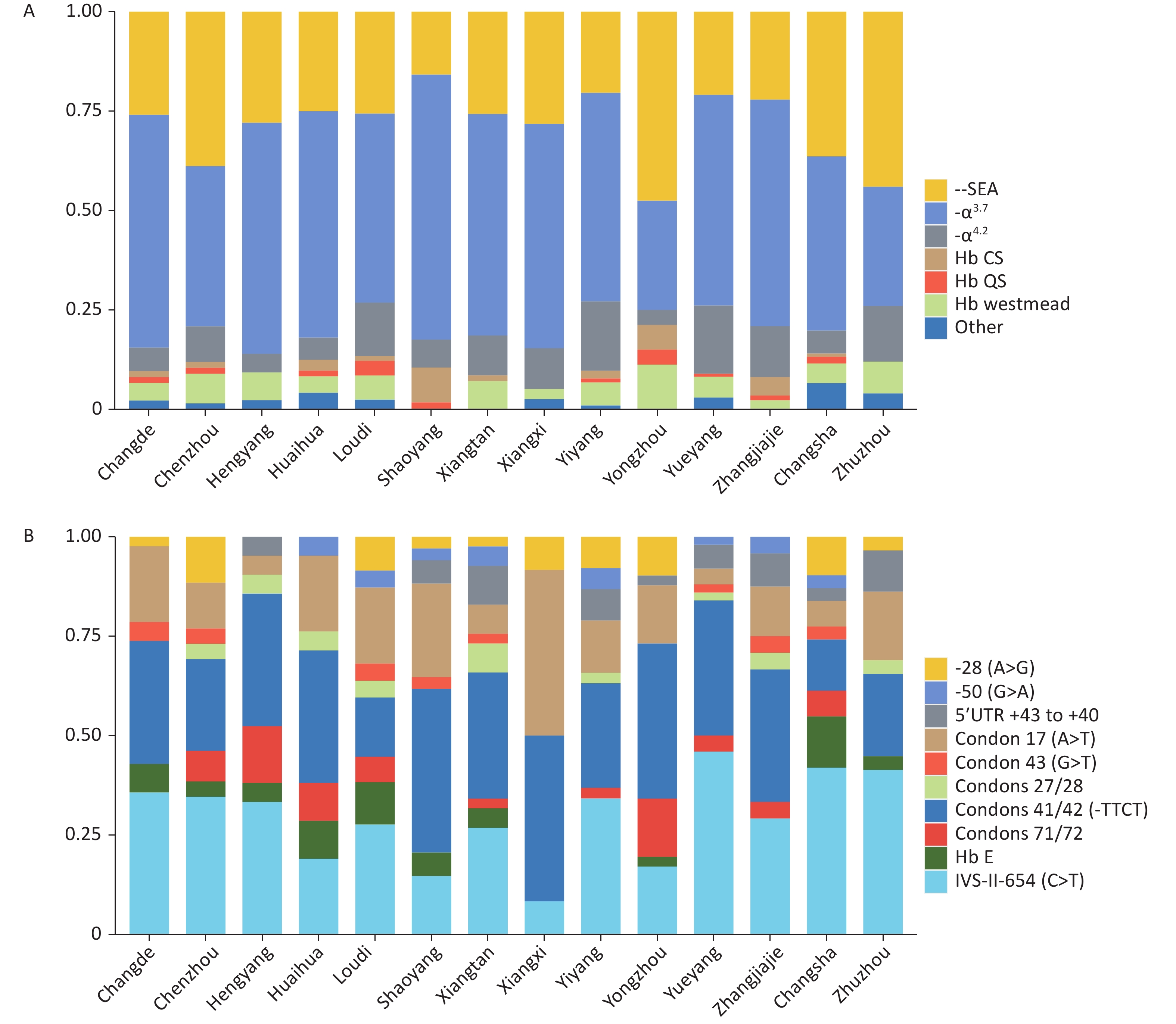
XI Hui, LIU Qin, XIE Dong Hua, ZHOU Xu, TANG Wang Lan, TANG De Guo, ZENG Chun Yan, WANG Qiong, NIE Xing Hui, PENG Jin Ping, GAO Xiao Ya, WU Hong Liang, ZHANG Hao Qing, QIU Li, FENG Zong Hui, WANG Shu Yuan, ZHOU Shu Xiang, HE Jun, ZHOU Shi Hao, ZHOU Fa Qun, ZHENG Jun Qing, WANG Shun Yao, CHEN Shi Ping, ZHENG Zhi Fen, MA Xiao Yuan, FANG Jun Qun, LIANG Chang Biao, WANG Hua
2023, 36(2): 127-134. doi: 10.3967/bes2023.016
  Objective  This study was aimed at investigating the carrier rate of, and molecular variation in, α- and β-globin gene mutations in Hunan Province.  Methods  We recruited 25,946 individuals attending premarital screening from 42 districts and counties in all 14 cities of Hunan Province. Hematological screening was performed, and molecular parameters were assessed.  Results  The overall carrier rate of thalassemia was 7.1%, including 4.83% for α-thalassemia, 2.15% for β-thalassemia, and 0.12% for both α- and β-thalassemia. The highest carrier rate of thalassemia was in Yongzhou (14.57%). The most abundant genotype of α-thalassemia and β-thalassemia was -α3.7/αα (50.23%) and βIVS-II-654N (28.23%), respectively. Four α-globin mutations [CD108 (ACC>AAC), CAP +29 (G>C), Hb Agrinio and Hb Cervantes] and six β-globin mutations [CAP +8 (C>T), IVS-II-848 (C>T), -56 (G>C), beta nt-77 (G>C), codon 20/21 (-TGGA) and Hb Knossos] had not previously been identified in China. Furthermore, this study provides the first report of the carrier rates of abnormal hemoglobin variants and α-globin triplication in Hunan Province, which were 0.49% and 1.99%, respectively.  Conclusion  Our study demonstrates the high complexity and diversity of thalassemia gene mutations in the Hunan population. The results should facilitate genetic counselling and the prevention of severe thalassemia in this region.
Resveratrol Prevents Vibrio vulnificus-Induced Sepsis by Attenuating Necroptosis
QIN Ke Wei, LIU Jian Fei, WU Cheng Lin, ZHANG Chen, ZHOU Li Jun
2023, 36(2): 135-145. doi: 10.3967/bes2023.017
  Objective  This study investigated how the natural phytophenol and potent SIRT1 activator resveratrol (RSV) regulate necroptosis during Vibrio vulnificus (V. vulnificus)-induced sepsis and the potential mechanism.  Methods  The effect of RSV on V. vulnificus cytolysin (VVC)-induced necroptosis was analyzed in vitro using CCK-8 and Western blot assays. Enzyme-linked immunosorbent assays and quantitative real-time polymerase chain reaction, western blot, and immunohistochemistry and survival analyses were performed to elucidate the effect and mechanism of RSV on necroptosis in a V. vulnificus-induced sepsis mouse model.  Results  RSV relieved necroptosis induced by VVC in RAW264.7 and MLE12 cells. RSV also inhibited the inflammatory response, had a protective effect on histopathological changes, and reduced the expression level of the necroptosis indicator pMLKL in peritoneal macrophages, lung, spleen, and liver tissues of V. vulnificus-induced septic mice in vivo. Pretreatment with RSV downregulated the mRNA of the necroptosis indicator and protein expression in peritoneal macrophages and tissues of V. vulnificus-induced septic mice. RSV also improved the survival of V. vulnificus-induced septic mice.  Conclusion  Our findings collectively demonstrate that RSV prevented V. vulnificus-induced sepsis by attenuating necroptosis, highlighting its potency in the clinical management of V. vulnificus-induced sepsis.
Tra2β Enhances Cell Proliferation by Inducing the Expression of Transcription Factor SP1 in Cervical Cancer
LI Mo Juan, XIONG Dan, WANG Shuai, HUANG Hao
2023, 36(2): 146-159. doi: 10.3967/bes2023.018
  Objective  In this study, the role and potential mechanism of transformer 2β (Tra2β) in cervical cancer were explored.   Methods  The transcriptional data of Tra2β in patients with cervical cancer from Gene Expression Profiling Interactive Analysis (GEPIA) and cBioPortal databases were investigated. The functions of Tra2β were evaluated by using Western blot, MTT, colony formation, Transwell assays, and nude mouse tumor formation experiments. Target genes regulated by Tra2β were studied by RNA-seq. Subsequently, representative genes were selected for RT-qPCR, confocal immunofluorescence, Western blot, and rescue experiments to verify their regulatory relationship.   Results  The dysregulation of Tra2β in cervical cancer samples was observed. Tra2β overexpression in Siha and Hela cells enhanced cell viability and proliferation, whereas Tra2β knockdown showed the opposite effect. Alteration of Tra2β expression did not affect cell migration and invasion. Furthermore, tumor xenograft models verified that Tra2β promoted cervical cancer growth. Mechanically, Tra2β positively regulated the mRNA and protein level of SP1, which was critical for the proliferative capability of Tra2β.   Conclusion  This study demonstrated the important role of the Tra2β/SP1 axis in the progression of cervical cancer in vitro and in vivo, which provides a comprehensive understanding of the pathogenesis of cervical cancer.
Comparison of the Nerve Regeneration Capacity and Characteristics between Sciatic Nerve Crush and Transection Injury Models in Rats
WANG Bin Bin, GUO Chao, SUN Sheng Qiao, ZHANG Xing Nan, LI Zhen, LI Wei Jie, LI De Zhi, SCHUMACHER Michael, LIU Song
2023, 36(2): 160-173. doi: 10.3967/bes2023.001
  Objective   To provide useful information for selecting the most appropriate peripheral nerve injury model for different research purposes in nerve injury and repair studies, and to compare nerve regeneration capacity and characteristics between them.   Methods   Sixty adult SD rats were randomly divided into two groups and underwent crush injury alone (group A, n = 30) or transection injury followed by surgical repair (group B, n = 30) of the right hind paw. Each group was subjected to the CatWalk test, gastrocnemius muscle evaluation, pain threshold measurement, electrophysiological examination, retrograde neuronal labeling, and quantification of nerve regeneration before and 7, 14, 21, and 28 days after injury.   Results   Gait analysis showed that the recovery speed in group A was significantly faster than that in group B at 14 days. At 21 days, the compound muscle action potential of the gastrocnemius muscle in group A was significantly higher than that in group B, and the number of labeled motor neurons in group B was lower than that in group A. The number of new myelin sheaths and the g-ratio were higher in group A than in group B. There was a 7-day time difference in the regeneration rate between the two injury groups.   Conclusion   The regeneration of nerve fibers was rapid after crush nerve injury, whereas the transection injury was relatively slow, which provides some ideas for the selection of clinical research models.
On-Site Assessment of a Cryogenic Disinfectant for the Alpine Environment and Outer Packaging of Frozen Items
SHEN Jin, YANG Bin, XIAO Jia Qing, LI Lu Yao, SUN Hui Hui, DUAN Hong Yang, ZHANG Wei, LIANG Chen, CHEN Lu, LI Li, CHEN Yan Yan, LYU Yuan, TANG Song, WANG Jiao, ZHANG Liu Bo, WANG Lin
2023, 36(2): 174-184. doi: 10.3967/bes2023.019
  Objective   To study the effectiveness and feasibility of cryogenic disinfectants in different cold scenarios and analyze the key points of on-site cryogenic disinfection.  Methods   Qingdao and Suifenhe were selected as application sites for the manual or mechanical spraying of cryogenic disinfectants. The same amount of disinfectant (3,000 mg/L) was applied on cold chain food packaging, cold chain containers, transport vehicles, alpine environments, and article surfaces. The killing log value of the cryogenic disinfectant against the indicator microorganisms (Staphylococcus aureus and Escherichia coli) was used to evaluate the on-site disinfection effect.  Results   When using 3,000 mg/L with an action time of 10 min on the ground in alpine regions, the surface of frozen items, cold-chain containers, and cold chain food packaging in supermarkets, all external surfaces were successfully disinfected, with a pass rate of 100%. The disinfection pass rates for cold chain food packaging and cold chain transport vehicles of centralized supervised warehouses and food processing enterprises were 12.5% (15/120), 81.67% (49/60), and 93.33% (14/15), respectively; yet, the surfaces were not fully sprayed.  Conclusion   Cryogenic disinfectants are effective in disinfecting alpine environments and the outer packaging of frozen items. The application of cryogenic disinfectants should be regulated to ensure that they cover all surfaces of the disinfected object, thus ensuring effective cryogenic disinfection.
Genomic Characterization of the First Sequenced Clinical Legionella micdadei Isolate from China
CHEN Ai Ping, ZHANG Yong Jun
2023, 36(2): 185-190. doi: 10.3967/bes2023.020
Severe Pneumonia Caused by Balneatrix alpica Associated with Spa
WU Ruo, LU Xue Jun, WU Ze, ZHENG Yong Xian
2023, 36(2): 191-195. doi: 10.3967/bes2023.021
Interactions of Vitamin D Receptor Polymorphisms with Hypertriglyceridemia and Obesity in Chinese Individuals Susceptible to Hypertension and Diabetes Comorbidity
SUN Hua Lei, ZHAO Tong, ZHANG Dong Dong, FENG Ming Ming, XU Ze, HUANG Hao Yue, ZHANG Luo Ya, LI Wen Jie, LI Xing, DUAN Jia Yu, LI Jia
2023, 36(2): 196-200. doi: 10.3967/bes2023.022
Bioinformatics Analysis and Identification of Key Candidate Genes Associated with Nephrotoxicity Induced by Cobalt
WANG Rui, ZHANG Ding, ZHUGE Rui Jian, XUE Qian, HE Chang Hao, MA Wen Xuan, SHEN Zhu Bin, GUO Li
2023, 36(2): 201-205. doi: 10.3967/bes2023.023
Proteomic Analysis Revealed the Involvement of Autophagy in Rat Acute Lung Injuries Caused by Gas Explosion Based on a Data-Independent Acquisition Strategy
HONG Shan, DING Chun Jie, ZHOU Qiang, SUN Yun Zhe, ZHANG Miao, LI Ning, DONG Xin Wen, GUAN Yi, ZHANG Lin, TIAN Lin Qiang, CAO Jia, YAO Wu, REN Wen Jie, YAO San Qiao
2023, 36(2): 206-212. doi: 10.3967/bes2023.024