2023 Vol. 36, No. 1

Cover
Cover
2023, 36(1)
Contents
Contents
2023, 36(1): 1-2.
Original Article
Association between Serum Uric Acid to HDL-Cholesterol Ratio and Nonalcoholic Fatty Liver Disease Risk among Chinese Adults
ZHAO Hui, QIU Xia, LI Hua Zi, CUI Jia Jia, SUN Yong Ye
2023, 36(1): 1-9. doi: 10.3967/bes2022.111
  Objective   The aim of this case-control study was to explore the association between serum uric acid to high density lipoprotein cholesterol ratio (UHR) and the risk of nonalcoholic fatty liver disease (NAFLD) in Chinese adults.  Methods   A total of 636 patients with NAFLD and 754 controls were enrolled from the Affiliated Hospital of Qingdao University, China, between January and December 2016. All patients completed a comprehensive questionnaire survey and underwent abdominal ultrasound examination and a blood test. NAFLD was diagnosed using ultrasonography after other etiologies were excluded. Logistic regression and restricted cubic spline model were conducted to evaluate the relationship of UHR with NAFLD risk.  Results   The multivariable adjusted odds ratio (95% confidence interval, CI) for NAFLD in the highest versus lowest quartile of UHR was 3.888 (2.324–6.504). In analyses stratified by sex and age, we observed significant and positive associations between UHR and the risk of NAFLD in each subgroup. In analyses stratified by body mass index (BMI), a significant and positive association was found only in individuals with a BMI of ≥ 24 kg/m2. Our dose-response analysis indicated a linear positive correlation between UHR and the risk of NAFLD.  Conclusion   UHR is positively associated with the risk of NAFLD and may serve as an innovative and noninvasive marker for identifying individuals at risk of NAFLD.
Relationship between Dining Place, Iodine Source, and Iodine Nutrition in School-Age Children: A Cross-Sectional Study in China
QIAN Ting Ting, SUN Rong, LIU Lan Chun, CHE Wen Jing, ZHAO Meng, ZHANG Ling, LI Wei Dong, JIA Qing Zhen, WANG Jian Hui, LI Jin Shu, CHEN Zhi Hui, ZHANG Bi Yun, LIU Peng
2023, 36(1): 10-23. doi: 10.3967/bes2023.002
  Objective  This study assesses the impact of iodine-rich processed foods and dining places on the iodine nutritional status of children.   Methods  School-aged children (SAC) in seven provinces in China were selected by school-based multi-stage sampling. Urinary iodine, salt iodine, and thyroid volume (TVOL) were determined. Questionnaires were used to investigate dining places and iodine-rich processed foods. The water iodine was from the 2017 national survey. Multi-factor regression analysis was used to find correlations between variables.   Results  Children ate 78.7% of their meals at home, 15.1% at school canteens, and 6.1% at other places. The percentage of daily iodine intake from water, iodized salt, iodine-rich processed foods, and cooked food were 1.0%, 79.2%, 1.5%, and 18.4%, respectively. The salt iodine was correlated with the urinary iodine and TVOL, respectively (r = 0.999 and −0.997, P < 0.05). The iodine intake in processed foods was weakly correlated with the TVOL (r = 0.080, P < 0.01). Non-iodized salt used in processed foods or diets when eating out had less effect on children's iodine nutrition status.   Conclusion  Iodized salt remains the primary source of daily iodine intake of SAC, and processed food has less effect on iodine nutrition. Therefore, for children, iodized salt should be a compulsory supplement in their routine diet.
The Association between Exposure to Second-Hand Smoke and Disease in the Chinese Population: A Systematic Review and Meta-Analysis
WANG Yu Tong, HU Kui Ru, ZHAO Jian, AI Fei Ling, SHI Yu Lin, WANG Xue Wei, YANG Wen Yi, WANG Jing Xin, AI Li Mei, WAN Xia
2023, 36(1): 24-37. doi: 10.3967/bes2023.003
  Objective   To analyze the association between exposure to second-hand smoke (SHS) and 23 diseases, categorized into four classifications, among the Chinese population.  Methods   We searched the literature up to June 30, 2021, and eligible studies were identified according to the PECOS format: Participants and Competitors (Chinese population), Exposure (SHS), Outcomes (Disease or Death), and Study design (Case-control or Cohort).  Results   In total, 53 studies were selected. The odds ratio (OR) for all types of cancer was 1.79 (1.56–2.05), and for individual cancers was 1.92 (1.42–2.59) for lung cancer, 1.57 (1.40–1.76) for breast cancer, 1.52 (1.12–2.05) for bladder cancer, and 1.37 (1.08–1.73) for liver cancer. The OR for circulatory system diseases was 1.92 (1.29–2.85), with a value of 2.29 (1.26–4.159) for stroke. The OR of respiratory system diseases was 1.76 (1.13–2.74), with a value of 1.82 (1.07–3.11) for childhood asthma. The original ORs were also shown for other diseases. Subgroup analyses were performed for lung and breast cancer. The ORs varied according to time period and were significant during exposure in the household; For lung cancer, the OR was significant in women.  Conclusion   The effect of SHS exposure in China was similar to that in Western countries, but its definition and characterization require further clarification. Studies on the association between SHS exposure and certain diseases with high incidence rates are insufficient.
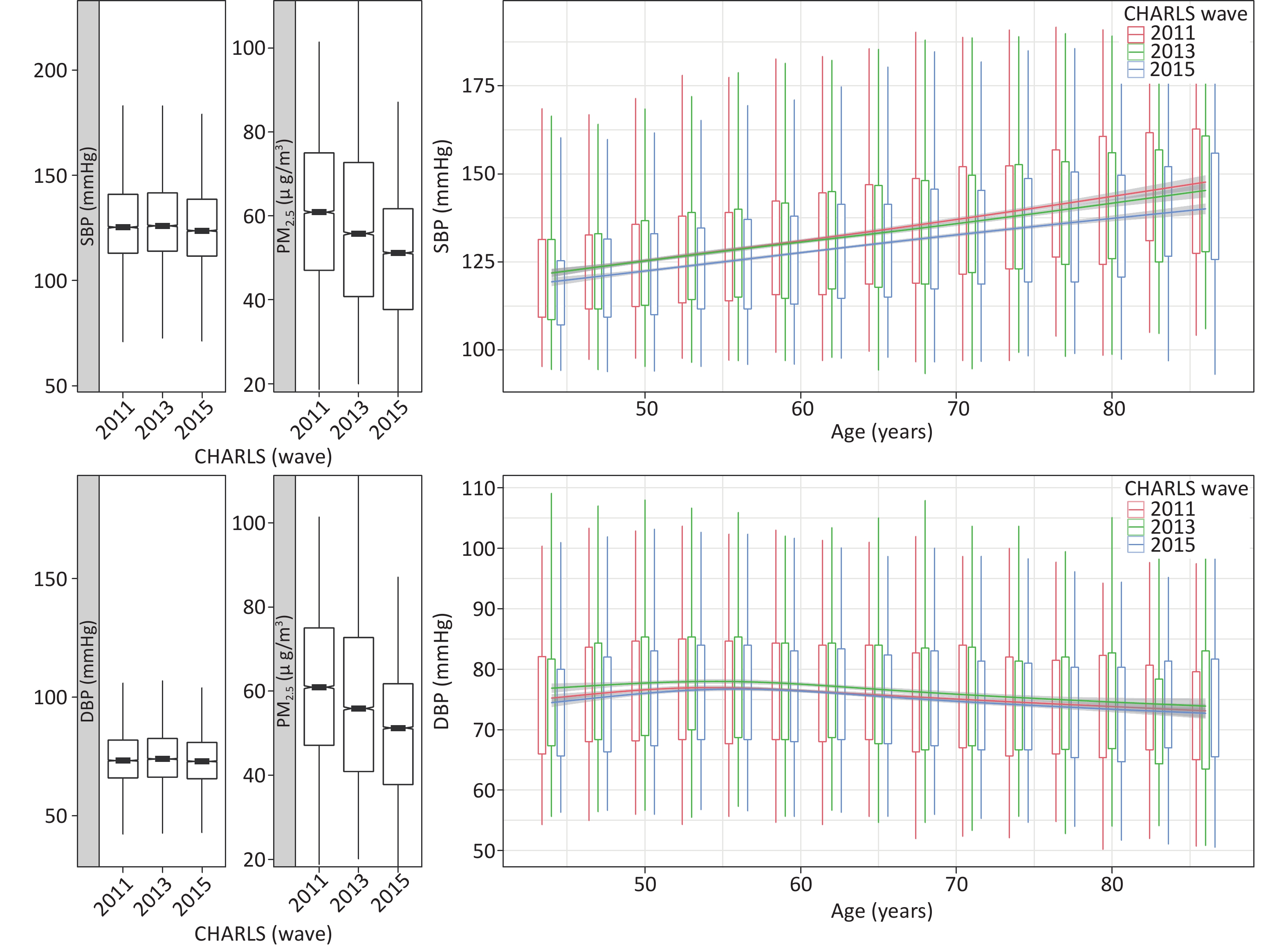
Ambient Fine Particulate Matter Exposure and Blood Pressure: Evidence from a Large Chinese Multiple Follow-Up Study
JIANGTULU Bahabaike, LAN Chang Xin, CHEN Jun Xi, CHEN Xi, WANG Bin, XUE Tao
2023, 36(1): 38-49. doi: 10.3967/bes2023.004
  Objective   This study aimed to investigate the association of ambient PM2.5 exposure with blood pressure (BP) at the population level in China.  Methods   A total of 14,080 participants who had at least two valid blood pressure records were selected from the China Health and Retirement Longitudinal Survey during 2011–2015. Their long-term PM2.5 exposure was assessed at the geographical level, on the basis of a regular 0.1° × 0.1° grid over China. A mixed-effects regression model was used to assess associations.  Results   Each decrease of 10 μg/m3 in the 1 year-mean PM2.5 concentration (FPM1Y) was associated with a decrease of 1.24 [95% confidence interval (CI): 0.84–1.64] mmHg systolic BP (SBP) and 0.50 (95% CI: 0.25–0.75) mmHg diastolic BP (DBP), respectively. A robust association was observed between the long-term decrease in PM2.5 and decreased BP in the middle-aged and older population. Using a generalized additive mixed model, we further found that SBP increased nonlinearly overall with FPM1Y but in an approximately linear range when the FPM1Y concentration was < 70 µg/m3; In contrast, DBP increased approximately linearly without a clear threshold.  Conclusion   Efficient control of PM2.5 air pollution may promote vascular health in China. Our study provides robust scientific support for making the related air pollution control policies.
TRPV4-induced Neurofilament Injury Contributes to Memory Impairment after High Intensity and Low Frequency Noise Exposures
YANG Yang, WANG Ju, QUAN Yu Lian, YANG Chuan Yan, CHEN Xue Zhu, LEI Xue Jiao, TAN Liang, FENG Hua, LI Fei, CHEN Tu Nan
2023, 36(1): 50-59. doi: 10.3967/bes2023.005
  Objective  Exposure to high intensity, low frequency noise (HI-LFN) causes vibroacoustic disease (VAD), with memory deficit as a primary non-auditory symptomatic effect of VAD. However, the underlying mechanism of the memory deficit is unknown. This study aimed to characterize potential mechanisms involving morphological changes of neurons and nerve fibers in the hippocampus, after exposure to HI-LFN.  Methods  Adult wild-type and transient receptor potential vanilloid subtype 4 knockout (TRPV4−/−) mice were used for construction of the HI-LFN injury model. The new object recognition task and the Morris water maze test were used to measure the memory of these animals. Hemoxylin and eosin and immunofluorescence staining were used to examine morphological changes of the hippocampus after exposure to HI-LFN.  Results  The expression of TRPV4 was significantly upregulated in the hippocampus after HI-LFN exposure. Furthermore, memory deficits correlated with lower densities of neurons and neurofilament-positive nerve fibers in the cornu ammonis 1 (CA1) and dentate gyrus (DG) hippocampal areas in wild-type mice. However, TRPV4-/- mice showed better performance in memory tests and more integrated neurofilament-positive nerve fibers in the CA1 and DG areas after HI-LFN exposure.  Conclusion  TRPV4 up-regulation induced neurofilament positive nerve fiber injury in the hippocampus, which was a possible mechanism for memory impairment and cognitive decline resulting from HI-LFN exposure. Together, these results identified a promising therapeutic target for treating cognitive dysfunction in VAD patients.
Bis (2-butoxyethyl) Phthalate Delays Puberty Onset by Increasing Oxidative Stress and Apoptosis in Leydig Cells in Rats
LIU Miao Qing, CHEN Hai Qiong, DAI Hai Peng, LI Jing Jing, TIAN Fu Hong, WANG Yi Yan, CHEN Cong De, LI Xiao Heng, LI Jun Wei, LI Zhong Rong, GE Ren Shan
2023, 36(1): 60-75. doi: 10.3967/bes2023.006
  Objective  This study investigated the effects of bis (2-butoxyethyl) phthalate (BBOP) on the onset of male puberty by affecting Leydig cell development in rats.  Methods  Thirty 35-day-old male Sprague-Dawley rats were randomly allocated to five groups mg/kg bw per day that were gavaged for 21 days with BBOP at 0, 10, 100, 250, or 500 mg/kg bw per day. The hormone profiles; Leydig cell morphological metrics; mRNA and protein levels; oxidative stress; and AKT, mTOR, ERK1/2, and GSK3β pathways were assessed.  Results  BBOP at 250 and/or 500 mg/kg bw per day decreased serum testosterone, luteinizing hormone, and follicle-stimulating hormone levels mg/kg bw per day (P < 0.05). BBOP at 500 mg/kg bw per day decreased Leydig cell number mg/kg bw per day and downregulated Cyp11a1, Insl3, Hsd11b1, and Dhh in the testes, and Lhb and Fshb mRNAs in the pituitary gland (P < 0.05). The malondialdehyde content in the testis significantly increased, while Sod1 and Sod2 mRNAs were markedly down-regulated, by BBOP treatment at 250–500 mg/kg bw per day (P < 0.05). Furthermore, BBOP at 500 mg/kg bw per day decreased AKT1/AKT2, mTOR, and ERK1/2 phosphorylation, and GSK3β and SIRT1 levels mg/kg bw per day (P < 0.05). Finally, BBOP at 100 or 500 μmol/L induced ROS and apoptosis in Leydig cells after 24 h of treatment in vitro (P < 0.05).  Conclusion  BBOP delays puberty onset by increasing oxidative stress and apoptosis in Leydig cells in rats. The graphical abstract is available on the website www.besjournal.com.
Epidemiological Characteristics and Spatiotemporal Distribution Patterns of Human Norovirus Outbreaks in China, 2012–2018
ZHAI Meng Ying, RAN Lu, WANG Jiao, YE Dan, YANG Wen Jing, YAN Xu, WANG Lin
2023, 36(1): 76-85. doi: 10.3967/bes2023.007
  Objective  To clarify the epidemiological characteristics and spatial distribution patterns of human norovirus outbreaks in China, identify high-risk areas, and provide guidance for epidemic prevention and control.   Methods  This study analyzed 964 human norovirus outbreaks involving 50,548 cases in 26 provinces reported from 2012 to 2018. Epidemiological analysis and spatiotemporal scanning analysis were conducted to analyze the distribution of norovirus outbreaks in China.   Results  The outbreaks showed typical seasonality, with more outbreaks in winter and fewer in summer, and the total number of infected cases increased over time. Schools, especially middle schools and primary schools, are the most common settings of norovirus outbreaks, with the major transmission route being life contact. More outbreaks occurred in southeast coastal areas in China and showed significant spatial aggregation. The highly clustered areas of norovirus outbreaks have expanded northeast over time.   Conclusion  By identifying the epidemiological characteristics and high-risk areas of norovirus outbreaks, this study provides important scientific support for the development of preventive and control measures for norovirus outbreaks, which is conducive to the administrative management of high-risk settings and reduction of disease burden in susceptible areas.
Global Epidemic of Ebola Virus Disease and the Importation Risk into China: An Assessment Based on the Risk Matrix Method
SHANG Wei Jing, JING Wen Zhan, LIU Jue, LIU Min
2023, 36(1): 86-93. doi: 10.3967/bes2023.008
  Objective   To analyze the global epidemic status of the Ebola virus disease (EVD) and assess the importation risk into China.  Methods   Data from World Health Organization reports were used. We described the global epidemic status of EVD from 1976–2021, and assessed and ranked the importation risk of EVD from the disease-outbreaking countries into China using the risk matrix and Borda count methods, respectively.  Results   From 1976–2021, EVD mainly occurred in western and central Africa, with the highest cumulative number of cases (14,124 cases) in Sierra Leone, and the highest cumulative fatality rate (85%) in the Congo. Outbreaks of EVD have occurred in the Democratic Republic of the Congo and Guinea since 2018. The importation risk into China varies across countries with outbreaks of disease. The Democratic Republic of the Congo had an extremely high risk (23 Borda points), followed by Guinea and Liberia. Countries with a moderate importation risk were Nigeria, Uganda, Congo, Sierra Leone, Mali, and Gabon, while countries with a low importation risk included Sudan, Senegal, and C\begin{document}$ \widehat{\rm{o}} $\end{document}te d'Ivoire.  Conclusion   China is under the risk of EVD importation with the globalization and severe epidemic status of EVD. Key attention need to be paid to the Democratic Republic of the Congo, Guinea, and Liberia. Therefore, it is necessary to prevent and prepare in advance for importation risk in China.
Letter to the Editor
Polyphyllin D induces G2/M Cell Cycle Arrest via Dysfunction of Cholesterol Biosynthesis in Liver Cancer Cells
CHEN Yan Yan, REN Cai Fang, WEN Shi Yuan
2023, 36(1): 94-98. doi: 10.3967/bes2023.009
Short-term exposure to ozone and nonaccidental mortality in Northeast China
ZHANG Yi Fan, MA Yu Xia, LI He Ping, CHENG Bo Wen, FENG Feng Liu, JIAO Hao Ran
2023, 36(1): 99-102. doi: 10.3967/bes2023.010
Ganoderic Acids A and B Reduce Okadaic Acid-Induced Neurotoxicity in PC12 Cells by Inhibiting Tau Hyperphosphorylation
CUI Jing, MENG Yu Han, WANG Zhan Wei, WANG Jing, SHI Dong Fang, LIU Duo
2023, 36(1): 103-108. doi: 10.3967/bes2023.011
Association between the Missense Variant of PLCE1 and the Risk of Colorectal Cancer
GAO Xue Ren, PAN Jun Jie, NIE Wan Jia, LI Xian Yang, ZHANG Shu Long
2023, 36(1): 109-111. doi: 10.3967/bes2023.012
Clinical Characteristics of Macular Hole and Macular Epiretinal Membrane in Dominant and Nondominant Eyes
LIU Yang, WANG Xin, ZHU Min, XU Ge Zhi
2023, 36(1): 112-116. doi: 10.3967/bes2023.014