Mendelian Randomization Analysis to Analyze the Effect of Emergency Caesarean Section on Different Allergic Diseases and Related Blood Markers

LI Yu Jian KAN Xuan

LI Yu Jian, KAN Xuan. Mendelian Randomization Analysis to Analyze the Effect of Emergency Caesarean Section on Different Allergic Diseases and Related Blood Markers[J]. Biomedical and Environmental Sciences, 2023, 36(11): 1084-1089. doi: 10.3967/bes2023.138
Citation: LI Yu Jian, KAN Xuan. Mendelian Randomization Analysis to Analyze the Effect of Emergency Caesarean Section on Different Allergic Diseases and Related Blood Markers[J]. Biomedical and Environmental Sciences, 2023, 36(11): 1084-1089. doi: 10.3967/bes2023.138

doi: 10.3967/bes2023.138

Mendelian Randomization Analysis to Analyze the Effect of Emergency Caesarean Section on Different Allergic Diseases and Related Blood Markers

Funds: This work was supported by Tianjin Key Medical Discipline (Specialty) Construction Project [TJYX2DXK-068C] and Tianjin Medical University General Hospital Clinical Research Program [22ZYYLCCG03].
More Information
    Author Bio:

    LI Yu Jian, male, born in 1997, Master's Degree Student, majoring in respiratory. Tel: 86-13820823219, E-mail: yujianli@tmu.edu.cn

    Corresponding author: KAN Xuan, Professor, Chief Physician, Master's Advisor, Tel: 86-13920390216, E-mail: ashelykx@126.com
  • Figure  1.  Outline of data acquisition. (A) flow chart. (B) word cloud chart.

    Figure  2.  Forest diagram of MR analysis. (A) allergic disease. (B) childhood allergy (age < 16). (C) allergic asthma. (D) allergic rhinitis. (E) atopic dermatitis. (F) eczema. (G) allergic urticaria. (H) allergic purpura. (I) allergic conjunctivitis. (J) lactose intolerance. MR: Mendelian randomization.

    S6.  Screening and enrichment analysis of DEGs for caesarean section. (A) Volcano map. (B) Heat map. (C–D) GO enrichment analysis of DEGs. DEGs: differentially expressed genes; GO: Gene Ontology.

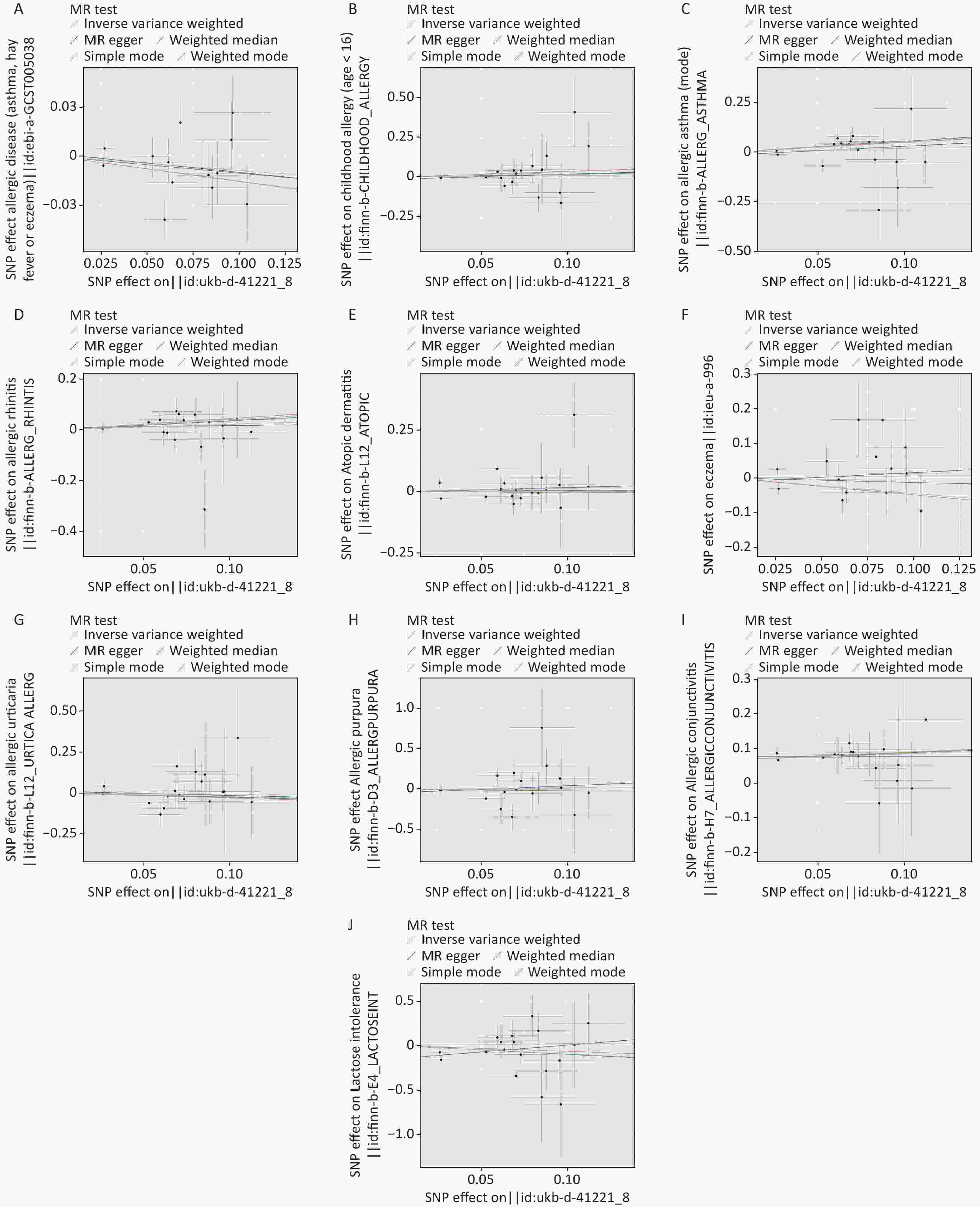
    S1.  Scatter plot of MR analysis. (A) allergic disease. (B) childhood allergy (age < 16). (C) allergic asthma. (D) allergic rhinitis. (E) atopic dermatitis. (F) eczema. (G) allergic urticaria. (H) allergic purpura. (I) allergic conjunctivitis. (J) lactose intolerance. MR: mendelian randomization.

    S2.  Forest diagram and scatter plot of MR analysis. (A–B) Ig E. (C–D) eosinophil percentage. (E–F) basophil percentage. MR: mendelian randomization; Ig E: Immunoglobulin E.

    S3.  The leave-one-out sensitivity analysis. (A) allergic disease. (B) childhood allergy (age < 16). (C) allergic asthma. (D) allergic rhinitis. (E) atopic dermatitis. (F) eczema. (G) allergic urticaria. (H) allergic purpura. (I) allergic conjunctivitis. (J) lactose intolerance.

    S4.  Funnel diagram of MR analysis. (A) allergic disease. (B) childhood allergy (age < 16). (C) allergic asthma. (D) allergic rhinitis. (E) atopic dermatitis. (F) eczema. (G) allergic urticaria. (H) allergic purpura. (I) allergic conjunctivitis. (J) lactose intolerance. MR: mendelian randomization.

    S5.  The leave-one-out sensitivity analysis and funnel diagram of MR analysis. (A–B) Ig E. (C–D) eosinophil percentage. (E–F) basophil percentage. MR: mendelian randomization; Ig E: Immunoglobulin E.

    Table  1.   Main results of MR analysis

    Outcome No. SNP IVW MR Egger
    OR (95% CI) P OR (95% CI) P
    Allergic disease 14 0.917 (0.802−1.050) 0.210 0.893 (0.663−1.201) 0.467
    Childhood allergy (age < 16) 18 1.105 (0.656−1.864) 0.707 1.370 (0.391−4.799) 0.629
    Allergic asthma 18 1.224 (0.829−1.806) 0.309 1.547 (0.594−4.029) 0.385
    Allergic rhinitis 18 1.237 (0.877−1.744) 0.226 1.093 (0.479−2.493) 0.835
    Atopic dermatitis 18 1.138 (0.794−1.632) 0.482 1.196 (0.491−2.918) 0.699
    Eczema 15 1.060 (0.648−1.733) 0.818 1.306 (0.431−3.952) 0.645
    Allergic urticaria 18 0.941 (0.456−1.945) 0.870 0.777 (0.137−4.418) 0.780
    Allergic purpura 18 1.164 (0.373−3.631) 0.794 2.446 (0.160−37.342) 0.529
    Allergic conjunctivitis 18 1.154 (0.884−1.508) 0.293 0.998 (0.526−1.896) 0.996
    Lactose intolerance 18 0.392 (0.116−1.323) 0.131 4.732 (0.289−77.529) 0.292
    Immunoglobulin E 16 1.195 (0.725−1.971) 0.485 0.531 (0.188−1.499) 0.252
    Eosinophill percentage 18 0.719 (0.352−1.468) 0.365 0.835 (0.158−4.400) 0.834
    Basophil percentage 18 0.969 (0.911−1.031) 0.326 0.916 (0.801−1.047) 0.217
      Note. MR, Mendelian randomization; IVW, Inverse variance weighted; No. SNP, number of SNPs.
    下载: 导出CSV

    S4.   Differentially expressed genes associated with caesarean section

    GeneIDlogFCadj.P.ValExpression
    HINT3228697_at3.2590106360.000469954up
    IGF2BP3216493_s_at−3.0274015763.14647E-05down
    BMP7209591_s_at−2.7346935186.10673E-05down
    LNPEP243532_at−2.5954995190.000148732down
    BCLAF1201101_s_at−2.5271655590.000166675down
    SVEP1224543_at−2.5204359460.00046041down
    APOLD1221031_s_at2.4729069320.000634009up
    CFDP1210701_at2.3580956120.000511744up
    AGO2225827_at−2.2833142683.33373E-05down
    PDK41562321_at2.2750455490.001499066up
    NR1D2209750_at−2.2710334330.000622949down
    DDX17208151_x_at−2.2430629210.019070058down
    RABGAP1L215342_s_at−2.2151142080.010436147down
    PIP5K1A211205_x_at−2.210603122.30491E-05down
    IQGAP1213446_s_at−2.1935466361.83871E-05down
    RBM39227223_at−2.1853784610.00072474down
    SIK1208078_s_at2.1489537250.001194315up
    DNAJC3235341_at−2.1129633490.042014383down
    KIAA0907230028_at−2.0832021122.88288E-06down
    SESN3235150_at−2.0711940780.00272332down
    ORMDL3235136_at−2.0042017285.59057E-05down
    下载: 导出CSV

    S1.   Baseline information table for exposed subject and outcome subjects

    Subject Year Population Author GWAS ID Sample size n case n control n SNP
    Exposed subject
    Emergency caesarean section 2018 European Neale lab ukb-d-41221_8 8,019 1,158 6,861 9,538,969
    Outcome subjects
    Allergic disease 2017 European Ferreira MA ebi-a-GCST005038 360,838 180,129 180,709 8,133,670
    Childhood allergy
    (age < 16)
    2021 European finn-b-CHILDHOOD_ALLERGY 218,792 2,748 216,044 16,380,466
    Allergic asthma 2021 European finn-b-ALLERG_ASTHMA 140,308 4,859 135,449 16,379,987
    Allergic rhinitis 2021 European finn-b-ALLERG_RHINITIS 217,914 5,527 212,387 16,380,461
    Atopic dermatitis 2021 European finn-b-L12_ATOPIC 205,764 7,024 198,740 16,380,443
    Eczema 2014 European Paternoster ieu-a-996 40,835 10,788 30,047 11,059,641
    Allergic urticaria 2021 European finn-b-L12_URTICA_ALLERG 213,633 1,169 212,464 16,380,463
    Allergic purpura 2021 European finn-b-D3_ALLERGPURPURA 216,569 470 216,099 16,380,461
    Allergic conjunctivitis 2021 European finn-b-H7_ALLERGICCONJUNCTIVITIS 218,792 9,833 208,959 16,380,466
    Lactose intolerance 2021 European finn-b-E4_LACTOSEINT 197,704 445 197,259 16,380,377
    Immunoglobulin E 2018 European Sun BB prot-a-1456 3,301 10,534,735
    Eosinophill percentage 2020 Greater Middle Eastern Pan-UKB team ukb-e-30210_MID 1,546 1,546 11,885,437
    Basophil percentage 2016 European Astle WJ ebi-a-GCST004631 171,996 29,167,217
    下载: 导出CSV

    S2.   Screening results of single nucleotide polymorphism

    Exposed object SNP Beta SE EA NEA EAF F
    Emergency caesarean section rs1337190 −0.068 0.015 T G 0.037 21
    Emergency caesarean section rs62249929 −0.027 0.006 T G 0.552 23
    Emergency caesarean section rs1397979 0.096 0.021 T C 0.018 21
    Emergency caesarean section rs13353639 0.064 0.014 G A 0.040 20
    Emergency caesarean section rs80322566 0.104 0.022 T C 0.017 22
    Emergency caesarean section rs79298582 0.080 0.018 T C 0.024 20
    Emergency caesarean section rs111349697 0.069 0.015 A G 0.035 20
    Emergency caesarean section rs117784129 0.070 0.015 C T 0.037 22
    Emergency caesarean section rs11755188 −0.053 0.011 T C 0.065 22
    Emergency caesarean section rs184180733 −0.059 0.012 A G 0.055 24
    Emergency caesarean section rs117068091 0.096 0.021 T C 0.019 20
    Emergency caesarean section rs146249310 0.112 0.021 A G 0.020 28
    Emergency caesarean section rs12415639 −0.026 0.006 C T 0.417 22
    Emergency caesarean section rs201422416 0.073 0.015 A C 0.039 25
    Emergency caesarean section rs12361778 0.083 0.018 A C 0.024 22
    Emergency caesarean section rs659722 0.085 0.019 G C 0.022 20
    Emergency caesarean section rs186094862 0.061 0.013 T C 0.054 21
    Emergency caesarean section rs34015109 0.088 0.019 G A 0.022 22
      Note. SNP: single nucleotide polymorphism; SE: standard error; EA: effect allele; NEA: non-effect allele; EAF: effect allele frequency.
    下载: 导出CSV

    S3.   Sensitivity analysis

    Outcome Heterogeneity Pleiotropy
    Q P Intercept p
    Allergic disease 16 0.224 0.002 0.841
    Childhood allergy (age <16) 13 0.735 −0.013 0.717
    Allergic asthma 19 0.346 −0.014 0.605
    Allergic rhinitis 13 0.762 0.007 0.751
    Atopic dermatitis 22 0.174 −0.003 0.905
    Eczema 21 0.099 −0.011 0.684
    Allergic urticaria 10 0.888 0.012 0.815
    Allergic purpura 15 0.571 −0.045 0.565
    Allergic conjunctivitis 6 0.995 0.009 0.632
    Lactose intolerance 18 0.360 −0.150 0.073
    Immunoglobulin E 18 0.268 0.049 0.108
    Eosinophill percentage 9 0.933 −0.010 0.848
    Basophil percentage 13 0.768 0.004 0.363
    下载: 导出CSV
  • [1] Kitaw TM, Limenh SK, Chekole FA, et al. Decision to delivery interval and associated factors for emergency cesarean section: a cross-sectional study. BMC Pregnancy Childbirth, 2021; 21, 224. doi:  10.1186/s12884-021-03706-8
    [2] Schuler Iv CF, Montejo JM. Allergic rhinitis in children and adolescents. Immunol Allergy Clin North Am, 2021; 41, 613−25. doi:  10.1016/j.iac.2021.07.010
    [3] Keag OE, Norman JE, Stock SJ. Long-term risks and benefits associated with cesarean delivery for mother, baby, and subsequent pregnancies: Systematic review and meta-analysis. PLoS Med, 2018; 15, e1002494. doi:  10.1371/journal.pmed.1002494
    [4] Pyrhönen K, Näyhä S, Hiltunen L, et al. Caesarean section and allergic manifestations: insufficient evidence of association found in population-based study of children aged 1 to 4 years. Acta Paediatr, 2013; 102, 982−9. doi:  10.1111/apa.12342
    [5] Davey Smith G, Hemani G. Mendelian randomization: genetic anchors for causal inference in epidemiological studies. Hum Mol Genet, 2014; 23, R89−98. doi:  10.1093/hmg/ddu328
    [6] Kamat MA, Blackshaw JA, Young R, et al. PhenoScanner V2: an expanded tool for searching human genotype-phenotype associations. Bioinformatics, 2019; 35, 4851−3. doi:  10.1093/bioinformatics/btz469
    [7] Gürdeniz G, Ernst M, Rago D, et al. Neonatal metabolome of caesarean section and risk of childhood asthma. Eur Respir J, 2022; 59, 2102406. doi:  10.1183/13993003.02406-2021
    [8] Richards M, Ferber J, Li DK, et al. Cesarean delivery and the risk of allergic rhinitis in children. Ann Allergy Asthma Immunol, 2020; 125, 280-6. e5. doi:  10.1016/j.anai.2020.04.028
    [9] Meng YF, Wang CS, Zhang L. Advances and novel developments in allergic rhinitis. Allergy, 2020; 75, 3069−76. doi:  10.1111/all.14586
    [10] Li JP, Liu YB, Lian B, et al. HINT3 suppresses AKT/mTOR signaling pathway activity during breast cancer tumorigenesis through PTEN transcriptional activation. Int J Mol Med, 2023; 52, 54. doi:  10.3892/ijmm.2023.5257
  • [1] Xinyuan Pang, Hongfen Wang, Jiongming Bai, Xusheng Huang.  Integration of Single-Cell RNA Sequencing and Mendelian Randomization Analysis for Identifying Potential Immune Therapeutic Targets in Amyotrophic Lateral Sclerosis . Biomedical and Environmental Sciences, 2026, 39(3): 1-15. doi: 10.3967/bes2026.011
    [2] Shuyao Su, Wanyue Wang, Chenxi Yuan, Zhennan Lin, Xiangfeng Lu, Fangchao Liu.  Association of Loneliness and Social Isolation with Ischemic Heart Disease: A Bidirectional and Network Mendelian Randomization Study . Biomedical and Environmental Sciences, 2025, 38(3): 351-364. doi: 10.3967/bes2024.170
    [3] Jingting Kong, Mengxue Wang, Xuezi Zhang, Zan Wang, Qingguo Ren.  Role of the Gut–Brain Axis in Chronotype-Driven Alzheimer’s Disease: A Mendelian Randomization Study . Biomedical and Environmental Sciences, 2025, 38(4): 519-524. doi: 10.3967/bes2025.033
    [4] Yajia Li, Qiangxiang Li, Ziqin Cao, Jianhuang Wu.  The Impact of Reproductive Traits on Psoriasis Risk is Mediated by Education Attainment and Body Mass Index: A Mendelian Randomization Study . Biomedical and Environmental Sciences, 2025, 38(3): 365-375. doi: 10.3967/bes2024.122
    [5] Chenwei Zhang, Binbin Wan, Yukai Zhang, Tao Xiong, Yishan Li, Xuesen Su, Gang Liu, Yangyang Wei, Yuanyuan Sun, Jingfen Zhang, Xiao Yu, Yiwei Shi.  Deciphering the Role of VIM, STX8, and MIF in Pneumoconiosis Susceptibility: A Mendelian Randomization Analysis of the Lung-Gut Axis and Multi-Omics Insights from European and East Asian Populations . Biomedical and Environmental Sciences, 2025, 38(10): 1270-1286. doi: 10.3967/bes2025.028
    [6] Huina Wang, Yazhe Du, Juan Geng, Teng Zhang, Jinzhao Long, Haiyan Yang, Guangcai Duan, Shuaiyin Chen.  Causal Association between PM2.5 Exposure and Preterm Birth based on Mendelian Randomization Analysis . Biomedical and Environmental Sciences, 2025, 38(2): 261-264. doi: 10.3967/bes2025.009
    [7] Di Liu, Meiling Cao, Shanshan Wu, Bingli Li, Yiwen Jiang, Tengfei Lin, Fuxiao Li, Weijie Cao, Jinqiu Yuan, Feng Sha, Zhirong Yang, Jinling Tang.  Inflammatory Bowel Disease and Dementia: Evidence Triangulation from a Meta-Analysis of Observational Studies and Mendelian Randomization Study . Biomedical and Environmental Sciences, 2025, 38(1): 56-66. doi: 10.3967/bes2024.149
    [8] Ziyi Yang, Zhennan Lin, Xiaotong Ning, Xingbo Mo, Laiyuan Wang, Xiangfeng Lu, Shufeng Chen.  The Genetic Association between CDKN1A and Heart Failure: Genome-Wide Exploration of m6A-SNPs and Mendelian Randomization . Biomedical and Environmental Sciences, 2024, 37(12): 1397-1408. doi: 10.3967/bes2024.172
    [9] Junyi He, Chenwei Zhang, Yukai Zhang, Jingfen Zhang, Xuesen Su, Peiyun He, Wenhui Bao, Haizhao Liu, Xiao Yu, Yiwei Shi.  Polyunsaturated Fatty Acid Concentrations and Risk of Pneumoconiosis: A Two-sample Mendelian Randomization Study . Biomedical and Environmental Sciences, 2024, 37(11): 1328-1333. doi: 10.3967/bes2024.166
    [10] Fan Ding, Ning Ma, Shi Zhao, Qingan Wang, Zhanbing Ma, Yuhong Zhang, Yi Zhao, Yu Zhao.  PM2.5–Metabolic Syndrome Causal Association: A Mendelian Randomization Study . Biomedical and Environmental Sciences, 2024, 37(12): 1421-1426. doi: 10.3967/bes2024.153
    [11] Li Juanmei, Ni Yao, Wang Ning, Liao Yu, Yu Yiwei, Lyu Wenliang, Zhao Ruihua.  Genetically Predicted Plasma Levels of Amino Acids and Endometriosis: A Mendelian Randomization Study . Biomedical and Environmental Sciences, 2024, 37(6): 672-675. doi: 10.3967/bes2024.074
    [12] WANG Han Lin, XUE Yan Feng, CUI Bao Qiu, LIU Hong, SHEN Xin Xin.  Risk Factors of Depression Screened by Two-Sample Mendelian Randomization Analysis: A Systematic Review . Biomedical and Environmental Sciences, 2024, 37(1): 85-95. doi: 10.3967/bes2024.007
    [13] DANG Mei Juan, LI Tao, ZHAO Li Li, LI Ye, WANG Xiao Ya, WU Yu Lun, LU Jia Liang, LU Zi Wei, YANG Yang, FENG Yu Xuan, WANG He Ying, JIAN Ya Ting, FAN Song Hua, JIANG Yu, ZHANG Gui Lian.  Leukocyte Telomere Length and Lacunar Stroke: A Mendelian Randomization Study . Biomedical and Environmental Sciences, 2023, 36(4): 367-370. doi: 10.3967/bes2023.042
    [14] CAO Ming Yang, LIU Di, ZHANG Xiao Yu, TIAN Qiu Yue, ZHANG Qun, WANG You Xin.  Association of C-reactive Protein with Cardiovascular Outcomes: A Mendelian Randomization Study in the Japanese Population . Biomedical and Environmental Sciences, 2022, 35(2): 126-132. doi: 10.3967/bes2022.017
    [15] LIU Di, TIAN Qiu Yue, ZHANG Jie, HOU Hai Feng, LI Yuan, WANG Wei, MENG Qun, WANG You Xin.  Association between 25 Hydroxyvitamin D Concentrations and the Risk of COVID-19: A Mendelian Randomization Study . Biomedical and Environmental Sciences, 2021, 34(9): 750-754. doi: 10.3967/bes2021.104
    [16] WU Peng Fei, LI Rui Zhuo, ZHANG Wan, SU Zhong Zhen, LIN Yu Hong.  Polycystic Ovary Syndrome is not Associated with Offspring Birth Weight: A Mendelian Randomization Study . Biomedical and Environmental Sciences, 2021, 34(2): 170-174. doi: 10.3967/bes2021.023
    [17] ZHANG Ying, WANG Shi Gong, MA Yu Xia, SHANG Ke Zheng, CHENG Yi Fan, LI Xu, NING Gui Cai, ZHAO Wen Jing, LI Nai Rong.  Association between Ambient Air Pollution and Hospital Emergency Admissions for Respiratory and Cardiovascular Diseases in Beijing:a Time Series Study . Biomedical and Environmental Sciences, 2015, 28(5): 352-363. doi: 10.3967/bes2015.049
    [18] ZHANG Lei, LI Hua Ting, SHEN Li, FANG Qi Chen, QIAN Ling Ling, JIA Wei Ping.  Effect of Dietary Resistant Starch on Prevention and Treatment of Obesity-related Diseases and Its Possible Mechanisms . Biomedical and Environmental Sciences, 2015, 28(4): 291-297. doi: 10.3967/bes2015.040
    [19] CHANG Man Li, SHAO Bing, LIU Yan Hong, LI Lu Lu, PEI Li Chun, WANG Bin You.  Analysis of Allergens in 5473 Patients with Allergic Diseases in Harbin, China . Biomedical and Environmental Sciences, 2013, 26(11): 886-893. doi: 10.3967/bes2013.017
    [20] SHINICHIRO SHIMBO, ZHANG ZUO-WEN, QU JIANG-BIN, TAKAO WATANABE, HARUO MAKATSUKA, NAOKO MATSUDA-INOGUCHI, KAE HIGASHIKAWA, MASAYUKI IKEDA.  Comparative Assay of Hepatitis B and C Virus Infection Markers by Different Assay Kits . Biomedical and Environmental Sciences, 2000, 13(3): 198-204.
  • 23166+Supplementary Materials.pdf
  • 加载中
图(8) / 表ll (5)
计量
  • 文章访问数:  843
  • HTML全文浏览量:  335
  • PDF下载量:  35
  • 被引次数: 0
出版历程
  • 收稿日期:  2023-05-18
  • 录用日期:  2023-07-10
  • 刊出日期:  2023-11-20

Mendelian Randomization Analysis to Analyze the Effect of Emergency Caesarean Section on Different Allergic Diseases and Related Blood Markers

doi: 10.3967/bes2023.138
    基金项目:  This work was supported by Tianjin Key Medical Discipline (Specialty) Construction Project [TJYX2DXK-068C] and Tianjin Medical University General Hospital Clinical Research Program [22ZYYLCCG03].
    作者简介:

    LI Yu Jian, male, born in 1997, Master's Degree Student, majoring in respiratory. Tel: 86-13820823219, E-mail: yujianli@tmu.edu.cn

    通讯作者: KAN Xuan, Professor, Chief Physician, Master's Advisor, Tel: 86-13920390216, E-mail: ashelykx@126.com

English Abstract

LI Yu Jian, KAN Xuan. Mendelian Randomization Analysis to Analyze the Effect of Emergency Caesarean Section on Different Allergic Diseases and Related Blood Markers[J]. Biomedical and Environmental Sciences, 2023, 36(11): 1084-1089. doi: 10.3967/bes2023.138
Citation: LI Yu Jian, KAN Xuan. Mendelian Randomization Analysis to Analyze the Effect of Emergency Caesarean Section on Different Allergic Diseases and Related Blood Markers[J]. Biomedical and Environmental Sciences, 2023, 36(11): 1084-1089. doi: 10.3967/bes2023.138
  • Caesarean section is a well-established surgical procedure that allows for maximum fetal rescue under special circumstances, such as intrauterine distress and intrauterine hypoxia, and minimizes injuries to pregnant women who cannot tolerate vaginal delivery. Emergency caesarean section is a special type of caesarean section that plays an important role in protecting the lives of pregnant mothers and fetuses[1]. Allergic diseases, including allergic asthma, allergic rhinitis, and atopic dermatitis, affect at least 20% of the global population and their incidence continues to increase annually, affecting both the physical and mental health of patients and imposing a huge economic burden on society and families[2]. Immunoglobulin E (IgE)-mediated type I hypersensitivity reactions are the most common type of allergic disease, and the eosinophil percentage in blood tests is one of the most common clinical indicators.

    In recent years, the debate and research on the relationship between caesarean section and allergic diseases have increased each year. A meta-analysis of one randomized control trial (RCT) and 79 cohort studies showed that children delivered by caesarean section had a higher risk of asthma[3]. However, one study followed 4,779 children for 4 years and found insufficient evidence of a correlation between caesarean section and eczema, asthma, and food allergies[4]. Considering the maturity of caesarean section techniques and the increasing incidence of allergic diseases worldwide every year, it is important to clarify whether a causal relationship exists between caesarean sections and different allergic diseases. Moreover, there is an urgent need to find new epidemiological techniques because traditional epidemiological methods, such as cohort studies, are subject to confounding factors and ethics and thus fail to obtain exact causal relationships[5].

    Advances in genomics and genetic epidemiology have led to the identification of numerous genetic variants associated with various human diseases. Mendelian randomization (MR) is an epidemiological technique that is used to assess causality using genetic data. As the human genome cannot be changed at will once it is identified, MR greatly reduces the influence of confounding factors and thus obtains more reliable causal associations[5]. Following the principles of random assignment and free association and combining the three core assumptions of instrumental variables (IVs), namely, the assumption of association, independence, and exclusivity, we used MR analysis to analyze the effects of emergency caesarean section on different allergic diseases and associated blood markers.

    Data for this study were obtained from the OpenGWAS database (https://gwas.mrcieu.ac.org//). Data from exposure subjects (emergency caesarean section) and outcome subjects (allergic disease, childhood allergy (age < 16 years), allergic asthma, allergic rhinitis, atopic dermatitis, eczema, allergic urticaria, allergic purpura, allergic conjunctivitis, lactose intolerance, IgE, eosinophil percentage, and basophil percentage were extracted for subsequent analysis using the TwoSampleMR package in R software (version 4.3.0, Publisher: R Foundation for Statistical Computing, Place of publication: Vienna, Austria). IVs were screened for the following conditions: 1) correlation with emergency caesarean section (P < 1 x 10−5); 2) exclusion of linkage disequilibrium (LD) (r2 > 0.001, kb = 10,000); 3) validation of the strength of association between IVs and exposed subjects (F > 10); and 4) removal of confounding factors using the Phenoscanner database (http://www.phenoscanner.medschl.cam.ac.uk/)[6]. The above conditions screened for more reliable IVs in this study, thus increasing the reliability of the results. A flowchart and word cloud chart outlining the process of data collection are shown in Figure 1. This Genome-Wide Association Study (GWAS) contained 9,538 and 969 SNPs, and 18 IVs were included after rigorous screening. The GWAS ID for emergency caesarean sections was ukb-d-41221_8 and contained 8,019 samples, including 1,158 from the experimental group and 6,861 from the control group. The relevant studies of the outcome subjects were mainly published between 2016–2021, and the study populations were mainly from European and Greater Middle Eastern regions (Supplementary Tables S1S2, available in www.besjournal.com).

    Figure 1.  Outline of data acquisition. (A) flow chart. (B) word cloud chart.

    MR analysis includes five analysis methods, among which inverse variance weighted (IVW) and MR-Egger are the most important for this study. A P < 0.05, indicated that emergency caesarean section affected patient outcomes. Heterogeneity between each IV was verified using a heterogeneity test. When P > 0.05, no heterogeneity was considered to exist, and a fixed-effects model was selected for MR analysis. When P < 0.05, heterogeneity was considered to exist, and a random-effects model was selected. The sensitivity of MR analysis results to individual IV was verified using leave-one-out sensitivity analysis. The presence of horizontal pleiotropy among multiple IVs was verified using a multiple validity test that ensured both correlation and independence between the IVs and exposed objects. The results of IVW analysis were used as the main results of MR analysis when P > 0.05 was considered as no horizontal pleiotropy, and the results of MR-Egger analysis were used as the main results of MR analysis when P < 0.05 was considered as horizontal pleiotropy. MR analysis showed no causal relationship between emergency caesarean section and allergic disease or childhood allergies (age < 16 years) (P > 0.05). Additionally, there was no causal relationship between emergency caesarean section and eight specific allergic diseases (allergic asthma, allergic rhinitis, atopic dermatitis, eczema, allergic urticaria, allergic purpura, allergic conjunctivitis, and lactose intolerance) (P > 0.05) (Table 1, Figure 2, and Supplementary Figure S1, available in www.besjournal.com). Finally, MR analysis of emergency caesarean sections and blood markers of allergic diseases showed no causal relationship between emergency caesarean sections and IgE, eosinophil percentage, or basophil percentage (P > 0.05) (Table 1 and Supplementary Figure S2, available in www.besjournal.com). The results of the heterogeneity test were considered significant at P > 0.05. Therefore, it can be concluded that there was no heterogeneity among the IVs, and the fixed-effects model was selected to present the results of the MR analysis (Supplementary Figure S3, available in www.besjournal.com). The multiplicity test also showed P > 0.05. Therefore, we concluded that there was no horizontal multiplicity among the IVs, and the results of the IVW analysis were selected as the main results of the MR analysis (Supplementary Table S3 and Supplementary Figures S4S5, available in www.besjournal.com).

    Table 1.  Main results of MR analysis

    Outcome No. SNP IVW MR Egger
    OR (95% CI) P OR (95% CI) P
    Allergic disease 14 0.917 (0.802−1.050) 0.210 0.893 (0.663−1.201) 0.467
    Childhood allergy (age < 16) 18 1.105 (0.656−1.864) 0.707 1.370 (0.391−4.799) 0.629
    Allergic asthma 18 1.224 (0.829−1.806) 0.309 1.547 (0.594−4.029) 0.385
    Allergic rhinitis 18 1.237 (0.877−1.744) 0.226 1.093 (0.479−2.493) 0.835
    Atopic dermatitis 18 1.138 (0.794−1.632) 0.482 1.196 (0.491−2.918) 0.699
    Eczema 15 1.060 (0.648−1.733) 0.818 1.306 (0.431−3.952) 0.645
    Allergic urticaria 18 0.941 (0.456−1.945) 0.870 0.777 (0.137−4.418) 0.780
    Allergic purpura 18 1.164 (0.373−3.631) 0.794 2.446 (0.160−37.342) 0.529
    Allergic conjunctivitis 18 1.154 (0.884−1.508) 0.293 0.998 (0.526−1.896) 0.996
    Lactose intolerance 18 0.392 (0.116−1.323) 0.131 4.732 (0.289−77.529) 0.292
    Immunoglobulin E 16 1.195 (0.725−1.971) 0.485 0.531 (0.188−1.499) 0.252
    Eosinophill percentage 18 0.719 (0.352−1.468) 0.365 0.835 (0.158−4.400) 0.834
    Basophil percentage 18 0.969 (0.911−1.031) 0.326 0.916 (0.801−1.047) 0.217
      Note. MR, Mendelian randomization; IVW, Inverse variance weighted; No. SNP, number of SNPs.

    Figure 2.  Forest diagram of MR analysis. (A) allergic disease. (B) childhood allergy (age < 16). (C) allergic asthma. (D) allergic rhinitis. (E) atopic dermatitis. (F) eczema. (G) allergic urticaria. (H) allergic purpura. (I) allergic conjunctivitis. (J) lactose intolerance. MR: Mendelian randomization.

    GSE18850 is a dataset related to caesarean sections obtained from the Gene Expression Omnibus (GEO) database (https://www.ncbi.nlm.nih.gov/gds/). Differential expression analysis was performed using the limma package to obtain caesarean section-related differentially expressed genes (DEGs), and the results were visualized using the ggplot2 package. The results of the MR analysis were validated by comparing whether the identified DEGs intersected with caesarean section-associated blood marker genes. The obtained DEGs were analyzed for Gene Ontology (GO) and Kyoto Encyclopedia of Genes and Genomes (KEGG) enrichment using clusterProfiler and GOplot packages to understand the main functions and pathways associated with the DEGs. A total of 21 DEGs (|log2(FC)| > 2 and P adj < 0.05) were obtained, of which five were highly expressed and 16 were lowly expressed. Genes capable of expressing allergic disease-related blood markers were not detected among the 21 DEGs (Supplementary Figure S6A–B and Supplementary Table S4, available in www.besjournal.com). Enrichment analysis revealed that the main functions of the DEGs included nuclear speckling and muscle tissue development, and the corresponding pathways were not predicted (Supplementary Figure S6C–D).

    Figure S6.  Screening and enrichment analysis of DEGs for caesarean section. (A) Volcano map. (B) Heat map. (C–D) GO enrichment analysis of DEGs. DEGs: differentially expressed genes; GO: Gene Ontology.

    Table S4.  Differentially expressed genes associated with caesarean section

    GeneIDlogFCadj.P.ValExpression
    HINT3228697_at3.2590106360.000469954up
    IGF2BP3216493_s_at−3.0274015763.14647E-05down
    BMP7209591_s_at−2.7346935186.10673E-05down
    LNPEP243532_at−2.5954995190.000148732down
    BCLAF1201101_s_at−2.5271655590.000166675down
    SVEP1224543_at−2.5204359460.00046041down
    APOLD1221031_s_at2.4729069320.000634009up
    CFDP1210701_at2.3580956120.000511744up
    AGO2225827_at−2.2833142683.33373E-05down
    PDK41562321_at2.2750455490.001499066up
    NR1D2209750_at−2.2710334330.000622949down
    DDX17208151_x_at−2.2430629210.019070058down
    RABGAP1L215342_s_at−2.2151142080.010436147down
    PIP5K1A211205_x_at−2.210603122.30491E-05down
    IQGAP1213446_s_at−2.1935466361.83871E-05down
    RBM39227223_at−2.1853784610.00072474down
    SIK1208078_s_at2.1489537250.001194315up
    DNAJC3235341_at−2.1129633490.042014383down
    KIAA0907230028_at−2.0832021122.88288E-06down
    SESN3235150_at−2.0711940780.00272332down
    ORMDL3235136_at−2.0042017285.59057E-05down

    The results of the MR analysis in this study are contradictory to previous traditional epidemiological and observational studies. A study by Gürdeniz showed that caesarean section could increase the risk of asthma by interfering with the immune response and the development of gut microbes[7]. In this study, the most recent and largest sample size of GWAS datasets were used. The absence of heterogeneity and horizontal pleiotropy in the analysis and the smallest F-value of 20 suggest that there were no weak IVs in this study. Therefore, the finding that there was no causal relationship between the exposure and outcome was more accurate. Traditional epidemiological statistical methods may not be able to exclude unknown confounding factors well, while MR analysis can better exclude the interference of confounding factors on causality from a genetic perspective that cannot be easily changed[5]. In a large cohort study, there was no correlation between caesarean section and allergic rhinitis in children at 6, 8, and 10 years after birth, after correcting for confounders[8]. However, most patients undergoing emergency caesarean section often have multisystem diseases associated with allergic diseases, such as premature birth, immune abnormalities, and genetic metabolic diseases. Patients with allergic diseases often have abnormalities in immune and inflammatory factors or a history of living in a particular environment, such as haze[9]. These known or unknown immune, inflammatory, and environmental pathways as well as the comorbidities associated with these pathways may lead to false-positive statistical results in traditional epidemiology.

    Bioinformatics, a research method that has received considerable attention in recent years, was used to reverse-validate the results of this study. Genes significantly associated with blood markers of allergic diseases were not among the 21 DEGs identified by differential expression analysis. HINT3 was the most significantly differentially expressed gene and was primarily associated with breast cancer[10]. In addition, no major functions or DEG pathways were significantly associated with blood markers of allergic diseases, which validated the results of the MR analysis in this study and suggested the influence of confounding factors on the results of previous epidemiological studies.

    The present study has some limitations. First, the samples included in this study were mainly from European and Greater Middle Eastern countries, and a geographical selection bias may have occurred. Therefore, the findings of this study may not apply to other Asian ethnic groups. In addition, to enable rigorous sensitivity analysis, P < 1 x 10−5 was chosen as the association threshold for screening IVs in this study. Although the r2 and F values were strictly limited and the results were secondarily validated using bioinformatics, the possibility of false-positive or false-negative results could not be completely excluded. Finally, although we used MR analysis and bioinformatics to validate the results of this study, experimental molecular validation of the mechanism and pathway is still lacking, and more in-depth studies should be considered on this basis subsequently.

    In conclusion, the two-sample MR analysis in this study showed no causal relationship between emergency caesarean section and allergic diseases such as allergic asthma, allergic rhinitis, and atopic dermatitis or blood markers such as IgE and eosinophil percentage. Our study provides a new direction for subsequent research on the mechanisms and risk factors of allergic diseases and alleviates public misconceptions and fears about caesarean sections.

    The authors would like to thank the OpenGWAS database (https://gwas.mrcieu.ac.uk/) and GEO databases (https://www.ncbi.nlm.nih.gov/gds/).

    Figure S1.  Scatter plot of MR analysis. (A) allergic disease. (B) childhood allergy (age < 16). (C) allergic asthma. (D) allergic rhinitis. (E) atopic dermatitis. (F) eczema. (G) allergic urticaria. (H) allergic purpura. (I) allergic conjunctivitis. (J) lactose intolerance. MR: mendelian randomization.

    Figure S2.  Forest diagram and scatter plot of MR analysis. (A–B) Ig E. (C–D) eosinophil percentage. (E–F) basophil percentage. MR: mendelian randomization; Ig E: Immunoglobulin E.

    Figure S3.  The leave-one-out sensitivity analysis. (A) allergic disease. (B) childhood allergy (age < 16). (C) allergic asthma. (D) allergic rhinitis. (E) atopic dermatitis. (F) eczema. (G) allergic urticaria. (H) allergic purpura. (I) allergic conjunctivitis. (J) lactose intolerance.

    Figure S4.  Funnel diagram of MR analysis. (A) allergic disease. (B) childhood allergy (age < 16). (C) allergic asthma. (D) allergic rhinitis. (E) atopic dermatitis. (F) eczema. (G) allergic urticaria. (H) allergic purpura. (I) allergic conjunctivitis. (J) lactose intolerance. MR: mendelian randomization.

    Figure S5.  The leave-one-out sensitivity analysis and funnel diagram of MR analysis. (A–B) Ig E. (C–D) eosinophil percentage. (E–F) basophil percentage. MR: mendelian randomization; Ig E: Immunoglobulin E.

    Table S1.  Baseline information table for exposed subject and outcome subjects

    Subject Year Population Author GWAS ID Sample size n case n control n SNP
    Exposed subject
    Emergency caesarean section 2018 European Neale lab ukb-d-41221_8 8,019 1,158 6,861 9,538,969
    Outcome subjects
    Allergic disease 2017 European Ferreira MA ebi-a-GCST005038 360,838 180,129 180,709 8,133,670
    Childhood allergy
    (age < 16)
    2021 European finn-b-CHILDHOOD_ALLERGY 218,792 2,748 216,044 16,380,466
    Allergic asthma 2021 European finn-b-ALLERG_ASTHMA 140,308 4,859 135,449 16,379,987
    Allergic rhinitis 2021 European finn-b-ALLERG_RHINITIS 217,914 5,527 212,387 16,380,461
    Atopic dermatitis 2021 European finn-b-L12_ATOPIC 205,764 7,024 198,740 16,380,443
    Eczema 2014 European Paternoster ieu-a-996 40,835 10,788 30,047 11,059,641
    Allergic urticaria 2021 European finn-b-L12_URTICA_ALLERG 213,633 1,169 212,464 16,380,463
    Allergic purpura 2021 European finn-b-D3_ALLERGPURPURA 216,569 470 216,099 16,380,461
    Allergic conjunctivitis 2021 European finn-b-H7_ALLERGICCONJUNCTIVITIS 218,792 9,833 208,959 16,380,466
    Lactose intolerance 2021 European finn-b-E4_LACTOSEINT 197,704 445 197,259 16,380,377
    Immunoglobulin E 2018 European Sun BB prot-a-1456 3,301 10,534,735
    Eosinophill percentage 2020 Greater Middle Eastern Pan-UKB team ukb-e-30210_MID 1,546 1,546 11,885,437
    Basophil percentage 2016 European Astle WJ ebi-a-GCST004631 171,996 29,167,217

    Table S2.  Screening results of single nucleotide polymorphism

    Exposed object SNP Beta SE EA NEA EAF F
    Emergency caesarean section rs1337190 −0.068 0.015 T G 0.037 21
    Emergency caesarean section rs62249929 −0.027 0.006 T G 0.552 23
    Emergency caesarean section rs1397979 0.096 0.021 T C 0.018 21
    Emergency caesarean section rs13353639 0.064 0.014 G A 0.040 20
    Emergency caesarean section rs80322566 0.104 0.022 T C 0.017 22
    Emergency caesarean section rs79298582 0.080 0.018 T C 0.024 20
    Emergency caesarean section rs111349697 0.069 0.015 A G 0.035 20
    Emergency caesarean section rs117784129 0.070 0.015 C T 0.037 22
    Emergency caesarean section rs11755188 −0.053 0.011 T C 0.065 22
    Emergency caesarean section rs184180733 −0.059 0.012 A G 0.055 24
    Emergency caesarean section rs117068091 0.096 0.021 T C 0.019 20
    Emergency caesarean section rs146249310 0.112 0.021 A G 0.020 28
    Emergency caesarean section rs12415639 −0.026 0.006 C T 0.417 22
    Emergency caesarean section rs201422416 0.073 0.015 A C 0.039 25
    Emergency caesarean section rs12361778 0.083 0.018 A C 0.024 22
    Emergency caesarean section rs659722 0.085 0.019 G C 0.022 20
    Emergency caesarean section rs186094862 0.061 0.013 T C 0.054 21
    Emergency caesarean section rs34015109 0.088 0.019 G A 0.022 22
      Note. SNP: single nucleotide polymorphism; SE: standard error; EA: effect allele; NEA: non-effect allele; EAF: effect allele frequency.

    Table S3.  Sensitivity analysis

    Outcome Heterogeneity Pleiotropy
    Q P Intercept p
    Allergic disease 16 0.224 0.002 0.841
    Childhood allergy (age <16) 13 0.735 −0.013 0.717
    Allergic asthma 19 0.346 −0.014 0.605
    Allergic rhinitis 13 0.762 0.007 0.751
    Atopic dermatitis 22 0.174 −0.003 0.905
    Eczema 21 0.099 −0.011 0.684
    Allergic urticaria 10 0.888 0.012 0.815
    Allergic purpura 15 0.571 −0.045 0.565
    Allergic conjunctivitis 6 0.995 0.009 0.632
    Lactose intolerance 18 0.360 −0.150 0.073
    Immunoglobulin E 18 0.268 0.049 0.108
    Eosinophill percentage 9 0.933 −0.010 0.848
    Basophil percentage 13 0.768 0.004 0.363
参考文献 (10)
补充材料:
23166+Supplementary Materials.pdf

目录

    /

    返回文章
    返回